Next Article in Journal
Synthesis and Detailed Spectroscopic Characterization of Two Novel N-(3-Acetyl-2-thienyl)acetamides
Previous Article in Journal
Synthesis of 2-(2-napthylthio)-quinoline-3-carboxaldehyde as a novel complexing agent
error_outline You can access the new MDPI.com website here. Explore and share your feedback with us.
 
 
Font Type:
Arial Georgia Verdana
Font Size:
Aa Aa Aa
Line Spacing:
Column Width:
Background:
Short Note

Synthesis and Protonation Constants of an Amide-Based Chelating Cyclophane

by
Julio Cesar Altamirano-Coronado
1,
Carolina Godoy-Alcántar
2 and
Felipe Medrano
1,*
1
Departamento de Investigación en Polímeros y Materiales. Universidad de Sonora. Apartado Postal 130, Col Centro.83000. Hermosillo, Sonora, México
2
Centro de Investigaciones Químicas, Universidad Autónoma del Estado de Morelos. 62209. Cuernavaca, Morelos, México
*
Author to whom correspondence should be addressed.
Molbank 2006, 2006(6), M519; https://doi.org/10.3390/M519
Submission received: 21 July 2006 / Accepted: 29 September 2006 / Published: 1 December 2006

Introduction

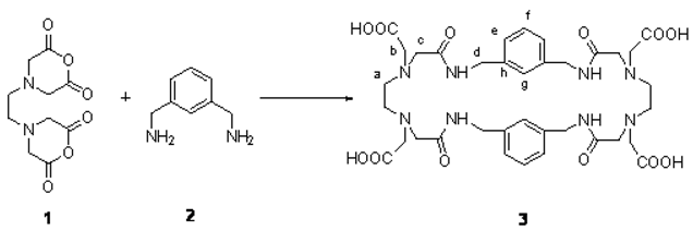
Our research group have reported that, under high dilution conditions, condensation reactions between 4,4’-ethylenebis(2,6-morpholinedione), 1, and aromatic diamines gave a new series of tetraaza chelating cylophanes, which have amide and aromatic groups in the ring framework and pendant carboxymethyl groups [1]. The resulting functionalized macrocycles have novel coordination and structural properties due to the unique arrangement of different types of donor groups [2]. In this work, we have employed the aromatic diamine 1,3-bis(aminomethyl)benzene, 2, and obtained a new chelating cyclophane (3), 4,12,17,24-tetraoxo-6,9,19,22-tetrakis(carboxymethyl)-3,6,9,12,16,19,22,25-octaaza-1,4(1,3)-dibenzacyclohexacosano .

Synthesis of 3

Cyclophane 3 was obtained by the condensation reaction between 1 and 2 under high dilution conditions as was reported for other similar cyclophanes [1]. A dimethylformamide (DMF, Aldrich) solution (50 mL) containing 1 g of 1,3-bis(aminomethyl)benzene (Aldrich) was slowly added to 2.32 g of 4,4’-ethylenebis(2,6-morpholinedione) (Aldrich) in 250 mL of DMF with vigorous stirring during 2 hours. After the resulting reaction mixture was left to stand over night, any solid formed was removed by filtration and the filtrate was concentrated to a viscous liquid (ca. 10 mL). Addition of ethanol (20 mL) to the liquid gave a pale yellow solid, which was separated by filtration. The crude solid was dissolved in 30 mL of boiling water. Cooling the resulting solution gave a colorless solid. The product was recovered by filtration, washed with water and dried under vacuum. Yield 15.3 %.

Spectroscopic Measurements

The solution electronic spectra were obtained by the use of a Perkin-Elmer Lambda 2 UV-vis spectrometer. The emission spectra were recorded on a Perkin Elmer LS-50 spectrofluorometer. The pH of the sample solutions was adjusted by adding a minimum amount of dilute NaOH solution or solid Na2CO3. The electrospray ionization (ESI) mass spectra were obtained by the use of a JEOL HX 110A spectrometer for sample solutions of an ammonia-methanol (5:95) mixture. The NMR spectra were obtained on a Bruker Avance 400 or Varian Unity 200 spectrometer in D2O with reference to sodium 2,2-dimethyl-2-silapentane-5-sulfonate, DSS. The infrared spectra were recorded on a Perkin-Elmer 1600 FT IR spectrophotometer and samples were analyzed as KBr pellets. The Elemental Analysis was performed by Centro de Investigaciones Químicas, Universidad Autónoma del Estado de Morelos. Cuernavaca, Mexico.
Anal. Calc. for C36H48N8O12(H2O)3: C,51.52; H,6.49; N, 13.36%; found: C,51.67; H,6.48; N, 13.47% .
1H NMR (D2O-Na2CO3, pD 10.3, 400 MHz, reference DSS): d = 7.29 (t, 2H, Hf), 7.15 (s, 2H, Hg), 7.13 (d, 4H, He), 4.24 (s, 8H, Hd), 3.17 (s, 8H, Hc), 3.09 (s, 8H, Hb),2.60 (s, 8H, Ha).
13C NMR (D2O-Na2CO3, pD 10.3, 50 MHz, reference DSS): d = 179.17 (-COO-), 174.14 (-CO-NH),138.30 (Ch), 129.32 (Cg), 128.90 (Cf), 126.76 (Ce), 59.18 (Cc), 58.43 (Cb), 52.59 (Ca),42.85 (Cd).
IR: 3335 cm-1 (N-H, amide), 1728 cm-1 (C=O, Carboxylate), 1668 cm-1 (-CO-NH-, Amide I, ), 1641 cm-1 (-CO-NH-, Amide II), 798 cm-1 (aromatic), 709 cm-1 (aromatic).
UV (aqueous solution, pH 9.0 I = 0.1 M KCl): 260 nm (e = 510 M-1 cm-1).
Fluorescence (aqueous solution, pH 9.0, I = 0.1 M KCl): Emission band at 290 nm (lexcitation = 260 nm).
ESI MS: The electrospray mass spectrum of 3 in an ammoniacal methanol solution (Figure 1) exhibited, in addition to the [M +H]+ peak (m/z = 785.3, 100%), an extra peak at m/z = 393.2 (12%) [M+2H]2+.The intervals between the isotope peaks proved that the latter species also had z = 2.

Protonation Constants

Coordination [2], molecular recognition [3], spectroscopic[1] and structural [4] properties of this class of compounds are strongly pH dependent, therefore the precise determination of their acidity constants is very important. The protonation constants of the cyclophane were determinated by potentiometry. The titrations were carried out at 298.1 ± 0.1 K using KCl 0.1 M as supporting electrolyte in a sealed-jacketed vessel under nitrogen with a piston type burette and a Thermo Orion model 920Aplus pHmeter equipped with an Orion 8102U combination electrode. The glass electrode was calibrated as a hydrogen-ion concentration probe by titration of previously standardized amounts of HClO4 with CO2-free NaOH solutions and determinated the equivalent point by Gran’s method [5], which gives the ionic product of water (pKw = -13.95). The computer program HYPERQUAD 2000 [6] was used to calculate the protonation constants. The pH range investigated was 3 – 11 and the concentration of macrocycle was 1 x 10 –3 M.
Only 4 protonation constants, of the eight expected, were detected as log K1 = 7.70 (standard deviation = 0.06), log K2 = 6.63 (0.06), log K3 = 3.91 (0.09) and log K4 = 3.34 (0.10) and correspond to the stepwise basicity constants as described by the equilibrium equations:
Distribution diagram of the various species present in solution was calculated using the program SPECIES (Academic Software) and is shown in Figure 2.
Based on the reported data for other similar cyclophanes [1,2] is possible to assign the observed constants: first and second protonation events occur at amine nitrogen atoms, while third and fourth protonations occur at carboxylate oxygen atoms.

Supplementary materials

Supplementary File 1Supplementary File 2Supplementary File 3

Acknowledgments

The authors thank CONACyT for the financial support (grant 39574Q)

References

  1. Inoue, M. B; Medrano, F; Inoue, M; Fernando, Q. J. Chem. Soc. Perkin Trans. 2 1998, 2275–2279.
  2. Inoue, M. B; Medrano, F; Inoue, M; Raitsimiring, A.; Fernando, Q. Inorg.Chem. 1997, 36, 2335–2340. [PubMed]
  3. Virues, C.; Velazquez, E. F.; Inoue, M. B.; Inoue, M. J. Inclusion Phenom. and Macrocyclic Chem. 2004, 48, 141–146.
  4. Altamirano-Coronado, J.C; Hopfl, H; Godoy-Alcantar, C; Machi, L; Medrano, F. Analytical Sciences: X-ray structure on line 2006, in press.
  5. Martell, A.E.; Motekaitis. Determination and use of stability constants; Wiley-VCH: New York, 1992; pp. 37–40. [Google Scholar]
  6. Gans, P; Sabatini, A.; Vacca, A. Talanta 1996, 43, 1739–1753. [PubMed]
Figure 1. ESI mass spectrum of 3.
Figure 1. ESI mass spectrum of 3.
Figure 2. Calculated species distribution plots for 3.
Figure 2. Calculated species distribution plots for 3.

Share and Cite

MDPI and ACS Style

Altamirano-Coronado, J.C.; Godoy-Alcántar, C.; Medrano, F. Synthesis and Protonation Constants of an Amide-Based Chelating Cyclophane. Molbank 2006, 2006, M519. https://doi.org/10.3390/M519

AMA Style

Altamirano-Coronado JC, Godoy-Alcántar C, Medrano F. Synthesis and Protonation Constants of an Amide-Based Chelating Cyclophane. Molbank. 2006; 2006(6):M519. https://doi.org/10.3390/M519

Chicago/Turabian Style

Altamirano-Coronado, Julio Cesar, Carolina Godoy-Alcántar, and Felipe Medrano. 2006. "Synthesis and Protonation Constants of an Amide-Based Chelating Cyclophane" Molbank 2006, no. 6: M519. https://doi.org/10.3390/M519

APA Style

Altamirano-Coronado, J. C., Godoy-Alcántar, C., & Medrano, F. (2006). Synthesis and Protonation Constants of an Amide-Based Chelating Cyclophane. Molbank, 2006(6), M519. https://doi.org/10.3390/M519

Note that from the first issue of 2016, this journal uses article numbers instead of page numbers. See further details here.

Article Metrics

Back to TopTop