Bis(3-aminobenzenesulfonato-N)-diaqua-bis(N,N’-dimethylformamide-O)-copper(II)
Abstract
1. Introduction
2. Results and Discussion
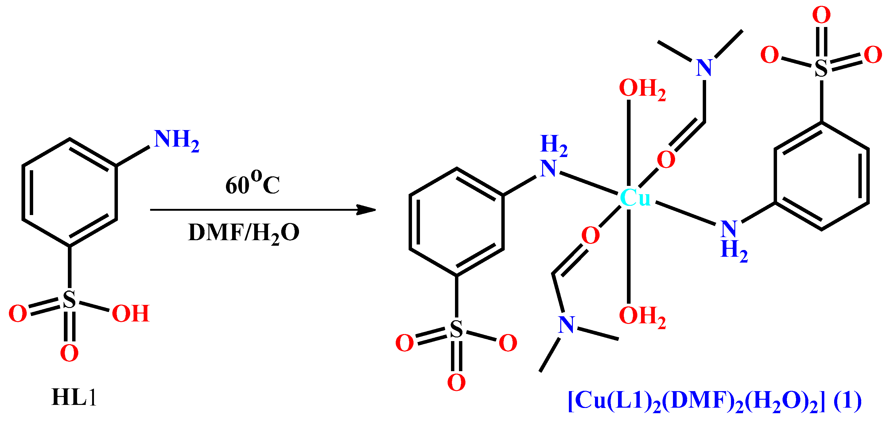
2.1. Syntheses and Characterization
2.2. Crystal Structure Description
2.3. Topological Analyses
2.4. Thermal Property
3. Experimental Section
3.1. Materials and Physical Methods
3.2. Synthesis of [Cu(L1)2(DMF)2(H2O)2] (1)
3.3. Crystal Structure Determination
4. Conclusions
Supplementary Materials
Author Contributions
Funding
Data Availability Statement
Conflicts of Interest
Sample Availability
References
- Purcell, K.F.; Kotz, J.C. An Introduction to Inorganic Chemistry; Saunders College Publishing: Philadelphia, PA, USA, 1980. [Google Scholar]
- von Zelewsky, A. Stereochemistry of Coordination Compounds; Wiley: New York, NY, USA, 1996. [Google Scholar]
- Harvey, J.N.; Heslop, K.M.; Orpen, A.G.; Pringle, P.G. Factors controlling the relative stabilities of cis- and trans-[PtX2L2] isomers: Chatt and Wilkins—50 years on. Chem. Commun. 2003, 278–279. [Google Scholar] [CrossRef] [PubMed]
- Chakraborty, I.; Sengupta, S.; Das, S.; Banerjee, S.; Chakravorty, A. Chemistry of monovalent and bivalent rhenium: Synthesis, structure, isomer specificity and metal redox of azoheterocycle complexes. Dalton Trans. 2003, 134–140. [Google Scholar] [CrossRef]
- Haj, M.A.; Quirós, M.; Salas, J.M. Solution and solid state coexistence of head–head and head–tail isomers in dimeric Pd(ii) and Pt(ii) complexes of the type [M2(a–a)2(µ-L-N3N4)2]2+ with a bridging triazolopyrimidineligand and chelating bidentate diamines. Dalton Trans. 2002, 4740–4745. [Google Scholar] [CrossRef]
- Schaniel, D.; Woike, T.; Delley, B.; Boskovic, C.; Güdel, H.-U. Photogeneration of metastable side-on N2 linkage isomers in [Ru(NH3)5N2]Cl2, [Ru(NH3)5N2]Br2 and [Os(NH3)5N2]Cl2. Phys. Chem. Chem. Phys. 2008, 10, 5531–5538. [Google Scholar] [CrossRef]
- Bowes, K.F.; Cole, J.M.; Husheer, S.L.G.; Raithby, P.R.; Savarese, T.L.; Sparkes, H.A.; Teat, S.J.; Warren, J.E. Photocrystallographic structure determination of a new geometric isomer of [Ru(NH3)4(H2O)(η1-OSO)][MeC6H4SO3]2. Chem. Commun. 2006, 23, 2448–2450. [Google Scholar] [CrossRef] [PubMed]
- Kobayashi, A.; Fukuzawa, Y.; Chang, H.-C.; Kato, M. Vapor-Controlled Linkage Isomerization of a Vapochromic Bis(thiocyanato)platinum(II) Complex: New External Stimuli To Control Isomerization Behavior. Inorg. Chem. 2012, 51, 7508–7519. [Google Scholar] [CrossRef] [PubMed]
- Bernauer, K.; Cabort, A.; Guicher, N.; Stoeckli-Evans, H.; Süss-Fink, G. Carbonate binding to copper(II) in solution: Mixed-ligand complex formation and its application to the isolation and separation of the three isomers of [Cu(bpp)(H2O)][ClO4]2 [bpp = 2,6-bis(pyrrolidin-2-yl)pyridine]. Dalton Trans. 2002, 2069–2073. [Google Scholar] [CrossRef]
- Awaga, K.; Suzuki, Y.; Hachisuka, H.; Takeda, K. Magneto-structural correlation in the Jahn–Teller isomers of Mn12. J. Mater. Chem. 2006, 26, 2516–2521. [Google Scholar] [CrossRef]
- Ring, D.J.; Aragoni, M.C.; Champness, N.R.; Wilson, C. A coordination polymer supramolecular isomer formed from a single building block: An unexpected porphyrin ribbon constructed from zinc(tetra(4-pyridyl)porphyrin). CrystEngComm 2005, 7, 621–623. [Google Scholar] [CrossRef]
- Li, B.; Peng, Y.; Li, B.; Zhang, Y. Supramolecular isomers in the same crystal: A new type of entanglement involving ribbons of rings and 2D (4,4) networks polycatenated in a 3D architecture. Chem. Commun. 2005, 2333–2335. [Google Scholar] [CrossRef]
- Ma, C.-B.; Chen, C.-N.; Liu, Q.-T. Framework variations in Mn(ii)–organic coordination polymers: Solvent templated formation and characterisation of 1D zigzag and straight chain network isomers. CrystEngComm 2005, 7, 650–655. [Google Scholar] [CrossRef]
- Hazra, S.; Koner, R.; Nayak, M.; Sparkes, H.A.; Howard, J.A.K.; Dutta, S.; Mohanta, S. Role of Water and Solvent in the Formation of Three Mononuclear Copper(II) Crystals: A New Type of Hydrate Isomerism in Coordination Chemistry. Eur. J. Inorg. Chem. 2009, 2009, 4887–4894. [Google Scholar] [CrossRef]
- Plonka, A.M.; Banerjee, D.; Parise, J.B. Effect of Ligand Structural Isomerism in Formation of Calcium Coordination Networks. Cryst. Growth Des. 2012, 12, 2460–2467. [Google Scholar] [CrossRef]
- Coyer, M.J.; Croft, M.; Chen, J.; Herber, R.H. Ligand isomerism and stacking in square planar platinum(II) complexes. Inorg. Chem. 1992, 31, 1752–1757. [Google Scholar] [CrossRef]
- Coyer, M.J.; Herber, R.H.; Chen, J.; Croft, M.; Szu, S.P. Ligand Isomerism and Stacking in Square Planar Platinum(II) Complexes. 2. Evidence for Mixed-Isomerism in Pt[dmbp(CSN)2]. Inorg. Chem. 1994, 33, 716–721. [Google Scholar] [CrossRef]
- Tinant, B.; Robert, F.; Garcia, Y. Crystal structure of tris(1,10-phenanthroline)nickel(II) bis(o-aminobenzenesulfonate)—Ethanol (1:1), [Ni(C12H8N2)3][C6H6NO3S]2 · C2H5OH, at 120 K. Z. Kristallogr -New Cryst. Struct. 2010, 225, 546–548. [Google Scholar] [CrossRef]
- Hazra, S.; Karmakar, A.; Guedes da Silva, M.F.C.; Dlhán, L.; Boca, R.; Pombeiro, A.J.L. Dinuclear based polymeric copper(II) complexes derived from a Schiff base ligand: Effect of secondary bridging moieties on geometrical orientations and magnetic properties. Inorg. Chem. Commun. 2014, 46, 113–117. [Google Scholar] [CrossRef]
- Rubin-Preminger, J.M.; Bernstein, J. 3-Aminobenzenesulfonic Acid: A Disappearing Polymorph. Cryst. Growth Des. 2005, 5, 1343–1349. [Google Scholar] [CrossRef]
- Yuan, Y.-P.; Mao, J.-G.; Song, J.-L. Syntheses, characterizations and crystal structures of two new lead(II) amino and carboxylate–sulfonates with a layered and a pillared layered structure. J. Solid State Chem. 2004, 177, 922–927. [Google Scholar] [CrossRef]
- Brodersen, K.; Beck, R. Die Kristallstrukturen der Diquecksilber(I)-Salze von Aminobenzolsulfonsäuren. Z. Anorg. Allg. Chem. 1987, 553, 35–49. [Google Scholar] [CrossRef]
- Du, Z.-X.; Han, M.-L.; Hou, H.-W. Bis(4-aminobenzenesulfonato-κN)diaquabis(dimethylformamide-κO)copper(II). Acta Cryst. 2007, E63, m1354–m1355. [Google Scholar] [CrossRef]
- Gunderman, B.J.; Squattrito, P.J.; Dubey, S.N. Copper and Manganese Sulfanilate Hydrates. Acta Cryst. 1996, C52, 1131–1134. [Google Scholar] [CrossRef]
- Zhang, K.-J.; Meng, X.-G.; Li, X.-L. Bis(4-amino–benzene–sulfonato-κO)bis (propane-1,3-diamine-κ2N,N’)copper(II) dihydrate. Acta Cryst. 2009, E65, m1678–m1679. [Google Scholar]
- Yang, J.; Ma, J.-F.; Zhang, Y.-M.; Li, F.-F.; Liu, J.-F. Syntheses, crystal structures and characterization of divalent transition metal sulfonate complexes with O-phenanthroline. J. Coord. Chem. 2003, 56, 1409–1415. [Google Scholar] [CrossRef]
- Fu, Y.-L.; Sun, M.-N.; Zhi, X.-F.; Ng, S.W. Bis(4-amino–benzene–sulfonato-κN)bis (N,N-dimethyl–formamide-κO)copper(II). Acta Cryst. 2006, E62, m1952–m1953. [Google Scholar]
- Vinciguerra, A.; Plavidal, F.J., Jr.; Prados, R.A.; Zimmerman, R.L., Jr. Preparation, magnetic moments, infra-red and optical spectra of ortho-, meta-, and para- aminobenzenesulfonate copper(II) complexes. J. Inorg. Nucl. Chem. 1969, 31, 1061–1067. [Google Scholar] [CrossRef]
- Blatov, V.A.; Shevchenko, A.P.; Proserpio, D.M. Applied Topological Analysis of Crystal Structures with the Program Package ToposPro. Cryst. Growth Des. 2014, 14, 3576–3586. [Google Scholar] [CrossRef]
- O’Keeffe, M.; Yaghi, O.M. Reticular Chemistry Structure Resource; Arizona State University: Tempe, AZ, USA, 2005; Available online: http://rcsr.anu.edu.au/ (accessed on 1 January 2023).
- Blatov, V.A. Nanocluster analysis of intermetallic structures with the program package TOPOS. Struct. Chem. 2012, 23, 955–963. [Google Scholar] [CrossRef]
- Bruker–Nonius, APEX-II, SAINT-Plus and TWINABS; Bruker–Nonius AXS Inc.: Madison, WI, USA, 2004.
- Sheldrick, G.M. SAINT (version 6.02), SADABS (version 2.03), Bruker AXS lnc.: Madison, WI, USA, 2002.
- SHELXTL (version 6.10), Bruker AXS Inc.: Madison, WI, USA, 2002.
- Sheldrick, G.M. SHELXL-97: Crystal Structure Refinement Program; University of Göttingen: Göttingen, Germany, 1997. [Google Scholar]





Disclaimer/Publisher’s Note: The statements, opinions and data contained in all publications are solely those of the individual author(s) and contributor(s) and not of MDPI and/or the editor(s). MDPI and/or the editor(s) disclaim responsibility for any injury to people or property resulting from any ideas, methods, instructions or products referred to in the content. |
© 2023 by the authors. Licensee MDPI, Basel, Switzerland. This article is an open access article distributed under the terms and conditions of the Creative Commons Attribution (CC BY) license (https://creativecommons.org/licenses/by/4.0/).
Share and Cite
Hazra, S.; Karmakar, A. Bis(3-aminobenzenesulfonato-N)-diaqua-bis(N,N’-dimethylformamide-O)-copper(II). Molbank 2023, 2023, M1658. https://doi.org/10.3390/M1658
Hazra S, Karmakar A. Bis(3-aminobenzenesulfonato-N)-diaqua-bis(N,N’-dimethylformamide-O)-copper(II). Molbank. 2023; 2023(2):M1658. https://doi.org/10.3390/M1658
Chicago/Turabian StyleHazra, Susanta, and Anirban Karmakar. 2023. "Bis(3-aminobenzenesulfonato-N)-diaqua-bis(N,N’-dimethylformamide-O)-copper(II)" Molbank 2023, no. 2: M1658. https://doi.org/10.3390/M1658
APA StyleHazra, S., & Karmakar, A. (2023). Bis(3-aminobenzenesulfonato-N)-diaqua-bis(N,N’-dimethylformamide-O)-copper(II). Molbank, 2023(2), M1658. https://doi.org/10.3390/M1658

