N-(3-chlorophenethyl)-4-nitrobenzamide
Abstract
1. Introduction
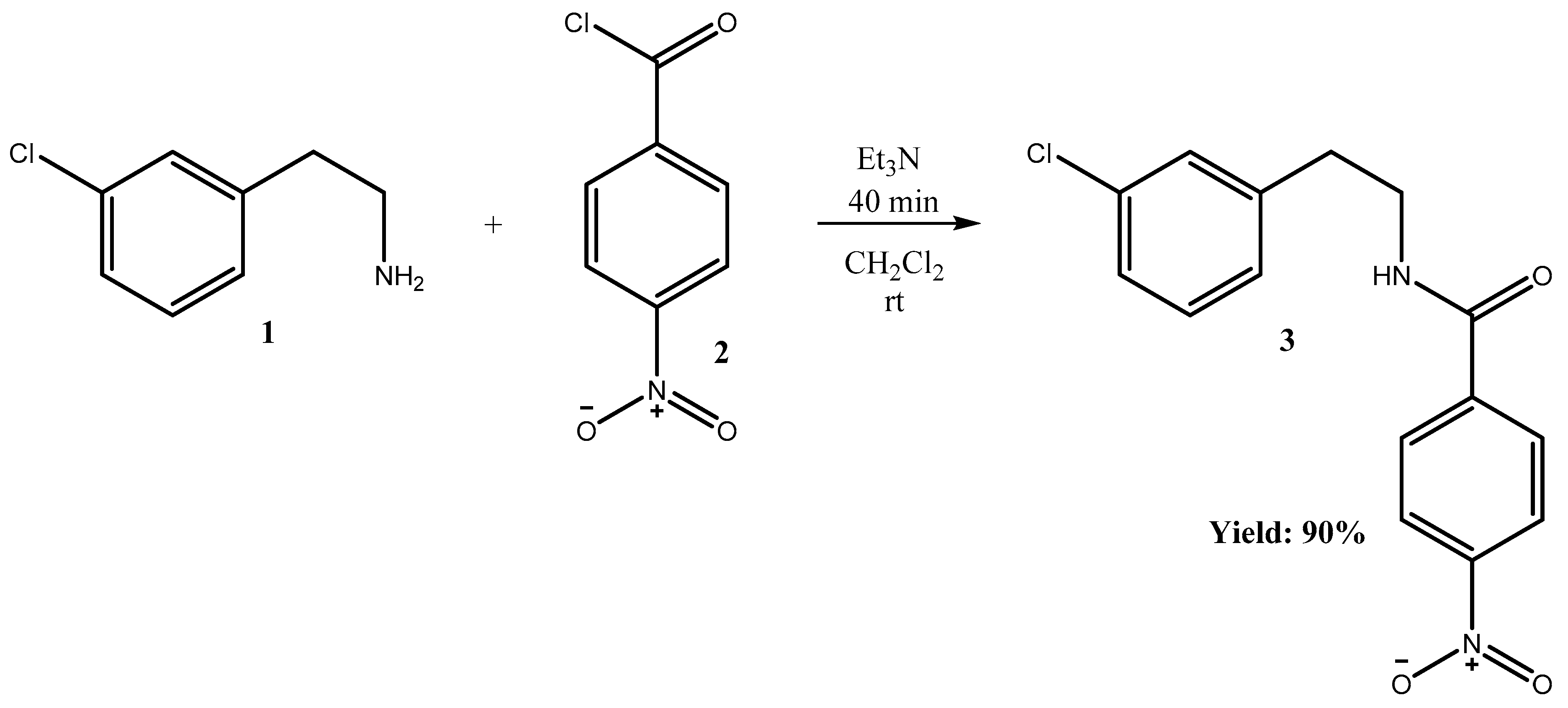
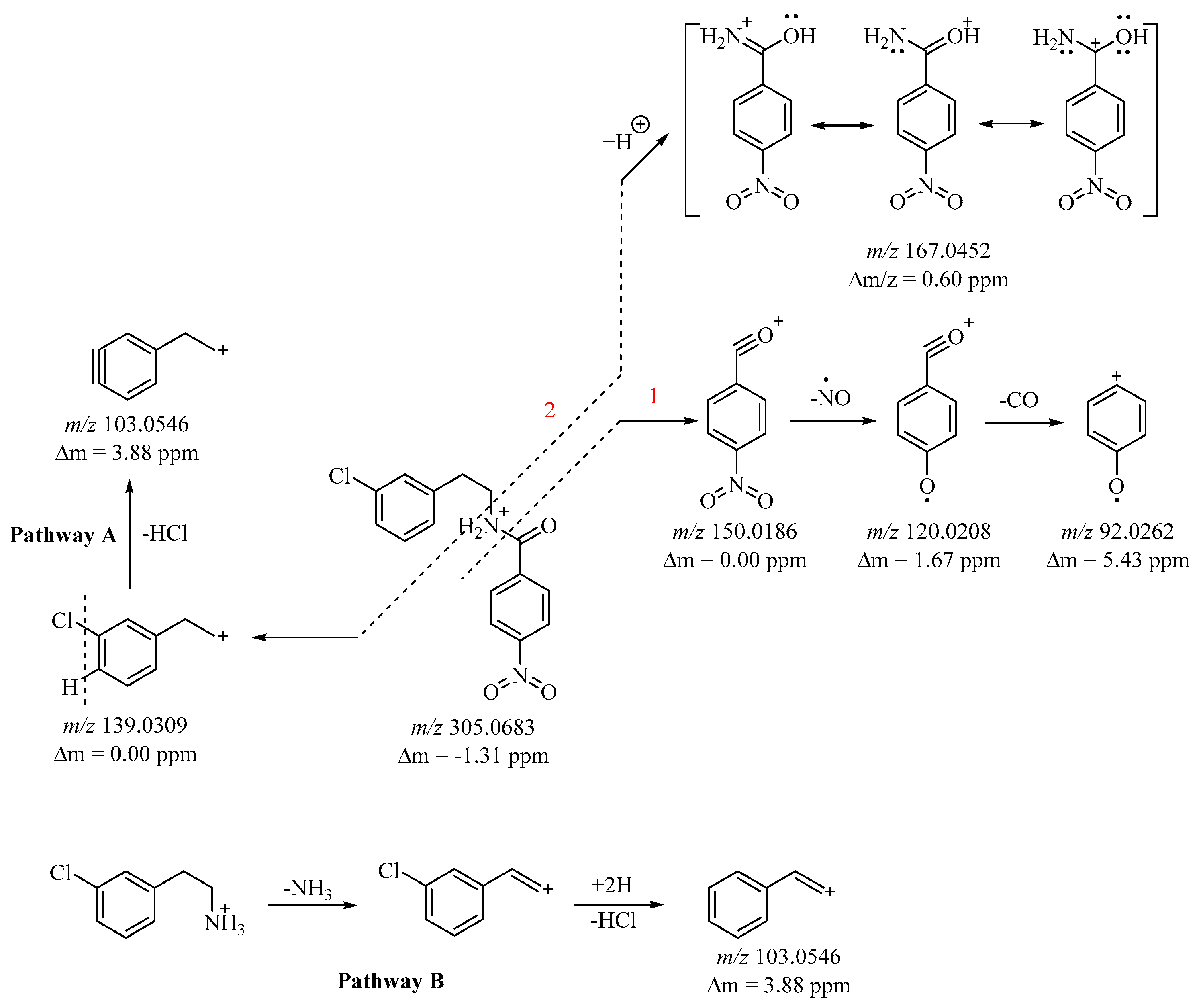
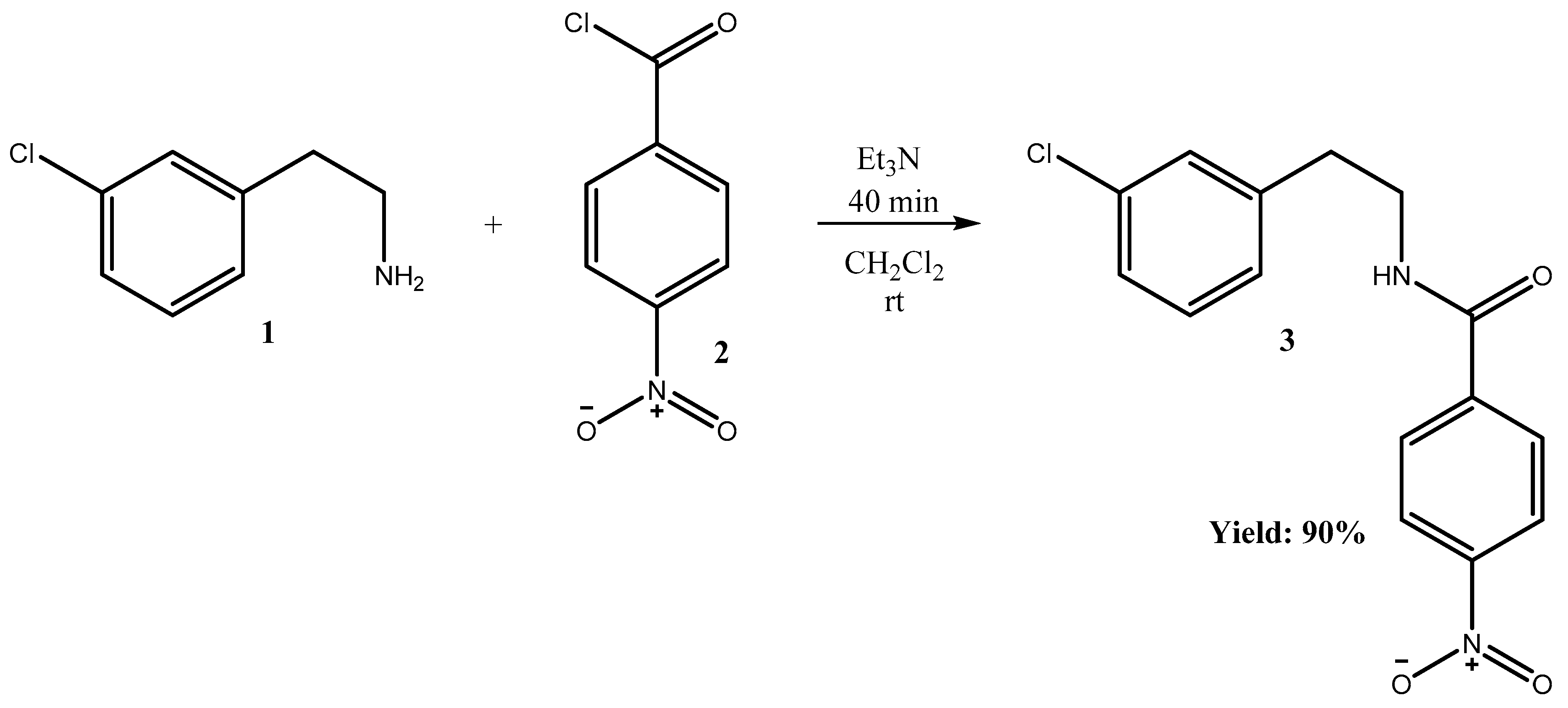
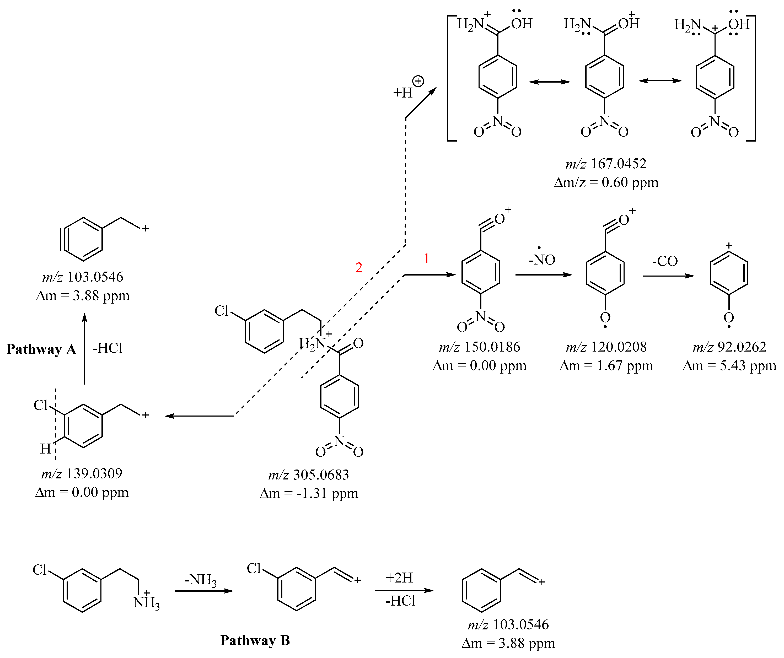
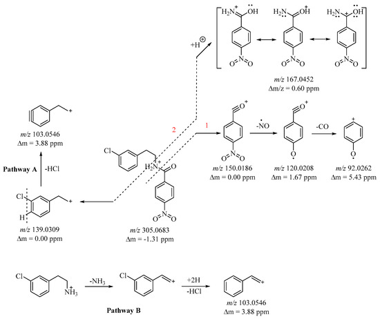
2. Results and Discussion
3. Materials and Methods
Synthesis of N-(2,2-diphenylethyl)-4-nitrobenzamide
Supplementary Materials
Author Contributions
Funding
Data Availability Statement
Conflicts of Interest
References
- Irsfeld, M.; Spadafore, M.; Prüß, B.M. β-Phenylethylamine, a small molecule with a large impact. Webmedcentral 2013, 4, 4409. [Google Scholar] [PubMed]
- Nieto, C.T.; Manchado, A.; Belda, L.; Diez, D.; Garrido, N.M. 2-Phenethylamines in Medicinal Chemistry: A Review. Molecules 2023, 28, 855. [Google Scholar] [CrossRef] [PubMed]
- Mechler, K.; Banaschewski, T.; Hohmann, S.; Häge, A. Evidence-based pharmacological treatment options for ADHD in children and adolescents. Pharmacol Ther. 2022, 230, 107940. [Google Scholar] [CrossRef] [PubMed]
- Fang, W.Y.; Ravindar, L.; Rakesh, K.P.; Manukumar, H.M.; Shantharam, C.S.; Alharbi, N.S.; Qin, H.L. Synthetic approaches and pharmaceutical applications of chloro-containing molecules for drug discovery: A critical review. Eur. J. Med. Chem. 2019, 173, 117–153. [Google Scholar] [CrossRef] [PubMed]
- Chiodi, D.; Ishihara, Y. Magic Chloro: Profound Effects of the Chlorine Atom in Drug Discovery. J. Med. Chem. 2023, 66, 5305–5331. [Google Scholar] [CrossRef] [PubMed]
- Nepali, K.; Lee, H.-Y.; Liou, J.-P. Nitro-group-containig drugs. J. Med. Chem. 2019, 62, 2851–2893. [Google Scholar] [CrossRef] [PubMed]
- Huang, S.-C.; Undem, B.; Korlipara, V. Design and synthesis of substituted N-methylbenzamide analogues derived from SR 48,968 as neurokinin-2 receptor antagonists. Bioorg. Med. Chem. Lett. 2004, 14, 4779–4782. [Google Scholar] [CrossRef] [PubMed]
- Suna, E.; Trapencieris, P. Synthesis of racemic 1,2,3,4-tetrahydroisoquinolines and their resolution. Chem. Heterocycl. Compounds 2000, 36, 287–300. [Google Scholar] [CrossRef]
- Dinda, M.; Samanta, S.; Eringathodi, S.; Ghosh, P. Solar photo-thermochemical synthesis of 4-bromo-2,5-substituted oxazoles from N-arylethylamides. ASC Adv. 2014, 4, 12252–12256. [Google Scholar] [CrossRef]
- Kuo, C.-Y.; Wu, M.-J.; Kuo, Y.-H. Synthesis and antitumor activity of cis-dichloroplatinum (II) complexes of 1-(2-aminophenyl)-1,2,3,4-tetrahydroisoquinolines. Eur. J. Med. Chem. 2006, 41, 940–949. [Google Scholar] [CrossRef] [PubMed]
- Zubenko, A.; Morkovnik, A.; Divaeva, L.; Sochnev, V.; Demidov, O.; Klimenko, A.; Fetisov, L.; Bodryakov, A.; Bodryakova, M.; Borodkin, G. New type of recyclization in 3,4-dihydroisoquinolines in the synthesis of β-(o-indazolylaryl)ethylamines and their 7-azaindazolyl analogues. Mendeleev Commun. 2022, 32, 265–267. [Google Scholar] [CrossRef]



Disclaimer/Publisher’s Note: The statements, opinions and data contained in all publications are solely those of the individual author(s) and contributor(s) and not of MDPI and/or the editor(s). MDPI and/or the editor(s) disclaim responsibility for any injury to people or property resulting from any ideas, methods, instructions or products referred to in the content. |
© 2024 by the authors. Licensee MDPI, Basel, Switzerland. This article is an open access article distributed under the terms and conditions of the Creative Commons Attribution (CC BY) license (https://creativecommons.org/licenses/by/4.0/).
Share and Cite
Dimitrova, D.; Manolov, S.; Bojilov, D.; Ivanov, I.; Nedialkov, P. N-(3-chlorophenethyl)-4-nitrobenzamide. Molbank 2024, 2024, M1802. https://doi.org/10.3390/M1802
Dimitrova D, Manolov S, Bojilov D, Ivanov I, Nedialkov P. N-(3-chlorophenethyl)-4-nitrobenzamide. Molbank. 2024; 2024(2):M1802. https://doi.org/10.3390/M1802
Chicago/Turabian StyleDimitrova, Diyana, Stanimir Manolov, Dimitar Bojilov, Iliyan Ivanov, and Paraskev Nedialkov. 2024. "N-(3-chlorophenethyl)-4-nitrobenzamide" Molbank 2024, no. 2: M1802. https://doi.org/10.3390/M1802
APA StyleDimitrova, D., Manolov, S., Bojilov, D., Ivanov, I., & Nedialkov, P. (2024). N-(3-chlorophenethyl)-4-nitrobenzamide. Molbank, 2024(2), M1802. https://doi.org/10.3390/M1802

