3,5-Dithiatricyclo[5.2.1.02,6]decan-4-one
Abstract
1. Introduction
2. Results
3. Experimental
Author Contributions
Conflicts of Interest
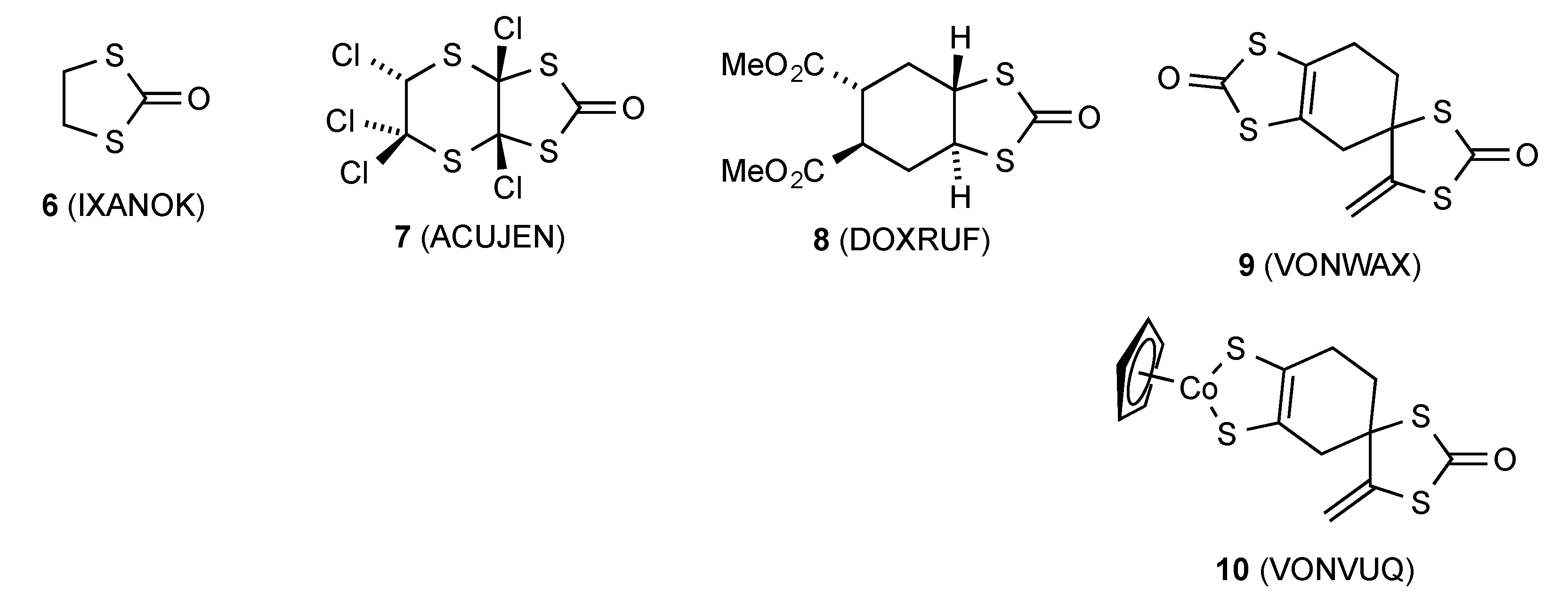
References
- Russell, G.A.; Law, W.C.; Zaleta, M. Aliphatic semidiones. 44. Spin probes derived from dithiols. J. Am. Chem. Soc. 1985, 107, 4175–4182. [Google Scholar] [CrossRef]
- Ghosh, T. Reaction of trithiolanes with dihalocarbenes under phase-transfer catalysis. A convenient synthesis of trithiocarbonates and thionocarbonates. J. Org. Chem. 1990, 55, 1146–1147. [Google Scholar] [CrossRef]
- Bartlett, P.D.; Ghosh, T. Sulfuration of the norbornene double bond. J. Org. Chem. 1987, 52, 4937–4943. [Google Scholar] [CrossRef]
- Gareau, Y.; Beauchemin, A. Free Radical Reaction of Diisopropyl Xanthogen Disulfide with Unsaturated Systems. Heterocycles 1998, 48, 2003–2017. [Google Scholar] [CrossRef]
- Aitken, R.A.; Massil, T.; Raut, S.V. Cycloaddition of Bun3P·CS2: direct one-pot conversion of strained double bonds to 2-alkylidene-1,3-dithiolanes. J. Chem. Soc. Chem. Commun. 1994, 2603–2604. [Google Scholar] [CrossRef]
- Aitken, R.A.; Carcas, K.; Hill, L.; Massil, T.; Raut, S.V. Cycloaddition of Bun3P·CS2: Direct one-pot conversion of strained double bonds to 2-alkylidene-1,3-dithiolanes. Tetrahedron 1997, 53, 2261–2270. [Google Scholar] [CrossRef]
- Aitken, R.; Hill, L.; Massil, T.; Hursthouse, M.B.; Malik, K. Cycloaddition of Bu3P·CS2: Formation of extended bis- and tris-1,3-dithiolanes and dithiolane-containing polymers. Tetrahedron 1997, 53, 10441–10450. [Google Scholar] [CrossRef]
- Aitken, R.A.; Hill, L.; Lightfoot, P. Direct one pot construction of norbornane-fused dihydrotetrathiafulvalenes. Tetrahedron Lett. 1997, 38, 7927–7930. [Google Scholar] [CrossRef]
- Aitken, R.A.; Aitken, K.M.; Lambert, S.; Playfair, R.; Wilson, N.J. Synthesis of Norbornane-Fused 1,3-Dithiolanes and Evaluation of 1,3-Dithiolane-Containing Polymers as Absorbants for Mercury(II) Salts. Heterocycles 2012, 84, 1113–1122. [Google Scholar] [CrossRef]
- Reinheimer, E.; Bacsa, J.; Dunbar, K.R. 1,3-Dithiolan-2-one. Acta Crystallogr. Sect. E 2004, 60, o1206–o1207. [Google Scholar] [CrossRef]
- Dautel, O.J.; Fourmigué, M. Polyhalogenated BEDT-TTF through chlorination (SO2Cl2, Cl2) and fluorination (®Selectfluor, XeF2) of 5,6-dihydro[1,3]dithiolo[4,5-b][1,4]dithiin-2-one. J. Chem. Soc. Perkin Trans. 1 2001, 3399–3402. [Google Scholar] [CrossRef]
- Dotsenko, I.A. Convenient synthesis of 1,3-dithiolane-2-thiones: Cyclic trithiocarbonates as conformational locks. Arkivoc 2014, 16–41. [Google Scholar] [CrossRef]
- Masui, T.; Nomura, M.; Kobayashi, Y.; Terada, K.; Fujita-Takayama, C.; Sugiyama, T.; Kajitani, M. CpCoI-mediated Diels–Alder Reaction Forming Dimeric 1,3-Dithiol-2-one Derivative with Spiro Structure and Successive Formation of Novel Cobalt Dithiolene Complex. Chem. Lett. 2008, 37, 1032–1033. [Google Scholar] [CrossRef]
- Sheldrick, G.M. A short history of SHELX. Acta Crystallogr. Sect. A 2008, 64, 112–122. [Google Scholar] [CrossRef] [PubMed]




| Bond | Length/Å | Angle | Value/° |
|---|---|---|---|
| C(1)–C(2) | 1.570(8) | C(1)–C(2)–S(2) | 113.2(4) |
| C(1)–S(1) | 1.805(6) | C(2)–S(2)–C(8) | 99.7(3) |
| S(1)–C(8) | 1.753(6) | S(2)–C(8)–O(8) | 122.5(5) |
| C(8)–O(8) | 1.206(7) | O(8)–C(8)–S(1) | 123.2 (5) |
| C(8)–S(2) | 1.775(6) | S(2)–C(8)–S(1) | 114.4(3) |
| S(2)–C(2) | 1.798(6) | C(8)–S(1)–C(1) | 100.4(3) |
| S(1)–C(1)–C(2) | 112.3(4) |
| Compound | C–S–C Internal Angle | S–C(O)–S Internal Angle | S–C–C–S Torsion Angle | Reference |
|---|---|---|---|---|
| 1 | 100.4(3), 99.7(3) | 114.4(3) | 1.9(5) | This work |
| 6 | 96.61(5), 96.57(5) | 113.41(6) | 44.44(9) | [10] |
| 7 | 95.7(2), 94.6(2) | 114.8(2) | 48.2(3) | [11] |
| 8 | 94.7(2), 94.5(2) | 113.6(2) | 51.3(3) | [12] |
| 9 | 99.67(8), 98.62(8) | 114.1(1) | 11.6(2) | [13] |
| 10 | 97.9(2), 97.2(3) | 113.7(3) | 36.2(4) | [13] |
© 2020 by the authors. Licensee MDPI, Basel, Switzerland. This article is an open access article distributed under the terms and conditions of the Creative Commons Attribution (CC BY) license (http://creativecommons.org/licenses/by/4.0/).
Share and Cite
Aitken, R.A.; Keddie, N.S.; Slawin, A.M.Z. 3,5-Dithiatricyclo[5.2.1.02,6]decan-4-one. Molbank 2020, 2020, M1126. https://doi.org/10.3390/M1126
Aitken RA, Keddie NS, Slawin AMZ. 3,5-Dithiatricyclo[5.2.1.02,6]decan-4-one. Molbank. 2020; 2020(2):M1126. https://doi.org/10.3390/M1126
Chicago/Turabian StyleAitken, R. Alan, Neil S. Keddie, and Alexandra M. Z. Slawin. 2020. "3,5-Dithiatricyclo[5.2.1.02,6]decan-4-one" Molbank 2020, no. 2: M1126. https://doi.org/10.3390/M1126
APA StyleAitken, R. A., Keddie, N. S., & Slawin, A. M. Z. (2020). 3,5-Dithiatricyclo[5.2.1.02,6]decan-4-one. Molbank, 2020(2), M1126. https://doi.org/10.3390/M1126

