2-((5-(5-Methyl-2-phenyl-1H-imidazol-4-yl)-1,3,4-oxadiazol-2-yl)thio)-1-phenylethan-1-one
Abstract
1. Introduction
2. Results and Discussion
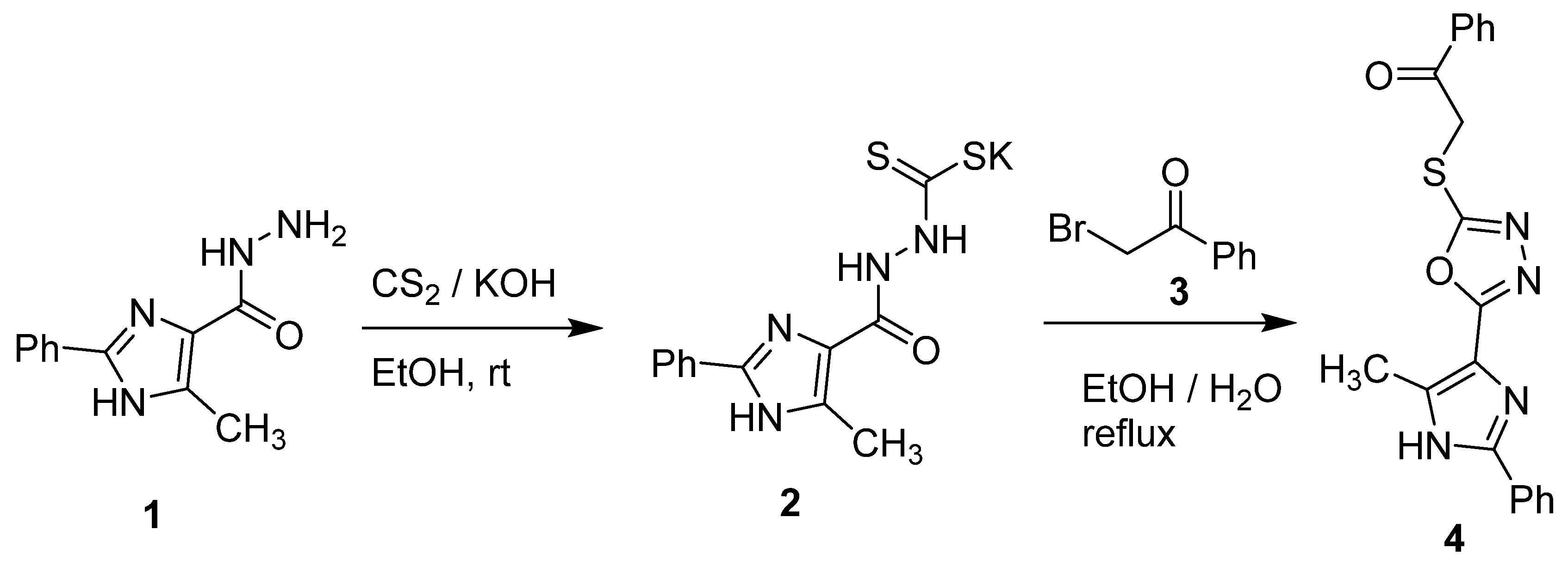
2.1. Synthesis
2.2. NMR Spectroscopy
2.3. Crystal Structure Description
3. Materials and Methods
3.1. General
3.2. Synthesis of 4
3.3. Crystal Structure Determination
4. Conclusions
Supplementary Materials
Author Contributions
Funding
Institutional Review Board Statement
Informed Consent Statement
Data Availability Statement
Acknowledgments
Conflicts of Interest
References
- Popiołek, Ł. Hydrazide–hydrazones as potential antimicrobial agents: Overview of the literature since 2010. Med. Chem. Res. 2017, 26, 287–301. [Google Scholar] [CrossRef] [PubMed]
- Popiołek, Ł. Updated information on antimicrobial activity of hydrazide–hydrazones. Int. J. Mol. Sci. 2021, 22, 9389. [Google Scholar] [CrossRef] [PubMed]
- Han, M.İ.; İmamoğlu, N. Design, synthesis, and anticancer evaluation of novel tetracaine hydrazide-hydrazones. ACS Omega 2023, 8, 9198–9211. [Google Scholar] [CrossRef] [PubMed]
- Siwach, A.; Verma, P.K. Synthesis and therapeutic potential of imidazole containing compounds. BMC Chem. 2021, 15, 12. [Google Scholar] [CrossRef]
- Verma, A.; Joshi, S.; Singh, D. Imidazole: Having Versatile Biological Activities. J. Chem. 2013, 2013, 329412. [Google Scholar] [CrossRef]
- Alghamdi, S.S.; Suliman, R.S.; Almutairi, K.; Kahtani, K.; Aljatli, D. Imidazole as a Promising Medicinal Scaffold: Current Status and Future Direction. Drug Des. Devel. Ther. 2021, 15, 3289–3312. [Google Scholar] [CrossRef]
- Tolomeu, H.V.; Fraga, C.A.M. Imidazole: Synthesis, Functionalization and Physicochemical Properties of a Privileged Structure in Medicinal Chemistry. Molecules 2023, 28, 838. [Google Scholar] [CrossRef]
- Pieczonka, A.M.; Strzelczyk, A.; Sadowska, B.; Mlostoń, G.; Stączek, P. Synthesis and evaluation of antimicrobial activity of hydrazones derived from 3-oxido-1H-imidazole-4-carbohydrazides. Eur. J. Med. Chem. 2013, 64, 389–395. [Google Scholar] [CrossRef]
- Vaidya, A.; Pathak, D.; Shah, K. 1,3,4-oxadiazole and its derivatives: A review on recent progress in anticancer activities. Chem. Biol. Drug Des. 2021, 97, 572–591. [Google Scholar] [CrossRef]
- Bajaj, S.; Asati, V.; Singh, J.; Roy, P.P. 1,3,4-Oxadiazoles: An emerging scaffold to target growth factors, enzymes and kinases as anticancer agents. Eur. J. Med. Chem. 2015, 97, 124–141. [Google Scholar] [CrossRef]
- Bajaj, S.; Roy, P.P.; Singh, J. 1,3,4-Oxadiazoles as Telomerase Inhibitor: Potential Anticancer Agents. Anticancer. Agents Med. Chem. 2018, 17, 1869–1883. [Google Scholar] [CrossRef]
- Abdel-Wahab, B.F.; Mohamed, H.A.; Farahat, A.A.; Kariuki, B.M.; El-Hiti, G.A. Reactivity of 4-bromoacetyl-1,2,3-triazoles towards amines and phenols: Synthesis and antimicrobial activity of novel heterocycles. Heterocycles 2022, 104, 1601–1613. [Google Scholar] [CrossRef]
- Abdel-Wahab, B.F.; Farahat, A.A.; Kariuki, B.M.; El-Hiti, G.A. (E)-1-(5-Methyl-1-(4-nitrophenyl)-1H-1,2,3-triazol-4-yl)ethan-1-one Oxime. Molbank 2023, 2023, M1593. [Google Scholar] [CrossRef]
- Kariuki, B.M.; Abdel-Wahab, B.F.; Farahat, A.A.; El-Hiti, G.A. Synthesis and structure determination of 1-(4-methoxyphenyl)-5-methyl-N’-(2-oxoindolin-3-ylidene)-1H-1,2,3-triazole-4-carbohydrazide. Molbank 2022, 2022, M1374. [Google Scholar] [CrossRef]
- Abdel-Wahab, B.F.; Farahat, A.A.; Awad, G.E.A.; El-Hiti, G.A. Synthesis and antimicrobial activity of some novel substituted 3-(thiophen-2-yl)pyrazole-based heterocycles. Lett. Drug Design Discov. 2017, 14, 1316–1323. [Google Scholar] [CrossRef]
- Orpen, A.G.; Brammer, L.; Allen, F.H.; Kennard, O.; Watson, D.G.; Taylor, R. Supplement. Tables of bond lengths determined by X-ray and neutron diffraction. Part 2. Organometallic compounds and co-ordination complexes of the d- and f-block metals. J. Chem. Soc. Dalton Trans. 1989, 12, S1–S83. [Google Scholar] [CrossRef]
- Chan, P.S. Preparation of Substituted Imidazo[1,5-d]-1,2,4-Triazin-1(2H)-Ones as Antihypertensives. US Patent US4743586A, 10 May 1988. [Google Scholar]
- Bruker. APEX III; Bruker AXS Inc.: Madison, WI, USA, 2019. [Google Scholar]
- Sheldrick, G.M. A short history of SHELX. Acta Cryst. 2008, A64, 112–122. [Google Scholar] [CrossRef]
- Sheldrick, G.M. Crystal structure refinement with SHELXL. Acta Cryst. 2015, C71, 3–8. [Google Scholar]
- Spek, A.L. Structure Validation in Chemical Crystallography. Acta Cryst. 2009, D65, 148–155. [Google Scholar] [CrossRef]
- Macrae, C.F.; Sovago, I.; Cottrell, S.J.; Galek, P.T.A.; McCabe, P.; Pidcock, E.; Platings, M.; Shields, G.P.; Stevens, J.S.; Towler, M.; et al. Mercury 4.0: From visualization to analysis, design and prediction. J. Appl. Crystallogr. 2020, 53, 226–235. [Google Scholar] [CrossRef]
- Farrugia, L.J. WinGX and ORTEP for Windows: An update. J. Appl. Cryst. 2012, 45, 849–854. [Google Scholar] [CrossRef]



Disclaimer/Publisher’s Note: The statements, opinions and data contained in all publications are solely those of the individual author(s) and contributor(s) and not of MDPI and/or the editor(s). MDPI and/or the editor(s) disclaim responsibility for any injury to people or property resulting from any ideas, methods, instructions or products referred to in the content. |
© 2023 by the authors. Licensee MDPI, Basel, Switzerland. This article is an open access article distributed under the terms and conditions of the Creative Commons Attribution (CC BY) license (https://creativecommons.org/licenses/by/4.0/).
Share and Cite
Abdel-Wahab, B.F.; Mabied, A.F.; Fettinger, J.C.; Hassan, A.H.E.; Farahat, A.A. 2-((5-(5-Methyl-2-phenyl-1H-imidazol-4-yl)-1,3,4-oxadiazol-2-yl)thio)-1-phenylethan-1-one. Molbank 2023, 2023, M1666. https://doi.org/10.3390/M1666
Abdel-Wahab BF, Mabied AF, Fettinger JC, Hassan AHE, Farahat AA. 2-((5-(5-Methyl-2-phenyl-1H-imidazol-4-yl)-1,3,4-oxadiazol-2-yl)thio)-1-phenylethan-1-one. Molbank. 2023; 2023(2):M1666. https://doi.org/10.3390/M1666
Chicago/Turabian StyleAbdel-Wahab, Bakr F., Ahmed F. Mabied, James C. Fettinger, Ahmed H. E. Hassan, and Abdelbasset A. Farahat. 2023. "2-((5-(5-Methyl-2-phenyl-1H-imidazol-4-yl)-1,3,4-oxadiazol-2-yl)thio)-1-phenylethan-1-one" Molbank 2023, no. 2: M1666. https://doi.org/10.3390/M1666
APA StyleAbdel-Wahab, B. F., Mabied, A. F., Fettinger, J. C., Hassan, A. H. E., & Farahat, A. A. (2023). 2-((5-(5-Methyl-2-phenyl-1H-imidazol-4-yl)-1,3,4-oxadiazol-2-yl)thio)-1-phenylethan-1-one. Molbank, 2023(2), M1666. https://doi.org/10.3390/M1666

