(E)-1-(3-Benzoyl-4-phenyl-1H-pyrrol-1-yl)-3-phenylprop-2-en-1-one
Abstract
:1. Introduction
2. Results and Discussion
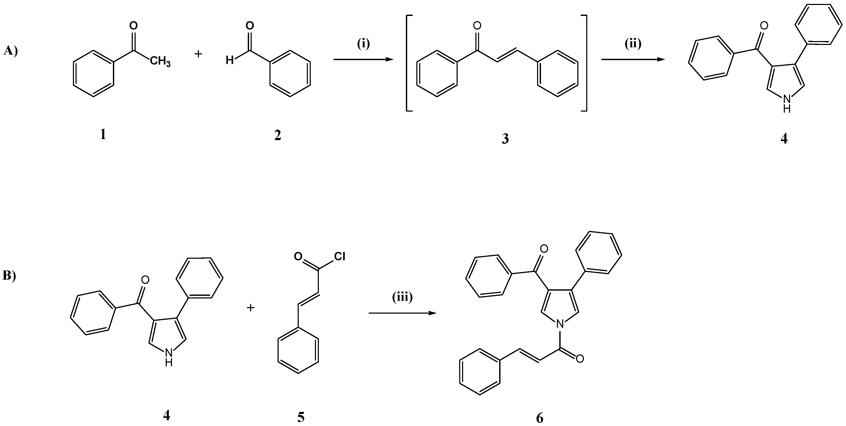
2.1. Chemistry
2.2. Physicochemical Studies
2.3. Biological Evaluation
3. Materials and Methods
3.1. General Information
3.2. Chemistry General Procedure
3.2.1. One-Pot Synthesis of Phenyl(4-phenyl-1H-pyrrol-3-yl)methanone (4)
3.2.2. Synthesis of (E)-1-(3-Benzoyl-4-phenyl-1H-pyrrol-1-yl)-3-phenylprop-2-en-1-one (6)
3.3. Biological In Vitro Assays
3.3.1. Inhibition of Linoleic Acid Lipid Peroxidation
3.3.2. Inhibition of Soybean Lipoxygenase In Vitro
4. Conclusions
Supplementary Materials
Author Contributions
Funding
Institutional Review Board Statement
Informed Consent Statement
Data Availability Statement
Acknowledgments
Conflicts of Interest
References
- McDonald, D.R.; Levy, O. 3-Innate Immunity. In Clinical Immunology, 5th ed.; Rich, R.R., Fleisher, T.A., Shearer, W.T., Schroeder, H.W., Frew, A.J., Weyand, C.M., Eds.; Elsevier: London, UK, 2019; pp. 39–53.e1. ISBN 978-0-7020-6896-6. [Google Scholar]
- Fullerton, J.N.; Gilroy, D.W. Resolution of Inflammation: A New Therapeutic Frontier. Nat. Rev. Drug Discov. 2016, 15, 551–567. [Google Scholar] [CrossRef]
- Harizi, H.; Corcuff, J.-B.; Gualde, N. Arachidonic-Acid-Derived Eicosanoids: Roles in Biology and Immunopathology. Trends Mol. Med. 2008, 14, 461–469. [Google Scholar] [CrossRef]
- P, J.J.; Manju, S.L.; Ethiraj, K.R.; Elias, G. Safer Anti-Inflammatory Therapy through Dual COX-2/5-LOX Inhibitors: A Structure-Based Approach. Eur. J. Pharm. Sci. 2018, 121, 356–381. [Google Scholar] [CrossRef]
- Marsico, F.; Paolillo, S.; Filardi, P.P. NSAIDs and Cardiovascular Risk. J. Cardiovasc. Med. 2017, 18, e40. [Google Scholar] [CrossRef]
- Reddy, A.S.; Zhang, S. Polypharmacology: Drug Discovery for the Future. Expert Rev. Clin. Pharmacol. 2013, 6, 41–47. [Google Scholar] [CrossRef] [Green Version]
- Zimmermann, G.R.; Lehár, J.; Keith, C.T. Multi-Target Therapeutics: When the Whole Is Greater than the Sum of the Parts. Drug Discov. Today 2007, 12, 34–42. [Google Scholar] [CrossRef]
- Pontiki, E.; Peperidou, A.; Fotopoulos, I.; Hadjipavlou-Litina, D. Cinnamate Hybrids: A Unique Family of Compounds with Multiple Biological Activities. Curr. Pharm. Biotechnol. 2018, 19, 1019–1048. [Google Scholar] [CrossRef]
- Guzman, J.D. Natural Cinnamic Acids, Synthetic Derivatives and Hybrids with Antimicrobial Activity. Molecules 2014, 19, 19292–19349. [Google Scholar] [CrossRef]
- Gholap, S.S. Pyrrole: An Emerging Scaffold for Construction of Valuable Therapeutic Agents. Eur. J. Med. Chem. 2016, 110, 13–31. [Google Scholar] [CrossRef]
- Mallikarjuna Reddy, G.; Camilo, A.; Raul Garcia, J. Pyrrole-2,5-Dione Analogs as a Promising Antioxidant Agents: Microwave-Assisted Synthesis, Bio-Evaluation, SAR Analysis and DFT Studies/Interpretation. Bioorg. Chem. 2021, 106, 104465. [Google Scholar] [CrossRef]
- Sarg, M.T.; Koraa, M.M.; Bayoumi, A.H.; Gilil, S.M.A.E. Synthesis of Pyrroles and Condensed Pyrroles as Anti-Inflammatory Agents with Multiple Activities and Their Molecular Docking Study. Open J. Med. Chem. 2015, 5, 49. [Google Scholar] [CrossRef] [Green Version]
- Xu, X.-T.; Mou, X.-Q.; Xi, Q.-M.; Liu, W.-T.; Liu, W.-F.; Sheng, Z.-J.; Zheng, X.; Zhang, K.; Du, Z.-Y.; Zhao, S.-Q.; et al. Anti-Inflammatory Activity Effect of 2-Substituted-1,4,5,6-Tetrahydrocyclopenta [b] Pyrrole on TPA-Induced Skin Inflammation in Mice. Bioorg. Med. Chem. Lett. 2016, 26, 5334–5339. [Google Scholar] [CrossRef]
- Konstantinidou, M.; Gkermani, A.; Hadjipavlou-Litina, D. Synthesis and Pharmacochemistry of New Pleiotropic Pyrrolyl Derivatives. Molecules 2015, 20, 16354–16374. [Google Scholar] [CrossRef]
- Dannhardt, G.; Kiefer, W.; Krämer, G.; Maehrlein, S.; Nowe, U.; Fiebich, B. The Pyrrole Moiety as a Template for COX-1/COX-2 Inhibitors. Eur. J. Med. Chem. 2000, 35, 499–510. [Google Scholar] [CrossRef]
- Polo, E.; Ibarra-Arellano, N.; Prent-Peñaloza, L.; Morales-Bayuelo, A.; Henao, J.; Galdámez, A.; Gutiérrez, M. Ultrasound-Assisted Synthesis of Novel Chalcone, Heterochalcone and Bis-Chalcone Derivatives and the Evaluation of Their Antioxidant Properties and as Acetylcholinesterase Inhibitors. Bioorg. Chem. 2019, 90, 103034. [Google Scholar] [CrossRef]
- Kumar, C.S.C.; Loh, W.-S.; Ooi, C.W.; Quah, C.K.; Fun, H.-K. Structural Correlation of Some Heterocyclic Chalcone Analogues and Evaluation of Their Antioxidant Potential. Molecules 2013, 18, 11996–12011. [Google Scholar] [CrossRef] [Green Version]
- Rashid, H.U.; Xu, Y.; Ahmad, N.; Muhammad, Y.; Wang, L. Promising Anti-Inflammatory Effects of Chalcones via Inhibition of Cyclooxygenase, Prostaglandin E2, Inducible NO Synthase and Nuclear Factor Κb Activities. Bioorg. Chem. 2019, 87, 335–365. [Google Scholar] [CrossRef]
- Rücker, H.; Al-Rifai, N.; Rascle, A.; Gottfried, E.; Brodziak-Jarosz, L.; Gerhäuser, C.; Dick, T.P.; Amslinger, S. Enhancing the Anti-Inflammatory Activity of Chalcones by Tuning the Michael Acceptor Site. Org. Biomol. Chem. 2015, 13, 3040–3047. [Google Scholar] [CrossRef] [Green Version]
- Rawdin, B.J.; Mellon, S.H.; Dhabhar, F.S.; Epel, E.S.; Puterman, E.; Su, Y.; Burke, H.M.; Reus, V.I.; Rosser, R.; Hamilton, S.P.; et al. Dysregulated Relationship of Inflammation and Oxidative Stress in Major Depression. Brain. Behav. Immun. 2013, 31, 143–152. [Google Scholar] [CrossRef] [Green Version]
- Zhu, B.; Shang, B.; Li, Y.; Zhen, Y. Inhibition of Histone Deacetylases by Trans-Cinnamic Acid and Its Antitumor Effect against Colon Cancer Xenografts in Athymic Mice. Mol. Med. Rep. 2016, 13, 4159–4166. [Google Scholar] [CrossRef] [Green Version]
- Anlar, H.G.; Bacanli, M.; Çal, T.; Aydin, S.; Ari, N.; Bucurgat, Ü.Ü.; Başaran, A.A.; Başaran, A.N. Effects of Cinnamic Acid on Complications of Diabetes. Turk. J. Med. Sci. 2018, 48, 168–177. [Google Scholar] [CrossRef]
- Sharma, R.; Kumar, K.; Chouhan, M.; Grover, V.; Nair, V.A. Lithium Hydroxide Mediated Synthesis of 3,4-Disubstituted Pyrroles. RSC Adv. 2013, 3, 14521–14527. [Google Scholar] [CrossRef]
- D’Silva, C.; Iqbal, R. A New Method to N-Arylmethylenepyrroles from N-Acylpyrroles. Synthesis 1996, 1996, 457–458. [Google Scholar] [CrossRef]
- Daina, A.; Michielin, O.; Zoete, V. SwissADME: A Free Web Tool to Evaluate Pharmacokinetics, Drug-Likeness and Medicinal Chemistry Friendliness of Small Molecules. Sci. Rep. 2017, 7, 42717. [Google Scholar] [CrossRef] [Green Version]
- Lipinski, C.A.; Lombardo, F.; Dominy, B.W.; Feeney, P.J. Experimental and Computational Approaches to Estimate Solubility and Permeability in Drug Discovery and Development Settings. Adv. Drug Deliv. Rev. 1997, 23, 3–25. [Google Scholar] [CrossRef]
- Clark, D.E. Rapid Calculation of Polar Molecular Surface Area and Its Application to the Prediction of Transport Phenomena. 2. Prediction of Blood-Brain Barrier Penetration. J. Pharm. Sci. 1999, 88, 815–821. [Google Scholar] [CrossRef]
- Fernandes, J.; Gattass, C.R. Topological Polar Surface Area Defines Substrate Transport by Multidrug Resistance Associated Protein 1 (MRP1/ABCC1). J. Med. Chem. 2009, 52, 1214–1218. [Google Scholar] [CrossRef]
- Peperidou, A.; Kapoukranidou, D.; Kontogiorgis, C.; Hadjipavlou-Litina, D. Multitarget Molecular Hybrids of Cinnamic Acids. Molecules 2014, 19, 20197–20226. [Google Scholar] [CrossRef]
- Liégeois, C.; Lermusieau, G.; Collin, S. Measuring Antioxidant Efficiency of Wort, Malt, and Hops against the 2,2′-Azobis (2-Amidinopropane) Dihydrochloride-Induced Oxidation of an Aqueous Dispersion of Linoleic Acid. J. Agric. Food Chem. 2000, 48, 1129–1134. [Google Scholar] [CrossRef]
- Peperidou, A.; Pontiki, E.; Hadjipavlou-Litina, D.; Voulgari, E.; Avgoustakis, K. Multifunctional Cinnamic Acid Derivatives. Molecules 2017, 22, 1247. [Google Scholar] [CrossRef]


| miLogP a | MW b | No. of O and N c | No. of OH and NH d | TPSA e | No. of Rotatable Bonds | No. of Atoms f | No. of Violations g | Volume h | logBB i [27] |
|---|---|---|---|---|---|---|---|---|---|
| 6.26 | 377.44 | 3 | 0 | 39.08 | 5 | 29 | 1 | 349.02 | −0.29 |
| A/A | Compound | ILP% at 100 μM | IC50 μM or LOX Inh.% at 100 μM |
|---|---|---|---|
| I [29] | ![]() | 78 | 56 μM |
| 4 | ![]() | 44 | 100 μM |
| 6 | ![]() | 58 | 38 μM |
| Nordihydroguaiaretic acid (NDGA) | nt | 0.45 μM | |
| Trolox | 93 | nt |
Publisher’s Note: MDPI stays neutral with regard to jurisdictional claims in published maps and institutional affiliations. |
© 2022 by the authors. Licensee MDPI, Basel, Switzerland. This article is an open access article distributed under the terms and conditions of the Creative Commons Attribution (CC BY) license (https://creativecommons.org/licenses/by/4.0/).
Share and Cite
Noti, V.; Hadjipavlou-Litina, D. (E)-1-(3-Benzoyl-4-phenyl-1H-pyrrol-1-yl)-3-phenylprop-2-en-1-one. Molbank 2022, 2022, M1314. https://doi.org/10.3390/M1314
Noti V, Hadjipavlou-Litina D. (E)-1-(3-Benzoyl-4-phenyl-1H-pyrrol-1-yl)-3-phenylprop-2-en-1-one. Molbank. 2022; 2022(1):M1314. https://doi.org/10.3390/M1314
Chicago/Turabian StyleNoti, Viola, and Dimitra Hadjipavlou-Litina. 2022. "(E)-1-(3-Benzoyl-4-phenyl-1H-pyrrol-1-yl)-3-phenylprop-2-en-1-one" Molbank 2022, no. 1: M1314. https://doi.org/10.3390/M1314
APA StyleNoti, V., & Hadjipavlou-Litina, D. (2022). (E)-1-(3-Benzoyl-4-phenyl-1H-pyrrol-1-yl)-3-phenylprop-2-en-1-one. Molbank, 2022(1), M1314. https://doi.org/10.3390/M1314




