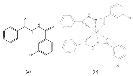
Bis(N′-(3-chlorobenzoyl)isonicotinohydrazide)iron(III) Complex
Abstract
1. Introduction
2. Results and Discussion
3. Materials and Methods
3.1. Materials
3.2. Synthesis of Bis(N′-(3-chlorobenzoyl)isonicotinohydrazide)iron(III) Complex
Author Contributions
Funding
Acknowledgments
Conflicts of Interest
References
- Metwally, K.A.; Abdel-Aziz, L.M.; Lashine, E.S.M.; Husseiny, M.I.; Badawy, R.H. Hydrazones of 2-aryl-quinoline-4-carboxylic acid hydrazides: Synthesis and preliminary evaluation as antimicrobial agents. Bioorg. Med. Chem. 2006, 14, 8675–8682. [Google Scholar] [CrossRef]
- Rodrigues, F.A.R.; Oliveira, A.C.A.; Cavalcanti, B.C.; Pessoa, C.; Pinheiro, A.C.; De Souza, M.V.N. Biological evaluation of isoniazid derivatives as an anticancer class. Sci. Pharm. 2014, 82, 21–28. [Google Scholar] [CrossRef]
- Nassiri Koopaei, M.; Javad Assarzadeh, M.; Almasirad, A.; Ghasemi-Niri, S.F.; Amini, M.; Kebriaeezadeh, A.; Koopaei, N.N.; Ghadimi, M.; Tabei, A. Synthesis and analgesic activity of novel hydrazide and hydrazine derivatives. Iran. J. Pharm. Res. 2013, 12, 721–727. [Google Scholar] [CrossRef]
- Al-Mawsawi, L.Q.; Dayam, R.; Taheri, L.; Witvrouw, M.; Debyser, Z.; Neamati, N. Discovery of novel non-cytotoxic salicylhydrazide containing HIV-1 integrase inhibitors. Bioorg. Med. Chem. Lett. 2007, 17, 6472–6475. [Google Scholar] [CrossRef]
- Smalley, T.L.; Peat, A.J.; Boucheron, J.A.; Dickerson, S.; Garrido, D.; Preugschat, F.; Schweiker, S.L.; Thomson, S.A.; Wang, T.Y. Synthesis and evaluation of novel heterocyclic inhibitors of GSK-3. Bioorg. Med. Chem. Lett. 2006, 16, 2091–2094. [Google Scholar] [CrossRef]
- Gemma, S.; Kukreja, G.; Fattorusso, C.; Persico, M.; Romano, M.P.; Altarelli, M.; Savini, L.; Campiani, G.; Fattorusso, E.; Basilico, N.; et al. Synthesis of N1-arylidene-N2-quinolyl- and N2-acrydinylhydrazones as potent antimalarial agents active against CQ-resistant P. falciparum strains. Bioorg. Med. Chem. Lett. 2006, 16, 5384–5388. [Google Scholar] [CrossRef]
- Sivasubramanian, V.K.; Ganesan, M.; Rajagopal, S.; Ramaraj, R. Iron(III)-salen complexes as enzyme models: Mechanistic study of oxo(salen)iron complexes oxygenation of organic sulfides. J. Org. Chem. 2002, 67, 1506–1514. [Google Scholar] [CrossRef]
- Liu, Y.; Guo, M. Studies on transition metal-quercetin complexes using electrospray ionization tandem mass spectrometry. Molecules 2015, 20, 8583–8594. [Google Scholar] [CrossRef]
- Ogunniran, K.O.; Adekoya, J.A.; Eromosele, C.O.E.; Siyanbda, T.O.; Kayode, A.; Mesubi, M.A.; Narender, T. Transition metal complexes of (E)-N′-(4-cyanobenzylidene)nicotinohydrazide): Synthesis, structural and anti-mycobacterial activity study. J. Appl. Sci. 2015, 15, 1210–1222. [Google Scholar] [CrossRef][Green Version]
- Jawoor, S.S.; Patil, S.A.; Toragalmath, S.S. Synthesis and characterization of heteroleptic Schiff base transition metal complexes: A study of anticancer, antimicrobial, DNA cleavage and anti-TB activity. J. Coord. Chem. 2018, 71, 271–283. [Google Scholar] [CrossRef]
- Arayne, S.; Sultana, N.; Haroon, U.; Mesaik, M.A. Synthesis, characterization, antibacterial and anti-inflammatory activities of enoxacin metal complexes. Bioinorg. Chem. Appl. 2009, 2009, 914105. [Google Scholar] [CrossRef] [PubMed]
- Joshi, S.D.; Dixit, S.R.; Gadag, S.; Kulkarni, V.H.; Aminabhavi, T.M. Molecular docking, synthesis, and antimycobacterial activities of pyrrolyl hydrazones and their copper complexes. Res. Rep. Med. Chem. 2016, 6, 1–14. [Google Scholar] [CrossRef]
- Hamdani, H.E.L.; Amane, M.E.L.; Atmani, Z.; Haddad, M. Synthesis, characterization and biological activities of cis-trans complexes [M(phen)(caf)2X2]M = Co(II), Fe(II), Mn(II), Cu(II); X: SCN−, CN−; caf: Caffeine; phen: (1,10)phenanthroline. J. Mater. Environ. Sci. 2016, 7, 3100–3109. [Google Scholar]
- Ramadevi, P.; Singh, R.; Prajapati, A.; Gupta, S.; Chakraborty, D. Cu(II) complexes of isoniazid Schiff bases: DNA/BSA binding and cytotoxicity studies on A549 cell line. Adv. Chem. 2014, 2014, 630575. [Google Scholar] [CrossRef]
- Hassan, S.; Channar, P.A.; Larik, F.A.; Saeed, A.; Shah, H.S.; Lecka, J.; Iqbal, J. Synthesis of novel (E)-1-(2-(2-(4(dimethylamino) benzylidene) hydrazinyl)-4-methylthiazol-5-yl)ethanone derivatives as ecto-5′-nucleotidase inhibitors. R. Soc. Open Sci. 2018, 5, 1–8. [Google Scholar] [CrossRef]
- Firmino, G.S.S.; de Souza, M.V.N.; Pessoa, C.; Lourenco, M.C.S.; Resende, J.A.L.C.; Lessa, J.A. Synthesis and evaluation of copper(II) complexes with isoniazid-derived hydrazones as anticancer and antitubercular agents. BioMetals 2016, 29, 953–963. [Google Scholar] [CrossRef]
- Hegde, D.; Naik, G.N.; Vadavi, R.S.; Shyam Kumar, V.; Barretto, D.A.; Gudasi, K.B. Transition metal complexes of N′-(2-(hydroxyimino)propanoyl)isonicotinohydrazide: Synthesis, characterization, DNA interaction and anticancer evaluation. Inorg. Chim. Acta 2017, 461. [Google Scholar] [CrossRef]
- Ruswanto, R.; Mardianingrum, R.; Lestari, T.; Nofianti, T.; Rahayuningsih, N. Synthesis and molecular docking of isonicotinohydrazide derivatives as anti-tuberculosis candidates. Mal. J. Fund. Appl. Sci. 2019, 15, 367–371. [Google Scholar] [CrossRef]
- Mardianingrum, R.; Ruswanto, R.; Nurjanah, R.; Nofianti, T.; Apriliani, A.Y. The biology activities of isonicotinohydrazide derivatives as an anti-tuberculosis candidate. J. Phys. Conf. Ser. 2019, 1179, 012181. [Google Scholar] [CrossRef]
- Baile, M.B.; Kolhe, N.S.; Deotarse, P.P.; Jain, A.S.; Kulkarni, A.A. Metal Ion Complex-Potential Anticancer Drug—A Review. Int. J. Pharma Res. Rev. 2015, 4, 59–66. [Google Scholar]
- Abbaspour, N.; Hurrell, R.; Kelishadi, R. Review on iron and its importance for human health. J. Res. Med. Sci. 2014, 19, 164–174. [Google Scholar]
- Ningtyas, A.P.; Martak, F. Sintesis dan uji toksisitas kompleks kobalt(II) dengan ligan (6E)-(N2)-((E)-2-(6-aminopiridin-2-ilimino)-1,2-difeniletilidin)piridin-2,6-diamina. Jurnal Sains Dan Seni ITS 2016, 5, 3–7. [Google Scholar]
- Lin, P.Z.; Chun, L.C.; Zhou, J.; Ming, X.L.; Yan, J.W. Synthesis, crystal structure and antitumor study of an iron(III) complex of 2-acetylpyrazine N(4)-methylthiosemicarbazone. Z. Naturforsch. B Chem. Sci. 2008, 63, 1257–1261. [Google Scholar]
- Dharmayanti, A.; Martak, F. Sintesis senyawa aktif kompleks mangan(II) dengan ligan 2(4-nitrofenil)-4,5-difenil-1H-imidazol. Jurnal Sains Dan Seni ITS 2015, 4, 52–56. [Google Scholar]
- Goeswin, A. Sediaan Farmasi Padat, Printed; ITB Publisher: Bandung, Indonesia, 2013; pp. 145–147. [Google Scholar]
- Rue, E.L.; Brulan, K.W. Complexation of iron(II1) by natural organic ligands in the Central North Pacific as determined by a new competitive ligand equilibration/adsorptive cathodic stripping voltammetric method. Mar. Chem. 1995, 50, 117–138. [Google Scholar] [CrossRef]
- Ruswanto, R.; Sarwatiningsih, Y.; Pratita, A.T.K.; Dewi, R. Synthesis and characterization of Fe(III) complex with N′-(3-nitrobenzoyl) isonicotinohydrazide as an anti-tuberculosis candidate. J. Phys. Conf. Ser. 2019, 1179, 012136. [Google Scholar] [CrossRef]






© 2019 by the authors. Licensee MDPI, Basel, Switzerland. This article is an open access article distributed under the terms and conditions of the Creative Commons Attribution (CC BY) license (http://creativecommons.org/licenses/by/4.0/).
Share and Cite
Mardianingrum, R.; Susanti; Ruswanto, R. Bis(N′-(3-chlorobenzoyl)isonicotinohydrazide)iron(III) Complex. Molbank 2020, 2020, M1101. https://doi.org/10.3390/M1101
Mardianingrum R, Susanti, Ruswanto R. Bis(N′-(3-chlorobenzoyl)isonicotinohydrazide)iron(III) Complex. Molbank. 2020; 2020(1):M1101. https://doi.org/10.3390/M1101
Chicago/Turabian StyleMardianingrum, Richa, Susanti, and Ruswanto Ruswanto. 2020. "Bis(N′-(3-chlorobenzoyl)isonicotinohydrazide)iron(III) Complex" Molbank 2020, no. 1: M1101. https://doi.org/10.3390/M1101
APA StyleMardianingrum, R., Susanti, & Ruswanto, R. (2020). Bis(N′-(3-chlorobenzoyl)isonicotinohydrazide)iron(III) Complex. Molbank, 2020(1), M1101. https://doi.org/10.3390/M1101

