(±)-N-(1,2-Bis(3,4-dimethoxyphenyl)ethyl)-2-(2-fluoro-[1,1′-biphenyl]-4-yl)propanamide
Abstract
1. Introduction
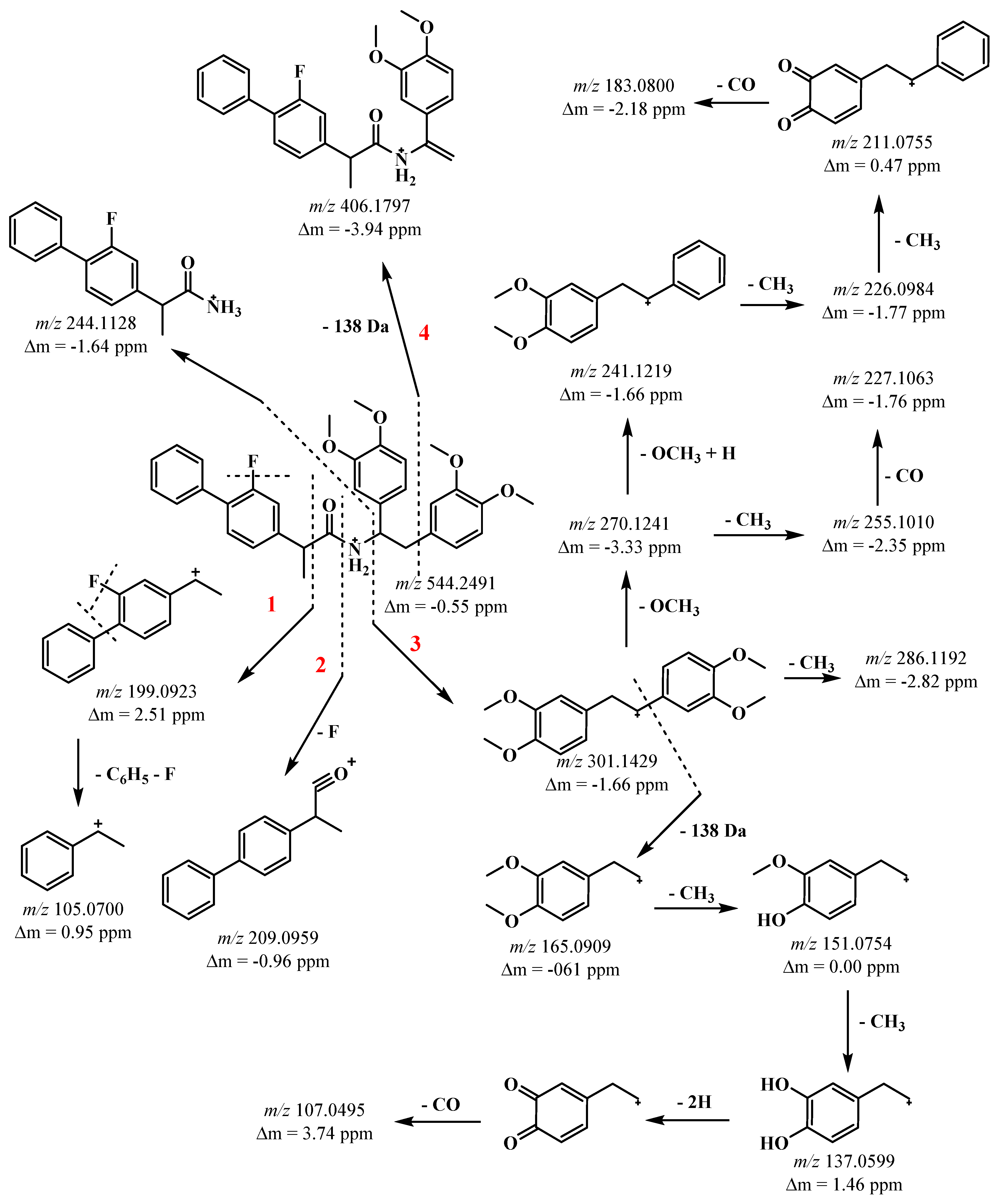
2. Results and Discussion
3. Materials and Methods
3.1. (±)-(2-(2-Fluoro-[1,1′-biphenyl]-4-yl)propanoyl Chloride 2
3.2. Synthesis of (±)-N-(1,2-Bis(3,4-dimethoxyphenyl)ethyl)-2-(2-fluoro-[1,1′-biphenyl]-4-yl)propanamide 3
(±)-N-(1,2-Bis(3,4-dimethoxyphenyl)ethyl)-2-(2-fluoro-[1,1′-biphenyl]-4-yl)propenamide 3
Supplementary Materials
Author Contributions
Funding
Data Availability Statement
Conflicts of Interest
References
- Tellitu, I.; Badía, D.; Domínguez, E.; Carrillo, L. A convenient access to protoberberine derivatives. Heterocycles 1996, 10, 2099–2112. [Google Scholar] [CrossRef]
- Badía, D.; Domíngues, E.; Tellitu, I. Silicon-mediated isoquinoline synthesis: Preparation and stereochemical characterization of 4-hydroxy-3-phenylisoquinolines. Tetrahedron 1992, 48, 4419–4430. [Google Scholar] [CrossRef]
- Gözler, B. Chapter 7. The Alkaloids. In Pavine and Isopavine Alkaloids; Academic Press, Inc.: Cambridge, MA, USA, 1987; Volume 31. [Google Scholar]
- Sun, L.; Li, D.; Zhou, X.; Zhang, D.; Wang, J.; He, Z.; Jiang, R.; Chen, W. General and catalytic enantioselective approach to isopavine alkaloids. J. Org. Chem. 2017, 82, 12899–12907. [Google Scholar] [CrossRef] [PubMed]
- Pu, L.-Y.; Li, Z.; Li, L.; Ma, Y.; Hu, S.; Wu, Z. Concise enantioselective total synthesis of isopavine alkaloids. J. Org. Chem. 2023, 88, 4317–4324. [Google Scholar] [CrossRef] [PubMed]
- Sunderhaus, J.; Dockendorff, C.; Martin, S. Synthesis of diverse heterocyclic scaffolds via tandem additions to imine derivatives and ring-forming reactions. Tetrahedron 2009, 65, 6454–6469. [Google Scholar] [CrossRef] [PubMed]
- Dragoli, D.; Burdett, M.; Ellman, J. Design, synthesis, and utility of a support-bound tert-butanesulfinamide. J. Am. Chem. Soc. 2001, 123, 10127–10128. [Google Scholar] [CrossRef] [PubMed]
- Cheng, L.; Li, T.; Dong, L.; Wang, X.; Huo, Q.; Wang, H.; Jiang, Z.; Shan, X.; Pan, W.; Yang, X. Design and evaluation of bilayer pump tabler of flurbiprofen solid dispersion for zero-order controlled delivery. J. Pharm. Sci. 2018, 107, 1434–1442. [Google Scholar] [CrossRef] [PubMed]
- Oh, D.; Park, Y.-J.; Kang, J.; Yong, C.; Choi, H.-G. Physicochemical characterization and in vivo evaluation of flurbiprofen-loaded solid dispersion without crystalline change. Drug Deliv. 2011, 18, 46–53. [Google Scholar] [CrossRef] [PubMed]
- Mantas, A.; Labbe, V.; Loryan, I.; Mihranyan, A. Amorphisation of free acid ibuprofen and other profens in mixtures with nanocellulose: Dry powder formulation strategy for enhanced solubility. Pharmaceutics 2019, 11, 68. [Google Scholar] [CrossRef] [PubMed]
- Zhang, C.; Yan, K.; Fu, C.; Peng, H.; Hawker, C.; Whittaker, A. Biological Utility of Fluorinated compounds: From Materials Design to Molecular Imaging, Therapeutics and Environmental Remediation. Chem. Rev. 2022, 122, 167–208. [Google Scholar] [CrossRef] [PubMed]
- Caron, S. Where does the fluorine come from? A review on the challenges associated with the synthesis of organofluorine compounds. Org. Process Res. Dev. 2020, 24, 470–480. [Google Scholar] [CrossRef]
- Mlostoń, G.; Shermolovich, Y.; Heimgartner, H. Synthesis of fluorinated and fluoroalkylated heterocycles containing at least one sulfur atom via cycloaddition reactions. Meterials 2022, 15, 7244. [Google Scholar] [CrossRef] [PubMed]




Disclaimer/Publisher’s Note: The statements, opinions and data contained in all publications are solely those of the individual author(s) and contributor(s) and not of MDPI and/or the editor(s). MDPI and/or the editor(s) disclaim responsibility for any injury to people or property resulting from any ideas, methods, instructions or products referred to in the content. |
© 2023 by the authors. Licensee MDPI, Basel, Switzerland. This article is an open access article distributed under the terms and conditions of the Creative Commons Attribution (CC BY) license (https://creativecommons.org/licenses/by/4.0/).
Share and Cite
Manolov, S.; Bojilov, D.; Ivanov, I.; Nedialkov, P. (±)-N-(1,2-Bis(3,4-dimethoxyphenyl)ethyl)-2-(2-fluoro-[1,1′-biphenyl]-4-yl)propanamide. Molbank 2023, 2023, M1679. https://doi.org/10.3390/M1679
Manolov S, Bojilov D, Ivanov I, Nedialkov P. (±)-N-(1,2-Bis(3,4-dimethoxyphenyl)ethyl)-2-(2-fluoro-[1,1′-biphenyl]-4-yl)propanamide. Molbank. 2023; 2023(3):M1679. https://doi.org/10.3390/M1679
Chicago/Turabian StyleManolov, Stanimir, Dimitar Bojilov, Iliyan Ivanov, and Paraskev Nedialkov. 2023. "(±)-N-(1,2-Bis(3,4-dimethoxyphenyl)ethyl)-2-(2-fluoro-[1,1′-biphenyl]-4-yl)propanamide" Molbank 2023, no. 3: M1679. https://doi.org/10.3390/M1679
APA StyleManolov, S., Bojilov, D., Ivanov, I., & Nedialkov, P. (2023). (±)-N-(1,2-Bis(3,4-dimethoxyphenyl)ethyl)-2-(2-fluoro-[1,1′-biphenyl]-4-yl)propanamide. Molbank, 2023(3), M1679. https://doi.org/10.3390/M1679

