5,11,17,23-Tetra-tert-butyl-25-(2’-pyridylmethylamidocarbonylmethyl)-calix[4]arene
Abstract
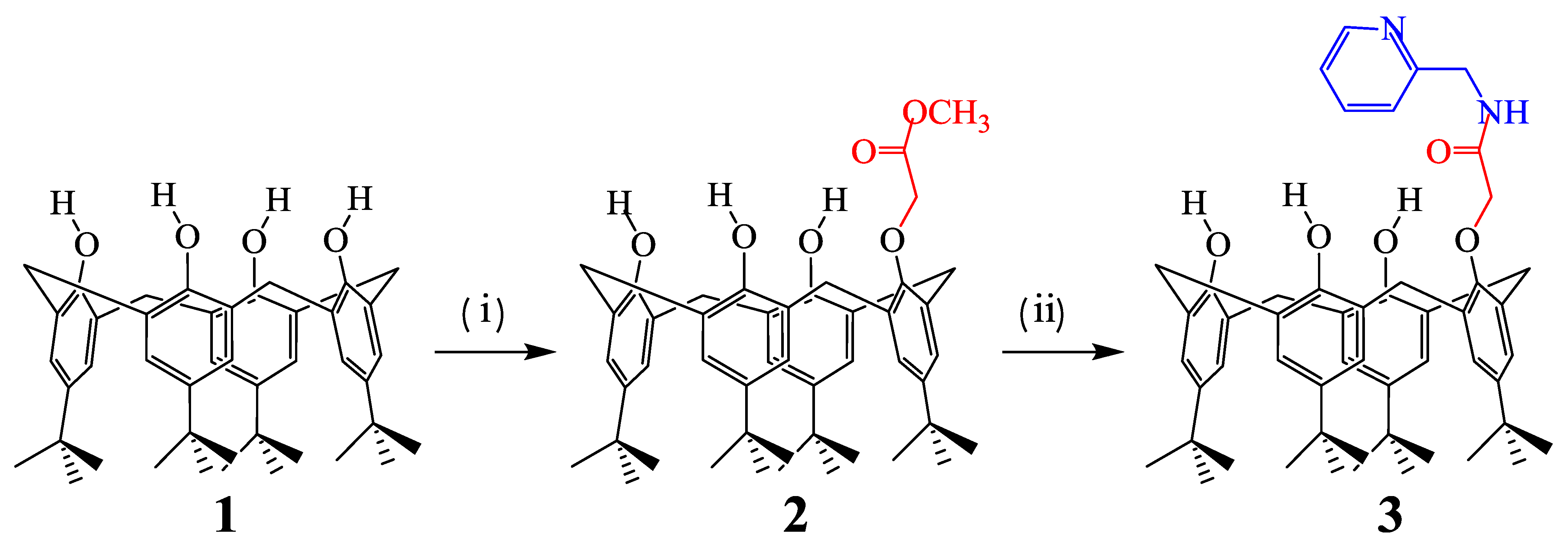
:Experimental
Supplementary materials
Supplementary File 1Supplementary File 2Supplementary File 3Acknowledgments
References
- Gutsche, C.D.; Stoddart, J.F. (Eds.) Calixarenes—Monographs in Supramolecular Chemistry; The Royal Society of Chemistry: Cambridge, UK, 1989.
- Vicens, J.; Böhmer, V. (Eds.) Calixarènes: A Versatile Class of Macrocyclic Componds; Kluwer Academic Publishers: Dordrecht, The Netherlands, 1991.
- Gutsche, C.D.; Muthukrishnan, R. Calixarenes. 1. Analysis of the product mixtures produced by the base-catalyzed condensation of formaldehyde with para-substituted phenols. J. Org. Chem. 1978, 43, 4905–4911. [Google Scholar] [CrossRef]
- Hamdi, A.; Abidi, R.; Ayadi, M.T.; Thuéry, P.; Nierlich, M.; Asfari, Z.; Vicens, J. Synthesis and cation complexation studies of a new tetra(2-pyridylmethyl)amide calix[4]arene. Tetrahedron Lett. 2001, 42, 3595–3598. [Google Scholar] [CrossRef]
- Hamdi, A.; Abidi, R.; Asfari, Z.; Vicens, J. Synthesis and Complexing Properties of Five Tetraamido-type p-tert-Butyl Calix[4]arenes Presenting Two Proximal Binding Subunits. J. Incl. Phenom. Macro. Chem. 2003, 45, 99–107. [Google Scholar] [CrossRef]
- Roymon, J.; Jugun, P.C.; Chebrolu, P.R. Benzothiazole appended lower rim 1,3-di-amido-derivative of calix[4]arene: Synthesis, structure, receptor properties towards Cu2+, iodide recognition and computational modeling. Inorg. Chim. Acta 2010, 363, 2833–2839. [Google Scholar]
- Groenen, L.C.; Ruël, B.H.M.; Casnati, A.; Verboom, W.; Pochini, A.; Ungaro, R.; Reinhoudt, D.N. Synthesis of monoalkylated calix[4]arenes via direct alkylation. Tetrahedron 1991, 47, 8379–8384. [Google Scholar] [CrossRef]

© 2012 by the authors; licensee MDPI, Basel, Switzerland. This article is an open access article distributed under the terms and conditions of the Creative Commons Attribution license (http://creativecommons.org/licenses/by/3.0/).
Share and Cite
Al-Ayed, A.S.; Baklouti, L.; Hamdi, A. 5,11,17,23-Tetra-tert-butyl-25-(2’-pyridylmethylamidocarbonylmethyl)-calix[4]arene. Molbank 2012, 2012, M747. https://doi.org/10.3390/M747
Al-Ayed AS, Baklouti L, Hamdi A. 5,11,17,23-Tetra-tert-butyl-25-(2’-pyridylmethylamidocarbonylmethyl)-calix[4]arene. Molbank. 2012; 2012(1):M747. https://doi.org/10.3390/M747
Chicago/Turabian StyleAl-Ayed, Abdullah Sulaiman, Lassaad Baklouti, and Abdelwaheb Hamdi. 2012. "5,11,17,23-Tetra-tert-butyl-25-(2’-pyridylmethylamidocarbonylmethyl)-calix[4]arene" Molbank 2012, no. 1: M747. https://doi.org/10.3390/M747
APA StyleAl-Ayed, A. S., Baklouti, L., & Hamdi, A. (2012). 5,11,17,23-Tetra-tert-butyl-25-(2’-pyridylmethylamidocarbonylmethyl)-calix[4]arene. Molbank, 2012(1), M747. https://doi.org/10.3390/M747

