
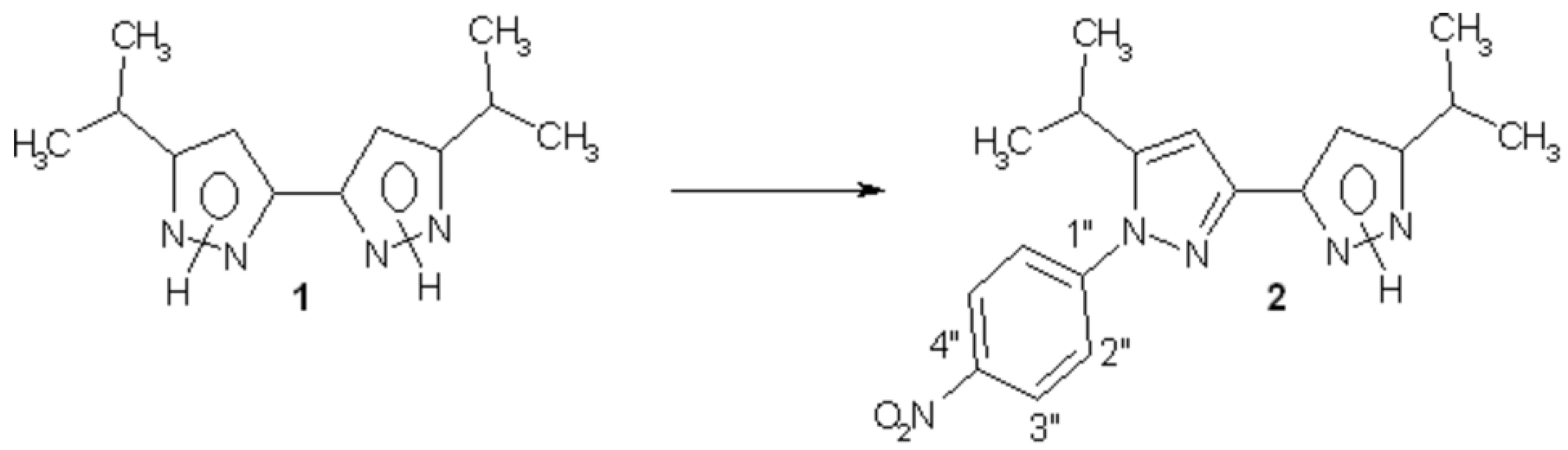
To a solution of 5,5’-diisopropyl-3,3’-bipyrazole 1 [] (109 mg, 0.5 mmol) in DMSO (2 ml) was added solid potassium tert-butoxide (61 mg, 0.5 mmol) followed by addition of 4-fluoronitrobenzene (70.5 mg, 0.5 mmol) in DMSO (1 ml) through a syringe, according to literature procedure []. The resulting mixture was heated to 70°C and kept at this temperature for one hour. Then the mixture was cooled to room temperature and quenched with water (10 ml). The precipitate was collected by filtration and oven-dried in vacuum. The residue was passed through a short silica column (CH2Cl2) to give the product 2.
Yield: (92 mg, 54 %).
Melting point: 162 - 163°C.
IR (KBr, cm-1): 3140 (νN-H) ; 3060 (νC-H, arom.) ; 2925 ; 2865 (νC-H, CH3) ; 2786 (νC-H, CH(CH3)2); 1615 (νC=N) ; 1575 (νC=C) ; 1490 ; 1478 (νa NO2) ; 1422 ; 1345 ; 1315 (νs NO2) ; 1234 ; 1145; 1087; 1045 ; 1028 ; 974 ; 914 (δ=C-H) ; 833 ; 812 (δN-H) ; 735; 673.
1H-NMR (CDCl3, 300 MHz ): δ= 8.35 (d, 2 H, H3’’, J = 10.3 Hz) ; 7.70 (d, 2 H, H2’’, J = 10.3 Hz) ; 6.63 (s, 1 H, C4-H) ; 6.47 (s, 1 H, C4-H) ; 3.17 (m, 1 H, CH(CH3)2, J = 13.5 Hz) ; 2.99 (m, 1 H, CH(CH3)2, J = 12.0 Hz) ; 1.34 (d, 6 H, CH(CH3)2, J = 8.4 Hz) ; 1.25 (d, 6 H, CH(CH3)2, J = 7.8 Hz).
13C-NMR (CDCl3, 75MHz ): δ= 154.92 (C3) ; 152.82 (C3) ; 148.32 (C4’’) ; 149.57 (C1’’) ; 147.62 (C5) ; 145.57 (C5) ; 125.60 (C3’’) ; 125.05 (C2’’) ; 103.05 (C4) ; 100.19 (C4) ; 26.57 (CH(CH3)2) ; 25.77 (CH(CH3)2) ; 22.94 (CH(CH3)2); 22.16 (CH(CH3)2).
MS (EI), m/z: 339 ; 324 ; 311 ; 278 ; 149 ; 111 ; 97 ; 94 ; 83 ; 71 ; 56 ; 43.
Elemental Analysis: Calculated for C18H21N5O2: C 63.71, H 6.19, N 20.64, Found: C 63.68, H 6.15, N 20.59.
In addition to the experiments we did theoretical calculations. All calculations in this work where carried out with the AM1 level of theory using the GAUSSIAN 03 [] suite of programs. More information about these methods is available elsewhere [,]. Table 1 shows the thermodynamic Parameters for the product where T (temperature in K), S (entropy in J mol-1 K-1), Cp (heat capacity at constant pressure in kJ mol-1 K-1), and ΔH=H° - H°298.15 (enthalpy content, in kJ mol-1), T1=100 K, T2=298.15 K, and T3=1000 K calculated AM1 frequencies. The theoretical vibrational spectrum and structure are shown above as well as the structure is also shown in the table. In the structure, all bond lengths are in angstroms (Å) and bond angles are in degrees (°) and the frequencies are in cm-1, and the IR intensities in KM/mol (broadened by the Doppler method). These calculations are useful for future thermodynamic studies as well as for NIST database indexing. The high values for this molecule suggests higher thermodynamic stability for this complex, also justifying the fact that it should be observed, even at high temperatures.


Table 1.
Physical properties, thermodynamic equations, as well as structural AM1 geometries.
Supplementary materials
Supplementary File 1Supplementary File 2Supplementary File 3References
- Bouabdallah, I.; Ramdani, A.; Zidane, I.; Touzani, R.; Eddike, D.; Radi, S.; Haidoux, A. J. Mar. Chim. Heterocycl. 2004, 3, 1, 39.
- Bouabdallah, I.; Ramdani, A.; Zidane, I.; Eddike, D.; Tillard, M.; Belin, C. Acta Cryst. 2005, E61, 4243.
- Frisch, M.J.; et al. GAUSSIAN 03, Revision A.1. Gaussian, Inc.: Pittsburgh PA, 2003. [Google Scholar]
- Foresman, J.B.; Frisch, Æ. Exploring Chemistry with Electronic Structure Methods, 2nd edition; Gaussian, INC.: Pittsburgh, PA, 1996. [Google Scholar]
- Jalbout, A.F.; Nazari, F.; Turker, L. J. Mol. Struct. (THEOCHEM) 2004, 1, 627. Jalbout, A.F.; Adamowicz, L. Adv. Quant. Chem.(Book Series, Ed. J. Sabin). 2006. xxx-xxx (Reviews).
© 2006 MDPI. All rights reserved.