2-Nitro-1-vinyl-1H-imidazole
Abstract
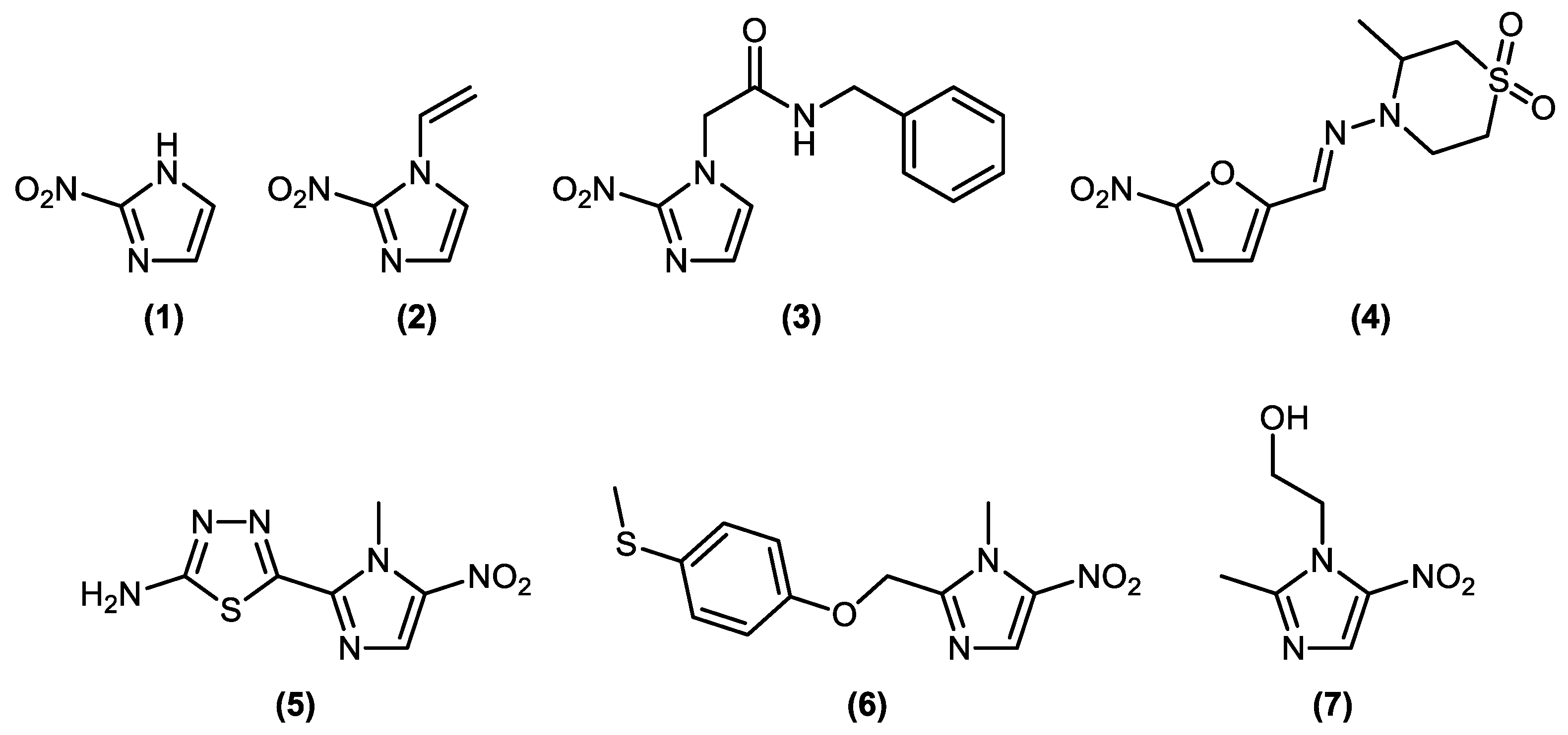
:1. Introduction
2. Results and Discussion
2.1. Chemistry
2.2. Biological Assays
3. Materials and Methods
3.1. Chemistry
3.2. Biological Assays
3.2.1. Evaluation of Trypanocidal Activity against T. cruzi Amastigotes
3.2.2. Evaluation of Cytotoxicity against LLC-MK2 Cells
4. Conclusions
Supplementary Materials
Author Contributions
Funding
Institutional Review Board Statement
Informed Consent Statement
Data Availability Statement
Acknowledgments
Conflicts of Interest
References
- Cosar, C.; Julou, L. The activity of 1-(2-hydroxyethyl)-2-methyl-5-nitroimidazole (R. P. 8823) against experimental Trichomonas vaginalis infections. Ann. De L’institut Pasteur. 1959, 96, 238–241. [Google Scholar]
- Muller, C.E. ChemInform Abstract: Basic Chemistry of 2-Nitroimidazoles (Azomycin Derivatives). ChemInform 2000, 31, 47–59. [Google Scholar] [CrossRef]
- Bottmingen, W.H.; Binningen, H.S. Filaricidal 2-nitroimidazoles. U.S. Patent 4,456,610, 26 June 1984. [Google Scholar]
- Sgambatti De Andrade, S.; De Oliveira, R.M.; Almeida E Silva, S.; De Andrade, S.S.; Medicine, T.; Lucia, A.; Zicker, F.; Mauricio De Oliveira, R.; Almeida E Silva, S.; Luquetti, A.; et al. Randomised trial of efficacy of benznidazole in treatment of early Trypanosoma cruzi infec-tion. Lancet 1996, 348, 1407–1413. Available online: https://pubmed.ncbi.nlm.nih.gov/8937280/ (accessed on 23 December 2021). [CrossRef]
- Mathew, N.; Kalyanasundaram, M. Antifilarial agents. Expert Opin. Ther. Pat. 2007, 17, 767–789. [Google Scholar] [CrossRef]
- Kratz, J.M.; Bournissen, F.G.; Forsyth, C.J.; Sosa-Estani, S. Clinical and pharmacological profile of benznidazole for treatment of Chagas disease. Expert Rev. Clin. Pharmacol. 2018, 11, 943–957. [Google Scholar] [CrossRef] [PubMed] [Green Version]
- Pérez, J.A.; Molina, I. Chagas disease. Lancet 2018, 391, 82–94. [Google Scholar] [CrossRef]
- Beltran-Hortelano, I.; Alcolea, V.; Font, M.; Pérez-Silanes, S. The role of imidazole and benzimidazole heterocycles in Cha-gas disease: A review. Eur. J. Med. Chem. 2020, 206, 112692. [Google Scholar] [CrossRef] [PubMed]
- Leitsch, D.; Schlosser, S.; Burgess, A.; Duchêne, M. Nitroimidazole drugs vary in their mode of action in the human para-site Giardia lamblia. Int. J. Parasitol. Drugs Drug Resist. 2012, 2, 166–170. [Google Scholar] [CrossRef] [PubMed] [Green Version]
- Patterson, S.; Wyllie, S. Nitro drugs for the treatment of trypanosomatid diseases: Past, present, and future prospects. Trends Parasitol. 2014, 30, 289–298. [Google Scholar] [CrossRef] [PubMed] [Green Version]
- Viegas-Junior, C.; Barreiro, E.J.; Manssour, C.A.F. Molecular Hybridization: A Useful Tool in the Design of New Drug Prototypes. Curr. Med. Chem. 2007, 14, 1829–1852. [Google Scholar] [CrossRef] [PubMed]
- Jagtap, S. Heck reaction—State of the art. Catalysts 2017, 7, 267. [Google Scholar] [CrossRef]
- Ang, C.W.; Jarrad, A.M.; Cooper, M.A.; Blaskovich, M.A. Nitroimidazoles: Molecular fireworks that combat a broad spec-trum of infectious diseases. J. Med. Chem. 2017, 60, 7636–7657. Available online: https://pubmed.ncbi.nlm.nih.gov/28463485/ (accessed on 23 December 2021). [CrossRef] [PubMed]
- Buckner, F.S.; Verlinde, C.L.; La Flamme, A.C.; Van Voorhis, W.C. Efficient technique for screening drugs for activity against Trypanosoma cruzi using parasites expressing beta-galactosidase. Antimicrob. Agents Chemother. 1996, 40, 2592–2597. [Google Scholar] [CrossRef] [PubMed] [Green Version]
- Seeber, F.; Boothroyd, J.C. Escherichia coli β-galactosidase as an in vitro and in vivo reporter enzyme and stable transfection marker in the intracellular protozoan parasite Toxoplasma gondii. Gene 1996, 169, 39–45. [Google Scholar] [CrossRef]



| Compound | Activity against Amastigotes of T. cruzi (Tulahuen C2C4 lacZ) IC50 (µM) | Cytotoxicity in LLC-MK2 IC50 (µM) |
|---|---|---|
| Azomycin 1 | 5.74 ± 1.89 | >500 |
| 2-nitro-1-vinyl-1H-imidazole 2 | 4.76 ± 0.05 | >500 |
| Benznidazole 3 1 | 1.49 ± 0.75 | >500 |
Publisher’s Note: MDPI stays neutral with regard to jurisdictional claims in published maps and institutional affiliations. |
© 2022 by the authors. Licensee MDPI, Basel, Switzerland. This article is an open access article distributed under the terms and conditions of the Creative Commons Attribution (CC BY) license (https://creativecommons.org/licenses/by/4.0/).
Share and Cite
Velez, A.S.M.M.; de Souza, G.A.; Pitasse-Santos, P.; de Alcântara Pinto, D.C.; Decote-Ricardo, D.; de Lima, M.E.F. 2-Nitro-1-vinyl-1H-imidazole. Molbank 2022, 2022, M1326. https://doi.org/10.3390/M1326
Velez ASMM, de Souza GA, Pitasse-Santos P, de Alcântara Pinto DC, Decote-Ricardo D, de Lima MEF. 2-Nitro-1-vinyl-1H-imidazole. Molbank. 2022; 2022(1):M1326. https://doi.org/10.3390/M1326
Chicago/Turabian StyleVelez, Afonso Santine M. M., Gabriela Alves de Souza, Paulo Pitasse-Santos, Douglas Chaves de Alcântara Pinto, Debora Decote-Ricardo, and Marco Edilson Freire de Lima. 2022. "2-Nitro-1-vinyl-1H-imidazole" Molbank 2022, no. 1: M1326. https://doi.org/10.3390/M1326
APA StyleVelez, A. S. M. M., de Souza, G. A., Pitasse-Santos, P., de Alcântara Pinto, D. C., Decote-Ricardo, D., & de Lima, M. E. F. (2022). 2-Nitro-1-vinyl-1H-imidazole. Molbank, 2022(1), M1326. https://doi.org/10.3390/M1326

