Soil Biological Properties along a Topographic Gradient in Brazil’s Atlantic Forest Biome
Abstract
:1. Introduction
2. Materials and Methods
2.1. Study Area
2.2. Soil Sampling and Data Collection
2.3. Soil Analysis
2.4. Statistical Analysis
3. Results
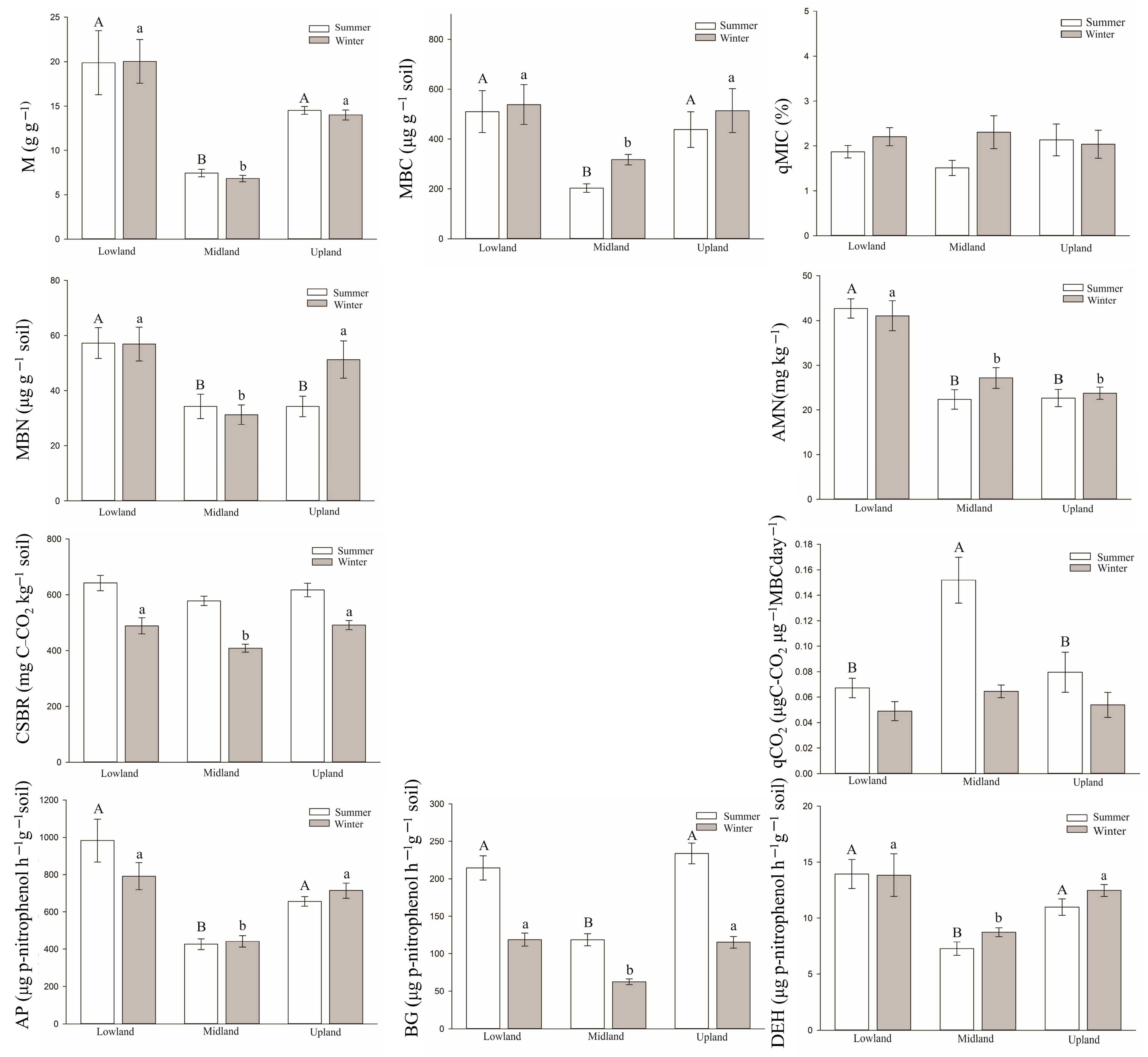
3.1. Moisture Distribution, Biological Properties, and Soil Collection Seasons Effect
3.2. Relationship between Chemical, Physical, Biological, and Topographical Soil Properties
4. Discussion
5. Conclusions
Supplementary Materials
Author Contributions
Funding
Institutional Review Board Statement
Data Availability Statement
Acknowledgments
Conflicts of Interest
References
- Myers, N.; Mittermeier, R.A.; Mittermeier, C.G.; da Fonseca, G.A.B.; Kent, J. Biodiversity hotspots for conservation priorities. Nature 2000, 403, 853–858. [Google Scholar] [CrossRef]
- Martini, A.M.Z.; Fiaschi, P.; Amorim, A.M.; Paixão, J.L. A hot-point within a hot-spot: A high diversity site in Brazil’s Atlantic Forest. Biodivers. Conserv. 2007, 16, 3111–3128. [Google Scholar] [CrossRef]
- Mittermeier, R.A.; Turner, W.R.; Larsen, F.W.; Brooks, T.M.; Gascon, C. Global Biodiversity Conservation: The Critical Role of Hotspots. In Biodiversity Hotspots; Zachos, F.E., Habel, J.C., Eds.; Springer: Berlin/Heidelberg, Germany, 2011. [Google Scholar] [CrossRef]
- SOS Mata Atlântica/Inpe, Fundação SOS Mata Atlântica/Instituto Nacional de Pesquisas Espaciais, Nossas causas—Mata Atlântica. Available online: https://www.sosma.org.br/nossas-causas/mata-atlantica/ (accessed on 15 July 2018).
- Cunha, G.M.; Gama-Rodrigues, A.C.; Gama-Rodrigues, E.F.; Velloso, A.C.X. Biomass, carbon and nutrient pools in montane atlantic forests in the north of Rio de Janeiro state, Brazil. Rev. Bras. Ciência Solo 2009, 33, 1175–1185. [Google Scholar] [CrossRef]
- Portugal, A.F.; Costa, O.D.V.; Costa, L.M. Physical and chemical properties of a soil under different production systems and forest in the Zona da Mata region of Minas Gerais state (Brazil). Rev. Bras. Ciência Solo 2010, 34, 575–585. [Google Scholar] [CrossRef]
- Powell, J.R.; Craven, D.; Eisenhauer, N. Recent trends and future strategies in soil ecological research: Integrative approaches at Pedobiologia. Pedobiologia 2014, 57, 1–3. [Google Scholar] [CrossRef]
- Alves, T.S.; Campos, L.L.; Neto, N.E.; Matsuoka, M.; Loureiro, M.F. Biomass and soil microbial activity under native vegetation and different soil managements. Acta Sci. Agron. 2011, 33, 341–347. [Google Scholar] [CrossRef]
- Silva, C.F.; Pereira, M.G.; Miguel, D.L.; Feitora, J.C.F.; Loss, A.; Menezes, C.E.G.; Silva, E.M.R. Total organic carbon, microbial biomass and soil enzyme activity areas of agriculture, forestry and grassland in the middle Valley of Paraíba do Sul River (RJ). Rev. Bras. Ciência Solo 2012, 36, 1680–1689. [Google Scholar] [CrossRef]
- Silva, I.R.; Mendonça, E.S. Matéria Orgânica do Solo. In Fertilidade do Solo; Novais, R.F., Alvarez, V.V.H., Barros, N.F., Fontes, R.L.F., Cantarutti, R.B., Neves, J.C.L., Eds.; Sociedade Brasileira de Ciência do Solo (SBCS): Viçosa, Brazil, 2007. [Google Scholar]
- Ab’Sáber, A.N. Domínios morfoclimáticos e solos do Brasil. In O Solo nos Grandes Domínios Morfoclimáticos do Brasil e o Desenvolvimento Sustentado; Alvarez, V.V.H., Fontes, L.E.F., Fontes, M.P.F., Eds.; Sociedade Brasileira de Ciência do Solo, UFV: Viçosa, Brazil, 1996; pp. 1–18. [Google Scholar]
- Almeida Pacheco, A.; Carlos Ker, J.; Ernesto Gonçalves Reynaud Schaefer, C.; Paulo Ferreira Fontes, M.; Vaz Andrade, F.; de Souza Martins, E.; Soares de Oliveira, F. Mineralogy, micromorphology, and genesis of soils with varying drainage along a hillslope on granitic rocks of the Atlantic Forest Biome, Brazil. Article Rev Bras Cienc Solo 2018, 42, 170291. [Google Scholar] [CrossRef]
- Ab’Sáber, A.N. Os Domínios de Natureza no Brasil: Potencialidades Paisagísticas; Ateliê Editorial: São Paulo, Brazil, 2003. [Google Scholar]
- Santos, A.C.; Pereira, M.G.; Anjos, L.H.C.; Bernini, T.A.; Cooper, M.; Nummer, A.R.; Francelino, M.R. Soil genesis and classification in the environment “Mar de Morros” in the mid-valley of the river Paraiba do Sul, RJ. Rev. Bras. Ciência Solo 2010, 34, 1297–1314. [Google Scholar] [CrossRef]
- Gessler, P.E.; McKenzie, N.J.; Hutchinson, M.F. Progress in soil-landscape modeling and spatial prediction of soil attributes for environmental models. In Proceedings of the Third International Conference/Workshop on Integrating GIS and Environmental Modeling, Santa Barbara, CA, USA, 21–25 January 1996; National Center for Geographic Information and Analysis: Sante Fe, NM, USA, 1996; pp. 21–26. [Google Scholar]
- Jucker, T.; Bongalov, B.; Burslem, D.F.R.P.; Nilus, R.; Dalponte, M.; Lewis, S.L.; Phillips, O.L.; Qie, L.; Coomes, D.A. Topography shapes the structure, composition and function of tropical forest landscapes. Ecol. Lett. 2018, 21, 989–1000. [Google Scholar] [CrossRef]
- Muscarella, R.; Kolyaie, S.; Morton, D.C.; Zimmerman, J.K.; Uriarte, M. Effects of topography on tropical forest structure depend on climate context. J. Ecol. 2019, 108, 145–159. [Google Scholar] [CrossRef]
- Khalili-Rad, M.; Nourbakhsh, F.; Jalalian, A.; Eghbal, M.K. The effects of slope position on soil biological properties in an eroded 510 toposequence. Arid. Land Res. Manag. 2011, 25, 308–312. [Google Scholar] [CrossRef]
- Li, X.; McCarty, G.W.; Karlen, D.L.; Cambardella, C.A. Topographic metric predictions of soil redistribution and organic carbon in Iowa cropland fields. Catena 2018, 160, 222–232. [Google Scholar] [CrossRef]
- Gibbons, J.M.; Newbery, D.M. Drought avoidance and the effect of local topography on trees in the understorey of Bornean lowland rain forest. Plant Ecol. 2003, 164, 1–18. [Google Scholar] [CrossRef]
- Rodrigues, A.C.; Villa, P.M.; Ferreira-Júnior, W.G.; Schaefer, C.E.R.; Neri, A.V. Effects of topographic variability and forest attributes on fine-scale soil fertility in late-secondary succession of Atlantic Forest. Ecol. Process 2021, 10, 62. [Google Scholar] [CrossRef]
- Balvanera, P.; Quijas, S.; Pérez-Jiménez, A. Distribution patterns of tropical dry forest trees along a mesoscale water availability gradient. Biotropica 2011, 43, 414–422. [Google Scholar] [CrossRef]
- O’Brien, M.J.; Escudero, A. Topography in tropical forests enhances growth and survival differences within and among species via water availability and biotic interactions. Funct. Ecol. 2021, 36, 686–698. [Google Scholar] [CrossRef]
- Liu, Y.; Zhang, L.P.; Lu, J.K.; Chen, W.M.; Wei, G.H.; Lin, Y.B. Topography affects the soil conditions and bacterial communities along a restoration gradient on Loess-Plateau. Appl. Soil Ecol. 2020, 150, 103471. [Google Scholar] [CrossRef]
- Zhang, N.; Xu, W.; Yu, X.; Lin, D.; Wan, S.; Ma, K. Impact of topography, annual burning, and nitrogen addition on soil microbial communities in a semiarid grassland. Soil Sci. Soc. Am. J. 2013, 77, 1214–1224. [Google Scholar] [CrossRef]
- Oliveira-Filho, A.T.; Fontes, M.A.L. Patterns of Floristic Differentiation among Atlantic Forests in Southeastern Brazil and the 523 Influence of Climate. Biotropica 2000, 32, 793–810. [Google Scholar] [CrossRef]
- Instituto Brasileiro de Geografia e Estatística (IBGE). Mapas de Biomas e de Vegetação. 2004. Available online: http://www.ibge.gov.br/home/presidencia/noticias/21052004biomashtml.shtm (accessed on 14 February 2020).
- Hollunder, R.K.; Martins, K.G.G.; Luber, J.; Ferreira, R.S.; Carrijo, T.T.; Mendonça, E.D.S.; Garbin, M.L. Associação entre espécies de sub-bosque e variação topográfica em um fragmento de Floresta Atlântica no Estado do Espírito Santo. Acta Sci. Tech. 2014, 2, 35–40. [Google Scholar] [CrossRef]
- Luber, J.; Tuler, A.C.; Torres, F.; Christ, J.A.; Guidoni-Martins, K.G.; Zanetti, M.; Hollunder, R.K.; Manhães, V.C.; Zorzanelli, J.P.F.; Mendonça, E.S.; et al. List of angiosperm species in an Atlantic Forest fragment reveals collection gaps in Espírito Santo state, Brazil. Check List 2016, 12, 1835. [Google Scholar] [CrossRef]
- Alvares, C.A.; Stape, J.L.; Sentelhas, P.C.; Gonçalves, J.L.M.; Sparovek, G. Koppen’s climate classification map for Brazil. Meteorol. Z. 2013, 22, 711–728. [Google Scholar] [CrossRef]
- Instituto Nacional de Meteorologia (INMET). Seção de Armazenamento de Dados Meteorológicos (SADMET). 2015. Available online: http://www.inmet.gov.br/portal/ (accessed on 8 March 2020).
- Enviromental Systems Rechearch Institute (ESRI). ArcGIS for Windows Version 10.3; Licence type ArcInfo; [S.I]: ESRI—Enviromental Systems Rechearch Institute: Redlands, CA, USA, 2015. [Google Scholar]
- Santos, H.G.; Jacomine, P.K.; Anjos, L.H.C.; Oliveira, V.A.; Lumbreras, J.F.; Coelho, M.R.; Almeida, J.A.; Cunha, T.J.F.; Oliveira, J.B. Sistema Brasileiro de Classificação de Solos, 3rd ed.; Revista e Ampliada; Embrapa: Brasília, Brazil, 2013. [Google Scholar]
- Keeney, D.R.; Nelson, D.W. Nitrogen inorganic forms. In Methods of Soil Analysis, Part 2, Chemical and Microbiological Properties; Page, A.L., Ed.; American Society of Agronomy: Madison, WI, USA, 1982; pp. 643–698. [Google Scholar]
- Yeomans, J.C.; Bremner, J.M. A rapid and precise method for routine determination of organic carbon in soil. Commun. Soil Sci. Plant Anal. 1988, 19, 1467–1476. [Google Scholar] [CrossRef]
- Islam, K.R.; Weil, R.R. Microwave irradiation of soil for routine measurement of microbial biomass carbon. Biol. Fertil. Soils 1998, 27, 408–416. [Google Scholar] [CrossRef]
- Sparling, G.P. Ratio of microbial biomass carbon to soil organic carbon as a sensitive indicator of changes in soil organic matter. Aust. J. Soil Res. 1992, 30, 195–207. [Google Scholar] [CrossRef]
- Empresa Brasileira de Pesquisa Agropecuária (EMBRAPA). Manual de Métodos de Análise de Solos; Donagema, G.K., Campos, D.V.B., Calderano, S.B., Teixeira, W.G., Viana, J.H.M., Eds.; Dados Eletrônicos; Embrapa Solos: Rio de Janeiro, Brazil, 2011. [Google Scholar]
- Curl, E.A.; Rodriguez-Kabana, R. Microbial interactions. In Research Methods in Weed Science; Wilkinson, R.E., Ed.; Southern Weed Science Society: Atlanta, GA, USA, 1972; pp. 162–194. [Google Scholar]
- Stotzky, G. Microbial respiration. In Methods of Soil Analysis; Black, C.A., Evans, D.D., White, J.L., Ensminger, L.E., Clark, F.E., Eds.; American Society of Agronomy: Madison, WI, USA, 1965; pp. 1550–1570. [Google Scholar]
- Anderson, T.H.; Domsch, K.H. The metabolic quotient for CO2 (qCO2) as a specific activity parameter to assess the effects of environmental conditions, such as pH, on the microbial biomass of forest soils. Soil Biol. Biochem. 1993, 25, 393–395. [Google Scholar] [CrossRef]
- Tabatabai, M.A. Soil enzymes. In Methods of Soil Analysis: Microbiological and Biochemical Properties; Weaver, R.W., Scott, A., Bottomeley, P.J., Eds.; Soil Science Society of America: Madison, WI, USA, 1994; pp. 778–835. [Google Scholar]
- Wilcoxon, F. Individual comparisons by ranking methods. Biom. Bull. 1945, 1, 80–83. [Google Scholar] [CrossRef]
- Borcard, D.; Gillet, F.; Legendre, P. Numerical Ecology with R; Springer: New York, NY, USA, 2011. [Google Scholar]
- Blanchet, F.G.; Legendre, P.; Borcard, D. Forward selection of explanatory variables. Ecology 2008, 89, 2623–2632. [Google Scholar] [CrossRef] [PubMed]
- Legendre, P.; Legendre, L. Numerical Ecology; Developments in Environmental Modeling, 3rd ed.; Elsevier: Amsterdam, The Netherlands, 2012; Volume 24. [Google Scholar]
- R Development Core Team. R: A Language and Environment for Statistical Computing; R Foundation for Statistical Computing: Vienna, Austria, 2015; Available online: http://www.R-project.org/ (accessed on 12 September 2022).
- Vasconcelos, S.S.; Zarin, D.J.; Rosa, M.B.S.; Oliveira, F.A.; Carvalho, C.J.R. Leaf decomposition in a dry season irrigation experiment in Eastern Amazonian Forest regrowth. Biotropica 2007, 39, 593–600. [Google Scholar] [CrossRef]
- Vasconcelos, S.S.; Zarin, D.J.; Araújo, M.M.; Rangel-Vasconcelos, L.G.T.; Carvalho, C.J.R.; Staudhammer, C.L.; Oliveira, F.A. Effects of seasonality, litter removal and dry-season irrigation on litterfall quantity and quality in eastern Amazonian Forest regrowth, Brazil. J. Trop. Ecol. 2008, 24, 27–38. [Google Scholar] [CrossRef]
- Yang, L.H.; Bastow, J.L.; Spence, K.O.; Wright, A.N. What can we learn from resource pulses? Ecology 2008, 89, 621–634. [Google Scholar] [CrossRef]
- Rangel-Vasconcelos, L.G.T.; Zarin, D.J.; Oliveira, F.A.; Vasconcelos, S.S.; Carvalho, C.J.R.; Santos, M.M.L.S. Effect of water availability on soil microbial biomass in secondary forest in eastern Amazonia. Rev. Bras. Ciência Solo 2015, 39, 377–384. [Google Scholar] [CrossRef]
- Rangel-Vasconcelos, L.G.T.; Zarin, D.J.; Carvalho, C.J.R.; Santos, M.M.L.S.; Vasconcelos, S.S.; Oliveira, F.A. Carbon and nitrogen of soil microbial biomass and microbial respiration of secondary vegetation in Eastern Amazônia. Rev. Ciência Agrár. 2005, 44, 49–63. [Google Scholar]
- Nahidan, S.; Nourbakhsh, F.; Mosaddeghi, M.R. Variation of soil microbial biomass C and hydrolytic enzyme activities in a rangeland ecosystem: Are slope aspect and position effective? Arch. Agron. Soil Sci. 2015, 61, 797–811. [Google Scholar] [CrossRef]
- Burns, R.G.; DeForest, J.L.; Marxsen, J.; Sinsabaugh, R.L.; Stromberger, M.E.; Wallenstein, M.D.; Weintraub, M.N.; Zoppini, A. Soil enzymes in a changing environment: Current knowledge and future directions. Soil Biol. Biochem. 2013, 58, 216–234. [Google Scholar] [CrossRef]
- Nannipieri, P.; Kandeler, E.; Ruggiero, P. Enzyme activities and microbiological and biochemical processes in soil. In Enzymes in the Environment: Activity, Ecology, and Application; Burns, R.G., Dick, R.P., Eds.; Marcel Dekker: New York, NY, USA, 2002; pp. 1–33. [Google Scholar]
- Pegoraro, R.F.; Silva, I.R.; Novais, R.F.; Barros, N.F.; Fonseca, S. Phenols from lignin, carbohydrates, and amino sugars in litter and cultivated soils with eucalyptus and pasture. Rev. Árvore 2011, 35, 359–370. [Google Scholar] [CrossRef]
- Kaiser, C.; Koranda, M.; Kitzler, B.; Fuchslueger, L.; Schnecker, J.; Schweiger, P.; Rasche, F.; Zechmeister-Boltenstern, S.; Sessitsch, A.; Richter, A. Belowground carbon allocation by trees drives seasonal patterns of extracellular enzyme activities by altering microbial community composition in a beech forest soil. New Phytol. 2010, 187, 843–858. [Google Scholar] [CrossRef]
- Carney, K.M.; Hungate, B.A.; Drake, B.G.; Megonigal, J.P. Altered soil microbial community at elevated CO2 leads to loss of soil carbon. PENAS 2007, 104, 4990–4995. [Google Scholar] [CrossRef] [PubMed]
- Bréchet, L.; Ponton, S.; Roy, J.; Freycon, V.; Couteaux, M.M.; Bonal, D.; Epron, D. Do tree species characteristics influence soil respiration in tropical forests? A test based on 16 tree species planted in monospecific plots. Plant Soil 2009, 319, 235–246. [Google Scholar] [CrossRef]
- Jakelaitis, A.; Silva, A.A.; Santos, J.B.; Vivian, R. Quality of soil surface layer under forest, pasture and cropped areas. Pesq. Agropec. Trop. 2008, 38, 118–127. [Google Scholar]
- Gonçalves, J.L.M.; Mendes, K.C.F.S.; Sasaki, C.M. Nitrogen mineralization in natural and forest plantation ecosystems of São Paulo state. Rev. Bras. Ciência Solo 2001, 25, 601–616. [Google Scholar] [CrossRef]
- Vasconcellos, R.L.F.; Bini, D.; Paula, A.M.; Andrade, J.B.; Bran, E.J.; Cardoso, N. Soil nitrogen, carbon and compaction as limiting factors for the recovery of degraded riparian forests. Rev. Bras. Ciência Solo 2013, 37, 1164–1173. [Google Scholar] [CrossRef]
- Sidari, M.; Ronzello, G.; Vecchio, G.; Muscolo, A. Influence of slope aspects on soil chemical and biochemical properties in a Pinus laricio forest ecosystem of Aspromonte (Southern Italy). Eur. J. Soil Biol. 2008, 44, 364–372. [Google Scholar] [CrossRef]
- Rhoden, A.C.; Silva, L.S.; Camargo, F.A.O.; Britzke, D.; Benedetti, E.L. Nitrogen mineralization anaerobic in paddy soil from Rio Grande do Sul state, Brazil. Cienc. Rural 2006, 36, 1780–1787. [Google Scholar] [CrossRef]
- Cantarella, H. Nitrogênio. In Fertilidade do Solo; Novais, R.F., Alvarez, V.V.H., Barros, N.F., Fontes, R.L.F., Cantarutti, R.B., Neves, J.C.L., Eds.; Sociedade Brasileira de Ciência do Solo: Viçosa, Brazil, 2007; pp. 375–470. [Google Scholar]
- Fisk, M.C.; Schmidt, S.K.; Seastedt, T.R. Topographic patterns of above and belowground production and nitrogen cycling in alpine tundra. Ecology 1998, 79, 2253–2266. [Google Scholar] [CrossRef]
- Dick, G.; Schumacher, M.V. Relations between soil and phytophysiognomies in natural forests. Enflo 2015, 3, 31–39. [Google Scholar]
- Osono, T.; Takeda, H. Accumulation and release of nitrogen and phosphorus in relation to lignin decomposition in leaf litter of 14 tree species. Ecol. Res. 2004, 19, 593–602. [Google Scholar] [CrossRef]
- de Schriver, A.; de Frenne, P.; Staelens, J.; Verstraeten, G.; Muys, B.; Vesterdal, L.; Wuyts, K.; van Nevel, L.; Schelfhout, S.; Neve, S.; et al. Tree species traits cause divergence in soil acidification during four decades of post agricultural forest development, Glob. Change Biol. 2012, 18, 1127–1140. [Google Scholar] [CrossRef]
- Luizão, R.C.C.; Luizão, F.J.; Paiva, R.Q.; Monteiro, T.F.; Sousa, L.S.; Kruijts, B. Variation of carbon and nitrogen cycling processes along a topographic gradient in a central Amazonian Forest, Glob. Change Biol. 2004, 10, 592–600. [Google Scholar] [CrossRef]
- Carneiro, M.A.C.; Siqueira, J.O.; Moreira, F.M.S.; Soares, A.L.L. Soil organic carbon, total nitrogen, microbial biomass and activity in two rehabilitation chronosequences after bauxite mining. Rev. Bras. Ciência Solo 2008, 32, 621–632. [Google Scholar] [CrossRef]
- Conte, E.; Anghinoni, I.; Rheinheimer, D.S. Phosphorus in the microbial biomass and acid phosphatase activity by phosphate application in soil under no-tillage system. Rev. Bras. Ciência Solo 2002, 26, 925–930. [Google Scholar] [CrossRef]
- Dkhar, M.S.; Mishra, R.R. Dehydrogenase and urease activities of maize (Zea mays L.) field soils. Plant Soil 1983, 70, 327–333. [Google Scholar] [CrossRef]







| Plots | Topographic Position | Aspect 1 | Curvature 2 | Slope (°) 3 | Elevation (m) | Exposure Surface 4 | Cosine Aspect 5 * | Sine Aspect 5 ** | TPI | Direct Sunlight (Wh m−2) |
|---|---|---|---|---|---|---|---|---|---|---|
| L1 | Lowland | 191.31 | −0.76 | 0 | 117 | South | −0.98 | −0.20 | 2 | 1,243,044 |
| L2 | Lowland | 288.43 | 0.00 | 0 | 117 | West | 0.32 | −0.95 | 2 | 1,243,044 |
| L3 | Lowland | 225.00 | −0.33 | 0 | 119 | Southwest | −0.71 | −0.71 | 2 | 1,249,496 |
| L4 | Lowland | 235.12 | 0.33 | 0 | 122 | Southwest | −0.57 | −0.82 | 3 | 1,207,846 |
| M1 | Midland | 244.03 | −0.11 | 27 | 126 | Southwest | −0.44 | −0.90 | 3 | 1,192,378 |
| L5 | Lowland | 261.87 | 0.00 | 16 | 123 | West | −0.14 | −0.99 | 3 | 1,211,236 |
| M2 | Midland | 238.82 | −0.76 | 21 | 134 | Southwest | −0.52 | −0.86 | 3 | 1,171,922 |
| M3 | Midland | 218.42 | −0.76 | 31 | 128 | Southwest | −0.78 | −0.62 | 3 | 1,171,922 |
| M4 | Midland | 243.12 | −1.41 | 21 | 128 | Southwest | −0.45 | −0.89 | 1 | 1,197,542 |
| M5 | Midland | 248.59 | 0.87 | 22 | 143 | West | −0.37 | −0.93 | 3 | 1,098,693 |
| M6 | Midland | 228.37 | 1.20 | 27 | 149 | Southwest | −0.66 | −0.75 | 3 | 1,083,516 |
| M7 | Midland | 199.61 | −0.76 | 27 | 142 | South | −0.94 | −0.34 | 3 | 1,053,527 |
| M8 | Midland | 192.05 | 0.22 | 29 | 136 | South | −0.98 | −0.21 | 3 | 1,051,813 |
| M9 | Midland | 182.94 | −0.54 | 32 | 125 | South | −1.00 | −0.05 | 3 | 1,084,181 |
| M10 | Midland | 182.94 | −0.54 | 36 | 125 | South | −1.00 | −0.05 | 3 | 1,080,628 |
| L6 | Lowland | 212.01 | −0.98 | 0 | 118 | South | −0.85 | −0.53 | 1 | 1,230,766 |
| L7 | Lowland | 296.57 | −0.76 | 0 | 118 | Northwest | 0.45 | −0.89 | 1 | 1,230,766 |
| M11 | Midland | 318.27 | 1.52 | 29 | 137 | Northwest | 0.75 | −0.67 | 3 | 1,277,867 |
| M12 | Midland | 287.05 | 0.98 | 28 | 137 | West | 0.29 | −0.96 | 3 | 1,277,073 |
| U1 | Upland | 296.57 | 0.33 | 25 | 149 | Northwest | 0.45 | −0.89 | 3 | 1,267,062 |
| U2 | Upland | 296.27 | 1.52 | 23 | 171 | Northwest | 0.44 | −0.90 | 4 | 1,234,189 |
| U3 | Upland | 266.42 | 3.26 | 15 | 171 | West | −0.06 | −1.00 | 4 | 1,250,918 |
| U4 | Upland | 172.15 | 0.54 | 7 | 173 | South | −0.99 | 0.14 | 4 | 1,177,046 |
| U5 | Upland | 145.12 | 0.54 | 16 | 161 | Southeast | −0.82 | 0.57 | 4 | 1,103,901 |
| U6 | Upland | 141.52 | 0.22 | 24 | 154 | Southeast | −0.78 | 0.62 | 4 | 1,058,222 |
| Component of Variation | Summer | Winter | ||
|---|---|---|---|---|
| Adjusted R2 | p Value | Adjusted R2 | p Value | |
| TVE | 0.505 | 0.0001 | 0.559 | 0.0001 |
| C | 0.489 | 0.0001 | 0.581 | 0.0001 |
| P | 0.396 | 0.0001 | 0.427 | 0.0001 |
| T | 0.391 | 0.0001 | 0.298 | 0.0002 |
| B~C|P∪T | 0.072 | 0.024 | 0.133 | 0.0001 |
| B~P|C∪T | −0.007 | 0.597 | −0.011 | 0.803 |
| B~T|C∪P | 0.026 | 0.082 | −0.013 | 0.868 |
| UV | 0.494 | 0.440 | ||
Disclaimer/Publisher’s Note: The statements, opinions and data contained in all publications are solely those of the individual author(s) and contributor(s) and not of MDPI and/or the editor(s). MDPI and/or the editor(s) disclaim responsibility for any injury to people or property resulting from any ideas, methods, instructions or products referred to in the content. |
© 2023 by the authors. Licensee MDPI, Basel, Switzerland. This article is an open access article distributed under the terms and conditions of the Creative Commons Attribution (CC BY) license (https://creativecommons.org/licenses/by/4.0/).
Share and Cite
Burak, D.L.; Silveira, T.C.d.; Machado, L.V.; Mendonça, E.d.S. Soil Biological Properties along a Topographic Gradient in Brazil’s Atlantic Forest Biome. Diversity 2023, 15, 1097. https://doi.org/10.3390/d15101097
Burak DL, Silveira TCd, Machado LV, Mendonça EdS. Soil Biological Properties along a Topographic Gradient in Brazil’s Atlantic Forest Biome. Diversity. 2023; 15(10):1097. https://doi.org/10.3390/d15101097
Chicago/Turabian StyleBurak, Diego Lang, Thamyres Cardoso da Silveira, Luciana Ventura Machado, and Eduardo de Sá Mendonça. 2023. "Soil Biological Properties along a Topographic Gradient in Brazil’s Atlantic Forest Biome" Diversity 15, no. 10: 1097. https://doi.org/10.3390/d15101097
APA StyleBurak, D. L., Silveira, T. C. d., Machado, L. V., & Mendonça, E. d. S. (2023). Soil Biological Properties along a Topographic Gradient in Brazil’s Atlantic Forest Biome. Diversity, 15(10), 1097. https://doi.org/10.3390/d15101097
