Decadal Changes in Benthic Community Structure and Function in a Coral Community in the Northeastern Tropical Pacific
Abstract
1. Introduction
2. Materials and Methods
2.1. Study Area
2.2. Data Collection and Analyses
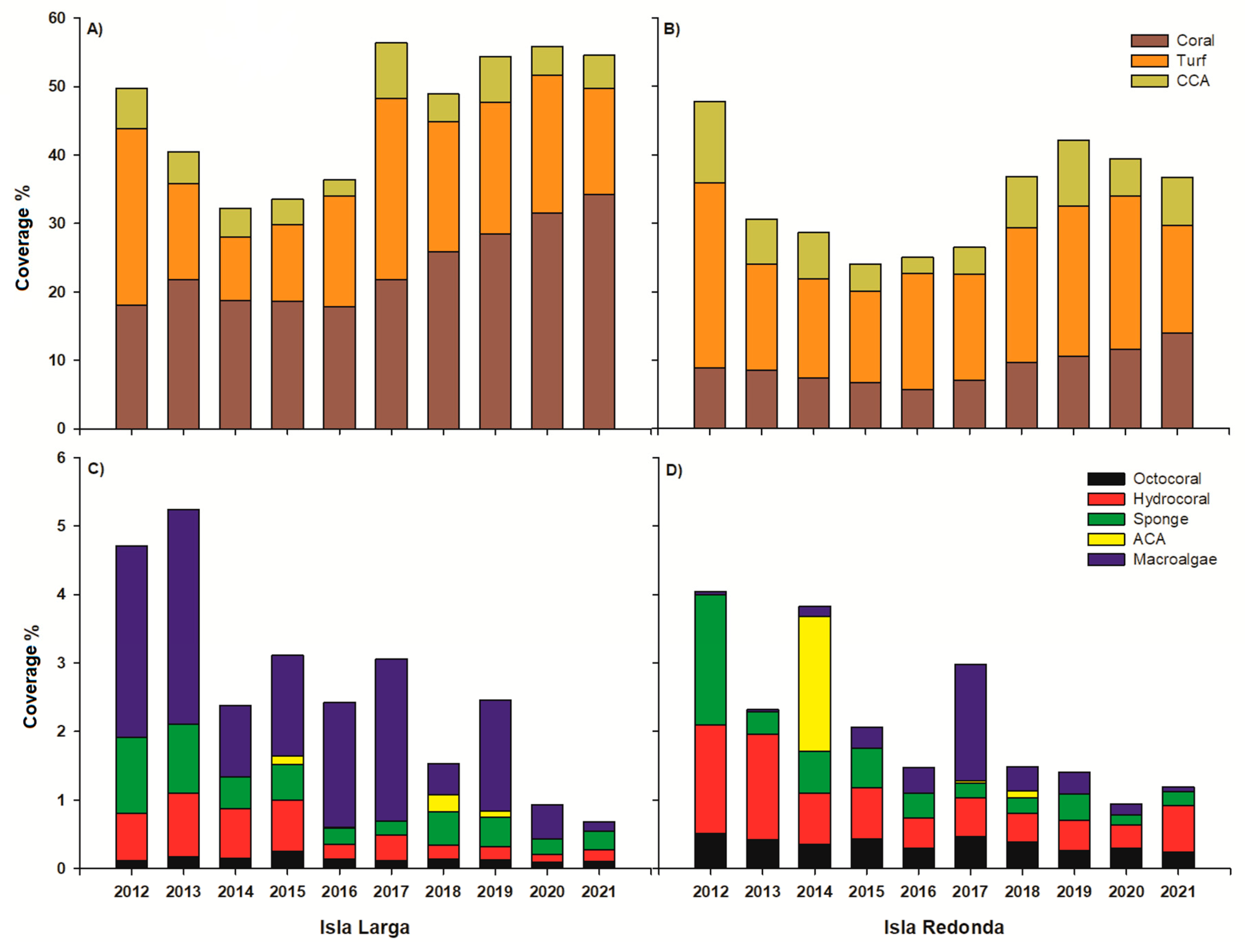
3. Results
4. Discussion
Supplementary Materials
Author Contributions
Funding
Institutional Review Board Statement
Data Availability Statement
Acknowledgments
Conflicts of Interest
References
- Benfield, S.; Baxter, L.; Guzman, H.M.; Mair, J.M. A comparison of coral reef and coral community fish assemblages in Pacific Panama and environmental factors governing their structure. J. Mar. Biol. Assoc. UK 2008, 88, 1331–1341. [Google Scholar] [CrossRef]
- Glynn, P.W.; Alvarado, J.J.; Banks, S.; Cortés, J.; Feingold, J.S.; Jiménez, C.; Zapata, F.A. Eastern Pacific coral reef provinces, coral community structure and composition: An overview. In Coral Reefs of the Eastern Tropical Pacific: Persistence and Loss in a Dynamic Environment; Springer: Berlin/Heidelberg, Germany, 2017; pp. 107–176. [Google Scholar]
- Reyes-Bonilla, H.; López-Pérez, R.A. Corals Coral Reef Communities in the Gulf of California Atlas of Coastal Ecosystems in the Western Gulf of California; Johnson, A., Ledezma-Vázquez, J., Eds.; The University of Arizona Press: Tucson, AZ, USA, 2009; pp. 45–57. [Google Scholar]
- Bellwood, D.R.; Hughes, T.P.; Folke, C.; Nyström, M. Confronting the coral reef crisis. Nature 2004, 429, 827–833. [Google Scholar] [CrossRef] [PubMed]
- Chadwick, N.E.; Morrow, K.M. Competition among sessile organisms on coral reefs. In Coral Reefs: An Ecosystem in Transition; Springer: Berlin/Heidelberg, Germany, 2011; pp. 347–371. [Google Scholar]
- Wilson, S.K.; Graham, N.A.; Pratchett, M.S.; Jones, G.P.; Polunin, N.V. Multiple disturbances and the global degradation of coral reefs: Are reef fishes at risk or resilient? Glob. Change Biol. 2006, 12, 2220–2234. [Google Scholar] [CrossRef]
- Bell, J.J. The functional roles of marine sponges. Estuar. Coast. Shelf Sci. 2008, 79, 341–353. [Google Scholar] [CrossRef]
- Lira, A.K.; Naud, J.P.; Gomes, P.B.; Santos, A.M.; Perez, C.D. Trophic ecology of the octocoral Carijoa riisei from littoral of Pernambuco, Brazil. I. Composition and spatio-temporal variation of the diet. J. Mar. Biol. Assoc. UK 2009, 89, 89–99. [Google Scholar] [CrossRef]
- Jiménez, C. Arrecifes y ambientes coralinos de Bahía Culebra, Pacífico de Costa Rica: Aspectos biológicos, económico-recreativos y de manejo. Rev. Biol. Trop. 2001, 49, 215–231. [Google Scholar]
- Pineda, J.; Reyns, N.B.; Starczak, V.R. Complexity and simplification in understanding recruitment in benthic populations. Popul. Ecol. 2009, 51, 17–32. [Google Scholar] [CrossRef]
- Robinson, J.P.; Williams, I.D.; Yeager, L.A.; McPherson, J.M.; Clark, J.; Oliver, T.A.; Baum, J.K. Environmental conditions and herbivore biomass determine coral reef benthic community composition: Implications for quantitative baselines. Coral Reefs 2018, 37, 1157–1168. [Google Scholar] [CrossRef]
- Brierley, A.S.; Kingsford, M.J. Impacts of climate change on marine organisms and ecosystems. Curr. Biol. 2009, 19, R602–R614. [Google Scholar] [CrossRef]
- Bornette, G.; Puijalon, S. Response of aquatic plants to abiotic factors: A review. Aquat. Sci. 2011, 73, 1–14. [Google Scholar] [CrossRef]
- Roth, M.S. The engine of the reef: Photobiology of the coral–algal symbiosis. Front. Microbiol. 2014, 5, 422. [Google Scholar] [CrossRef]
- Rossi, S.; Schubert, N.; Brown, D.; Soares, M.D.O.; Grosso, V.; Rangel-Huerta, E.; Maldonado, E. Linking host morphology and symbiont performance in octocorals. Sci. Rep. 2018, 8, 12823. [Google Scholar] [CrossRef]
- Olguín-López, N.; Hernández-Elizárraga, V.H.; Hernández-Matehuala, R.; Rojas-Molina, J.I.; Guevara-Gonzalez, R.; Ibarra-Alvarado, C.; Molina, A.R. Effects of thermal stress caused by the 2015–2016 El Niño on the biochemical composition, exoskeleton structure, and symbiont density of the fire coral Millepora alcicornis. Cienc. Mar. 2023, 49, e3296. [Google Scholar] [CrossRef]
- Abrego, D.; Ulstrup, K.E.; Willis, B.L.; van Oppen, M.J. Species–specific interactions between algal endosymbionts and coral hosts define their bleaching response to heat and light stress. Proc. R. Soc. B Biol. Sci. 2008, 275, 2273–2282. [Google Scholar] [CrossRef]
- Leggat, W.; Seneca, F.; Wasmund, K.; Ukani, L.; Yellowlees, D.; Ainsworth, T.D. Differential responses of the coral host and their algal symbiont to thermal stress. PLoS ONE 2011, 6, e26687. [Google Scholar] [CrossRef]
- Morris, L.A.; Voolstra, C.R.; Quigley, K.M.; Bourne, D.G.; Bay, L.K. Nutrient availability and metabolism affect the stability of coral–Symbiodiniaceae symbioses. Trends Microbiol. 2019, 27, 678–689. [Google Scholar] [CrossRef]
- Cruz-García, R.; Rodríguez-Troncoso, A.P.; Rodríguez-Zaragoza, F.A.; Mayfield, A.; Cupul-Magaña, A.L. Ephemeral effects of El Niño–Southern Oscillation events on an eastern tropical Pacific coral community. Mar. Freshw. Res. 2020, 71, 1259–1268. [Google Scholar] [CrossRef]
- Glynn, P.W.; Mones, A.B.; Podestá, G.P.; Colbert, A.; Colgan, M.W. El Niño-Southern Oscillation: Effects on Eastern Pacific coral reefs and associated biota. In Coral Reefs of the Eastern Tropical Pacific: Persistence and Loss in a Dynamic Environment; Springer: Berlin/Heidelberg, Germany, 2017; pp. 251–290. [Google Scholar]
- Baird, A.H.; Bhagooli, R.; Ralph, P.J.; Takahashi, S. Coral bleaching: The role of the host. Trends Ecol. Evol. 2009, 24, 16–20. [Google Scholar] [CrossRef]
- Richardson, L.E.; Graham, N.A.; Pratchett, M.S.; Eurich, J.G.; Hoey, A.S. Mass coral bleaching causes biotic homogenization of reef fish assemblages. Glob. Change Biol. 2018, 24, 3117–3129. [Google Scholar] [CrossRef]
- Sotelo-Casas, R.C.; Rodríguez-Troncoso, A.P.; Rodríguez-Zaragoza, F.A.; Solís-Marín, F.A.; Godínez-Domínguez, E.; Cupul-Magaña, A.L. Spatial-temporal variations in echinoderm diversity within coral communities in a transitional region of the northeast of the eastern pacific. Estuar. Coast. Shelf Sci. 2019, 227, 106346. [Google Scholar] [CrossRef]
- Glynn, P.W.; Ault, J.S. A biogeographic analysis and review of the far eastern Pacific coral reef region. Coral Reefs 2000, 19, 1–23. [Google Scholar]
- Cortés, J.; Enochs, I.C.; Sibaja-Cordero, J.; Hernández, L.; Alvarado, J.J.; Breedy, O.; Cruz-Barraza, J.A.; Esquivel-Garrote, O.; Fernández-García, C.; Hermosillo, A.; et al. Marine Biodiversity of Eastern Tropical Pacific Coral Reefs. In Coral Reefs of the Eastern Tropical Pacific. Coral Reefs of the World; Glynn, P., Manzello, D., Enochs, I., Eds.; Springer: Dordrecht, The Netherlands, 2017; Volume 8. [Google Scholar]
- Romero-Torres, M.; Acosta, A.; Palacio-Castro, A.M.; Treml, E.A.; Zapata, F.A.; Paz-García, D.A.; Porter, J.W. Coral reef resilience to thermal stress in the Eastern Tropical Pacific. Glob. Change Biol. 2020, 26, 3880–3890. [Google Scholar] [CrossRef]
- Velarde, E.; Cartron, J.L.E.; Drummond, H.U.G.H.; Anderson, D.W.; Gallardo, F.R.; Palacios, E.; Rodríguez, C. Nesting seabirds of the Gulf of California’s offshore islands: Diversity, ecology, and conservation. In Biodiversity, Ecosystems, and Conservation in Northern Mexico; Oxford University Press: Oxford, UK, 2005; pp. 452–470. [Google Scholar]
- CONANP (Comisión Nacional de Áreas Naturales Protegidas). Programa de Conservación Y Manejo, Parque Nacional Islas Marietas; Secretaria de Medio Ambiente y Recursos Naturales (SEMARENAT): Mexico City, Mexico, 2007; pp. 21–57. [Google Scholar]
- Hernández-Zulueta, J.; Rodríguez-Zaragoza, F.A.; Araya, R.; Vargas-Ponce, O.; Rodríguez-Troncoso, A.P.; Cupul-Magaña, A.L.; Díaz-Pérez, L.; Ríos-Jara, E.; Ortiz, M. Multi-scale analysis of hermatypic coral assemblages at Mexican Central Pacific. Sci. Mar. 2017, 81, 91–102. [Google Scholar]
- Palacios-Hernández, E.; Carrillo, L.E.; Filonov, A.; Brito-Castillo, L.; Cabrera-Ramos, C.E. Seasonality and anomalies of sea surface temperature off the coast of Nayarit, Mexico. Ocean. Dyn. 2010, 60, 81–91. [Google Scholar]
- Pantoja, D.A.; Marinone, S.G.; Parés-Sierra, A.; Gómez-Valdivia, F. Modelación numérica de la hidrografía y circulación estacional y de mesoescala en el Pacífico central mexicano. Cienc. Mar. 2012, 38, 363–379. [Google Scholar]
- García-Oliva, F.; Camou, A.; Maass, J.M. El clima de la región central de la costa del Pacífico mexicano. In Historia Natural de Chamela; Instituto de Biología de la UNAM: CDMX, Mexico, 2002; pp. 3–10. [Google Scholar]
- Wang, C.; Fiedler, P.C. ENSO variability and the eastern tropical Pacific: A review. Prog. Oceanogr. 2006, 69, 239–266. [Google Scholar] [CrossRef]
- Cupul-Magaña, A.L.; Rodríguez-Troncoso, A.P. Tourist carrying capacity at Islas Marietas National Park: An essential tool to protect the coral community. Appl. Geogr. 2017, 88, 15–23. [Google Scholar] [CrossRef]
- Tortolero-Langarica, J.A.; Rodríguez-Troncoso, A.P.; Cupul-Magaña, A.L.; Alarcón-Ortega, L.C.; Santiago-Valentín, J.D. Accelerated recovery of calcium carbonate production in coral reefs using low-tech ecological restoration. Ecol. Eng. 2019, 128, 89–97. [Google Scholar]
- Anderson, M.J.; Gorley, R.N.; Clarke, R.K. PERMANOVA+ para PRIMER: Guía para el Programa y Métodos Estadísticos; PRIMER-E, Massey University: Plymouth, UK, 2008; p. 264. [Google Scholar]
- Usseglio-Polatera, P.; Bournaud, M.; Richoux, P.; Tachet, H. Biological and ecological traits of benthic freshwater macroinvertebrates: Relationship and definition of groups with similar traits. Freshw. Biol. 2000, 43, 175–205. [Google Scholar] [CrossRef]
- Haybach, A.; Schöll, F.; König, B.; Kohmann, F. Use of biological traits for interpreting functional relationships in large rivers. Limnologica 2004, 34, 451–459. [Google Scholar] [CrossRef][Green Version]
- Devin, S.; Beisel, J.N.; Usseglio-Polatera, P.; Moreteau, J.C. Changes in functional diversity in an invaded freshwater ecosystem: The Moselle River. Hydrobiologia 2005, 542, 113–120. [Google Scholar] [CrossRef]
- Heino, J. Functional diversity of macroinvertebrate assemblages along major ecological gradients of boreal headwater streams. Freshw. Biol. 2005, 50, 1578–1587. [Google Scholar] [CrossRef]
- Heino, J. Patterns of functional biodiversity and function-environment relationships in lake littoral macroinvertebrates. Limnol. Oceanogr. 2008, 53, 1446–1455. [Google Scholar] [CrossRef]
- Bazzanti, M.; Bella, V.D.; Grezzi, F. Functional characteristics of macroinvertebrate communities in Mediterranean ponds (Central Italy): Influence of water permanence and microhabitat type. Annales de Limnologie—International. J. Limnol. 2009, 45, 29–39. [Google Scholar] [CrossRef]
- Göthe, E.; Sandin, L.; Allen, C.R.; Angeler, D.G. Quantifying spatial scaling patterns and their local and regional correlates in headwater streams: Implications for resilience. Ecol. Soc. 2014, 19, 15. [Google Scholar] [CrossRef]
- Rodríguez-Zaragoza, F.A.; Arias-González, J.E. Coral biodiversity and bio-construction in the northern sector of the mesoamerican reef system. Front. Mar. Sci. 2015, 2, 13. [Google Scholar] [CrossRef]
- Cáceres, I.; Ibarra-García, E.C.; Ortiz, M.; Ayón-Parente, M.; Rodríguez-Zaragoza, F.A. Effect of fisheries and benthic habitat on the ecological and functional diversity of fish at the Cayos Cochinos coral reefs (Honduras). Mar. Biodivers. 2020, 50, 9. [Google Scholar] [CrossRef]
- Figueroa, N.N.; Brante, A.; Viard, F.; Leclerc, J.C. Greater functional similarity in mobile compared to sessile assemblages colonizing artificial coastal habitats. Mar. Pollut. Bull. 2021, 172, 112844. [Google Scholar] [CrossRef]
- Van Son, T.C.; Oug, E.; Halvorsen, R.; Melsom, F. Gradients in traits composition and their relation to environmental complex-gradients and structuring processes: A study of marine sediment species communities. Open Mar. Biol. J. 2013, 7, 14–27. [Google Scholar] [CrossRef]
- Villéger, S.; Mason, N.W.; Mouillot, D. New multidimensional functional diversity indices for a multifaceted framework in functional ecology. Ecology 2008, 89, 2290–2301. [Google Scholar] [CrossRef]
- Keith, S.A.; Woolsey, E.S.; Madin, J.S.; Byrne, M.; Baird, A.H. Differential establishment potential of species predicts a shift in coral assemblage structure across a biogeographic barrier. Ecography 2015, 38, 1225–1234. [Google Scholar] [CrossRef]
- Lange, I.D.; Benkwitt, C.E.; McDevitt-Irwin, J.M.; Tietjen, K.L.; Taylor, B.; Chinkin, M.; Gunn, R.L.; Palmisciano, M.; Steyaert, M.; Wilson, B.; et al. Wave exposure shapes reef community composition and recovery trajectories at a remote coral atoll. Coral Reefs 2021, 40, 1819–1829. [Google Scholar] [CrossRef]
- Yasuhara, M.; Danovaro, R. Temperature impacts on deep-sea biodiversity. Biol. Rev. 2016, 91, 275–287. [Google Scholar] [CrossRef]
- Martínez-Castillo, V.; Rodríguez-Troncoso, A.P.; Santiago-Valentín, J.D.; Cupul-Magaña, A.L. The influence of urban pressures on coral physiology on marginal coral reefs of the Mexican Pacific. Coral Reefs 2020, 39, 625–637. [Google Scholar] [CrossRef]
- Gilmour, J.P.; Cook, K.L.; Ryan, N.M.; Puotinen, M.L.; Green, R.H.; Heyward, A.J. A tale of two reef systems: Local conditions, disturbances, coral life histories, and the climate catastrophe. Ecol. Appl. 2022, 32, e2509. [Google Scholar] [CrossRef]
- Martínez-Castillo, V.; Rodríguez-Troncoso, A.P.; de Jesús Adolfo Tortolero-Langarica, J.; Bautista-Guerrero, E.; Padilla-Gamiño, J.; Cupul-Magaña, A.L. Coral performance and bioerosion in Central Mexican Pacific reef communities. Hydrobiologia 2022, 849, 2395–2412. [Google Scholar] [CrossRef]
- Chávez-Romo, H.E.; Paz-García, D.A.; Correa-Sandoval, F.; Reyes-Bonilla, H.; López-Pérez, R.A.; Medina-Rosas, P. Difference in reproductive strategies of two scleractinian corals (branching vs. massive) along the west coast of Mexico. Cienc. Mar. 2013, 39, 387–400. [Google Scholar] [CrossRef][Green Version]
- Sánchez, J.A.; Ardila, N.E.; Andrade, J.; Dueñas, L.F.; Navas, R.; Ballesteros, D. Octocoral densities and mortalities in Gorgona Island, Colombia, Tropical Eastern Pacific. Rev. Biol. Trop. 2014, 62, 209–219. [Google Scholar] [CrossRef][Green Version]
- Minnery, G.A. Crustose coralline algae from the Flower Garden Banks, Northwestern Gulf of Mexico; controls on distribution and growth morphology. J. Sediment. Res. 1990, 60, 992–1007. [Google Scholar]
- Miller, R.J.; Juska, C.; Hocevar, J. Submarine canyons as coral and sponge habitat on the eastern Bering Sea slope. Glob. Ecol. Conserv. 2015, 4, 85–94. [Google Scholar] [CrossRef]
- Dominici-Arosemena, A.; Wolff, M. Reef fish community structure in the Tropical Eastern Pacific (Panamá): Living on a relatively stable rocky reef environment. Helgol. Mar. Res. 2006, 60, 287–305. [Google Scholar] [CrossRef]
- Russ, G.R. Grazer biomass correlates more strongly with production than with biomass of algal turfs on a coral reef. Coral reefs 2003, 22, 63–67. [Google Scholar] [CrossRef]
- Santoso, A.; Mcphaden, M.J.; Cai, W. The defining characteristics of ENSO extremes and the strong 2015/2016 El Niño. Rev. Geophys. 2017, 55, 1079–1129. [Google Scholar] [CrossRef]
- Nava, H.; Carballo, J.L. Environmental factors shaping boring sponge assemblages at Mexican Pacific coral reefs. Mar. Ecol. 2013, 34, 269–279. [Google Scholar] [CrossRef]
- Sotelo-Casas, R.C.; Cupul-Magaña, A.L.; Rodríguez-Zaragoza, F.A.; Solís-Marín, F.A.; Rodríguez-Troncoso, A.P. Structural and environmental effects on an assemblage of echinoderms associated with a coral community. Mar. Biodivers. 2018, 48, 1401–1411. [Google Scholar] [CrossRef]
- Webster, N.S.; Soo, R.; Cobb, R.; Negri, A.P. Elevated seawater temperature causes a microbial shift on crustose coralline algae with implications for the recruitment of coral larvae. ISME J. 2011, 5, 759–770. [Google Scholar] [CrossRef] [PubMed]
- Villéger, S.; Miranda, J.R.; Hernández, D.F.; Mouillot, D. Contrasting changes in taxonomic vs. functional diversity of tropical fish communities after habitat degradation. Ecol. Appl. 2010, 20, 1512–1522. [Google Scholar] [CrossRef] [PubMed]
- Carter, A.L.; Edwards, C.B.; Fox, M.D.; Amir, C.G.; Eynaud, Y.; Johnson, M.D.; Smith, J.E. Changes in benthic community composition associated with the outbreak of the corallimorph, Rhodactis howesii, at Palmyra Atoll. Coral Reefs 2019, 38, 1267–1279. [Google Scholar] [CrossRef]
- Fox, M.D.; Carter, A.L.; Edwards, C.B.; Takeshita, Y.; Johnson, M.D.; Petrovic, V.; Smith, J.E. Limited coral mortality following acute thermal stress and widespread bleaching on Palmyra Atoll, central Pacific. Coral Reefs 2019, 38, 701–712. [Google Scholar] [CrossRef]
- Glynn, P.W.; Riegl, B.; Correa, A.; Baums, I.B. Rapid recovery of a coral reef at Darwin Island, Galapagos Islands. Galapagos Res. 2009, 66, 6. [Google Scholar]
- Barth, J.A.; Menge, B.A.; Lubchenco, J.; Chan, F.; Bane, J.M.; Kirincich, A.R.; McManus, M.A.; Nielsen, K.J.; Pierce, S.D.; Washburn, L. Delayed upwelling alters nearshore coastal ocean ecosystems in the northern California current. Proc. Natl. Acad. Sci. USA 2007, 104, 3719–3724. [Google Scholar] [CrossRef] [PubMed]
- Morgan, K.M.; Moynihan, M.A.; Sanwlani, N.; Switzer, A.D. Light limitation and depth-variable sedimentation drives vertical reef compression on turbid coral reefs. Front. Mar. Sci. 2020, 7, 571256. [Google Scholar] [CrossRef]
- De’ath, G.; Fabricius, K. Water quality as a regional driver of coral biodiversity and macroalgae on the Great Barrier Reef. Ecol. Appl. 2010, 20, 840–850. [Google Scholar] [CrossRef] [PubMed]
- Abad, R.; Jaramillo, K.B.; Castro, D.; Sánchez, J.A.; Rodríguez, J. Octocoral Distribution Patterns at the Equatorial Front (Tropical Eastern Pacific): Muricea and Leptogorgia. Oceans 2022, 3, 218–230. [Google Scholar] [CrossRef]





| Trait | Function(s) | Potential Values |
|---|---|---|
| Shape | Topographical and habitat complexity | Foliar-articular-tubular, filamentous, crustose, submassive encrusting, submassive plate, nodular-branching, submassive crustose, chain of tubes, fan plume, or whip rod |
| Size | Topographical and habitat complexity | Small, medium, or large |
| Type of nutrition | Use of resources | Autotrophs, heterotrophs, or both |
| Q/B | Consumption of biomass | 0, 4.2, or 9 |
| P/B | Production of biomass | 0.08, 1.09, 1.7, or 13.25 |
| Framework builders | Calcification and reef consolidation | Reef-building or non-reef-building |
| Benthic Group | Shape | Size | Type of Nutrition | Q/B | P/B | Framework Builders | Cover (%) IL | Cover (%) IR |
|---|---|---|---|---|---|---|---|---|
| Scleractinian corals | Submassive encrusting-submassive plate-nodular-branching | Large | Autotrophs-heterotrophs | 9 | 1.1 | Reef-building | 23.70 ± 0.87 | 8.99 ± 0.48 |
| Hydrocorals | Crustose | Medium | Heterotrophs | 9 | 0.1 | Reef-building | 0.43 ± 0.05 | 0.75 ± 0.07 |
| Octocorals | Fan plume-whip rod | Large | Heterotrophs | 9 | 0.1 | Reef-building | 0.13 ± 0.01 | 0.36 ± 0.03 |
| Sponges | Submassive crustose-chain of tubes | Medium | Heterotrophs | 4.2 | 1.7 | Non-reef-building | 0.49 ± 0.05 | 0.49 ± 0.04 |
| Turf algae | Filamentous | Small | Autotrophs | 0 | 13 | Non-reef-building | 17.67 ± 0.64 | 18.24 ± 0.61 |
| ACA | Foliar-articular-tubular | Small | Autotrophs | 0 | 13 | Reef-building | 0.04 ± 0.02 | 0.21 ± 0.10 |
| CCA | Crustose | Small | Autotrophs | 0 | 13 | Reef-building | 4.86 ± 0.21 | 6.50 ± 0.31 |
| Macroalgae | Foliar-articular-tubular | Large | Autotrophs | 0 | 13 | Non-reef-building | 1.53 ± 0.16 | 0.35 ± 0.07 |
| P-F | p | C.V.% | P-F | p | C.V.% | P-F | p | C.V.% | P-F | p | C.V.% | |
|---|---|---|---|---|---|---|---|---|---|---|---|---|
| Factor | PERMANOVA | BGR 1 | H’BG 1 | DBG 1 | ||||||||
| Co | 248.11 | 0.0001 | 26.43 | 107.16 | 0.0001 | 13.72 | 35.47 | 0.0001 | 5.09 | |||
| Island | 92.63 | 0.0001 | 20.473 | 24.45 | 0.0001 | 6.86 | 7.26 | 0.0069 | 2.21 | 2.05 | 0.1549 | 0.42 |
| Year | 8.809 | 0.0001 | 8.72 | 2.98 | 0.0028 | 2.14 | 5.89 | 0.0001 | 6.39 | 3.71 | 0.0002 | 4.06 |
| Island × Year | 2.69 | 0.0001 | 3.77 | 0.82 | 0.5934 | 0.39 | 0.96 | 0.4803 | 0.11 | 1.59 | 0.1133 | 1.74 |
| Residual | 67.03 | 64.18 | 77.56 | 88.69 | ||||||||
| J’BG 2 | Fric 1 | FDis BG 1 | FDiv BG 2 | |||||||||
| Co | 255.27 | 0.0001 | 27.08 | 72.89 | 0.0001 | 10.23 | ||||||
| Island | 0.17 | 0.6745 | 0.26 | 9.08 | 0.0022 | 2.36 | 8.03 | 0.0052 | 2.73 | 0.07 | 0.7831 | 0.29 |
| Year | 3.45 | 0.0003 | 3.81 | 4.28 | 0.0001 | 3.54 | 1.75 | 0.0756 | 1.09 | 2.78 | 0.004 | 2.8 |
| Island × Year | 1.81 | 0.0626 | 2.51 | 2.46 | 0.0088 | 3.12 | 1.2 | 0.2971 | 0.56 | 1.76 | 0.0717 | 2.4 |
| Residual | 93.41 | 63.9 | 85.39 | 94.51 | ||||||||
| Index | Variable(s) | R²Adj | F | p |
|---|---|---|---|---|
| BGR | PAR + SST + Kd 490 | 0.751 | 10.057 | 0.009 |
| H’BG | PAR | 0.441 | 6.309 | 0.036 |
| DBG | PAR + SST + Kd 490 | 0 | 0.472 | 0.713 |
| J’BG | PAR + SST + Kd 490 | 0 | 0.0116 | 0.998 |
| FRicBG | PAR + SST + Kd 490 | 0.616 | 5.822 | 0.033 |
| FDi BG | PAR + SST + Kd 490 | 0 | 0.228 | 0.874 |
Disclaimer/Publisher’s Note: The statements, opinions and data contained in all publications are solely those of the individual author(s) and contributor(s) and not of MDPI and/or the editor(s). MDPI and/or the editor(s) disclaim responsibility for any injury to people or property resulting from any ideas, methods, instructions or products referred to in the content. |
© 2024 by the authors. Licensee MDPI, Basel, Switzerland. This article is an open access article distributed under the terms and conditions of the Creative Commons Attribution (CC BY) license (https://creativecommons.org/licenses/by/4.0/).
Share and Cite
de Alba-Guzmán, C.; Cabral-Tena, R.A.; Rodríguez-Zaragoza, F.A.; Tortolero-Langarica, J.d.J.A.; Cupul-Magaña, A.L.; Rodríguez-Troncoso, A.P. Decadal Changes in Benthic Community Structure and Function in a Coral Community in the Northeastern Tropical Pacific. Diversity 2024, 16, 372. https://doi.org/10.3390/d16070372
de Alba-Guzmán C, Cabral-Tena RA, Rodríguez-Zaragoza FA, Tortolero-Langarica JdJA, Cupul-Magaña AL, Rodríguez-Troncoso AP. Decadal Changes in Benthic Community Structure and Function in a Coral Community in the Northeastern Tropical Pacific. Diversity. 2024; 16(7):372. https://doi.org/10.3390/d16070372
Chicago/Turabian Stylede Alba-Guzmán, Cassandra, Rafael Andrés Cabral-Tena, Fabián Alejandro Rodríguez-Zaragoza, José de Jesús Adolfo Tortolero-Langarica, Amílcar Leví Cupul-Magaña, and Alma Paola Rodríguez-Troncoso. 2024. "Decadal Changes in Benthic Community Structure and Function in a Coral Community in the Northeastern Tropical Pacific" Diversity 16, no. 7: 372. https://doi.org/10.3390/d16070372
APA Stylede Alba-Guzmán, C., Cabral-Tena, R. A., Rodríguez-Zaragoza, F. A., Tortolero-Langarica, J. d. J. A., Cupul-Magaña, A. L., & Rodríguez-Troncoso, A. P. (2024). Decadal Changes in Benthic Community Structure and Function in a Coral Community in the Northeastern Tropical Pacific. Diversity, 16(7), 372. https://doi.org/10.3390/d16070372

