Next Article in Journal
Synthesis of 8-Chloro-11-(4-(3-(p-tolyloxy)propyl)piperazin-1-yl)-5H-dibenzo[b,e][1,4]diazepine
Previous Article in Journal
1-ethoxycarbonylmethyl-3-(ethoxycarbonylmethylene)-2-oxo quinoxaline
 
 
Font Type:
Arial Georgia Verdana
Font Size:
Aa Aa Aa
Line Spacing:
Column Width:
Background:
Short Note

5,5’-Biindole

by
Ramiro Quintanilla-Licea
1,*,
Juan F. Colunga-Valladares
2,
Adolfo Caballero-Quintero
3,
Noemí Waksman
3,
Ricardo Gomez-Flores
1,
Cristina Rodríguez-Padilla
1 and
Reyes Tamez-Guerra
1
1
Facultad de Ciencias Biológicas, Universidad Autónoma de Nuevo León, Pedro de Alba s/n, Cd. Universitaria, San Nicolás de los Garza, Nuevo León, México
2
Facultad de Ciencias Químicas, Universidad Autónoma de Nuevo León, Pedro de Alba s/n, Cd. Universitaria, San Nicolás de los Garza, Nuevo León, México
3
Facultad de Medicina, Universidad Autónoma de Nuevo León, Pedro de Alba s/n, Cd. Universitaria, San Nicolás de los Garza, Nuevo León, México
*
Author to whom correspondence should be addressed.
Molbank 2006, 2006(2), M474; https://doi.org/10.3390/M474
Submission received: 30 January 2006 / Accepted: 9 March 2006 / Published: 10 March 2006

Abstract

:
Synthesis of 5,5’-biindole was carried out by the Madelung indole reaction. Under strong basic conditions and high temperatures (350 ºC), N,N’-bis-formyl-o-tolidine underwent cyclization to produce high amounts of the dimeric indole. Full and unambiguous assignments of all 1H- and 13C-NMR resonances of indole and 5,5’-biindole in DMSO-d6 are also reported.

Introduction

Indoles are one of the most widely distributed heterocyclic compounds in nature [1,2,3]. The indole ring appears in tryptophan [4], an essential aminoacid, and metabolites of tryptophan are important in the biological chemistry of both plants and animals. In plants, indole alkaloids, including indole-3-acetic acid and its secondary metabolites, are known as plant growth hormones [5]; in animals, serotonin (5-hydroxytryptamine) is a crucial neurotransmitter in the central nervous system [6]. The potent physiological properties of these indole derivatives led to vast research of their use as medicines in the field of pharmaceutical chemistry. Furthermore, indomethacin [7], a non-steroidal anti-inflammatory agent, and pindolol [8], a β-adrenergic blocker, are clinically proven indole compounds. Several naturally-occurring indoles are also of clinical relevance; vincristine, a dimeric indole alkaloid, and related compounds, were the first of the antimitotic class of chemotherapeutic agents for cancer [9]. The mitomycins [10] and derivatives of ellipticine [11] are other examples of compounds having antitumor activity. Extensive research on reactivity and synthesis of indoles has been done and there is increased interest for the development of new strategies to produce indole skeletons [12].
Indoloquinolizines [13] are a small group of indole alkaloids-related natural products, commonly found in plants of the genus Rauwolfia as zwitterionic compounds (e.g. alstonine 1, serpentine 2, flavopereirine 3 and sempervirine 4 ). Indoloquinolizines contain at least one tetracyclic ring with a β-carboline unit, like the indolopyridocoline 5 from Gonioma kamassi (Scheme 1) [3].
Natural indoloquinolizines have been reported to inhibit DNA synthesis in cancer cell lines [14,15,16]. In this regard, alstonine 1, serpentine 2 and sempervirine 4 (Scheme 1), were shown to protect BALB/c and Swiss mice from cancer induced by YC8 lymphoma and Ehrlich carcinoma cells, respectively [15]. In addition, it was reported that synthetic derivatives of the natural product javacarboline showed potent antitumor activities against P-388 murine leukemia cells and PC-6 human lung carcinoma cells [16].
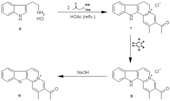
Since there are few and complex strategies available to obtain the indoloquinolizine basic tetracyclic structure [17], we are developing Teuber’s reaction [18] as a useful and easy method for obtaining synthetic indoloquinolizines, as new antitumor agents, from tryptamines and β–dicarbonyl compounds. Thus, starting with tryptamine hydrochloride 6 and acetylacetaldehyde dimethyl acetal, Teuber et al. obtained 3-acetyl-7,12-dihydro-2-methyl-6H-indolo[2,3-a]quinolizinium chloride 7, which after oxidation with o-chloranyl yielded the compound 8 with ring C of the tetracyclic system completely aromatized; treatment of 8 with base yielded the corresponding indoloquinolizine 9 (Scheme 2) [19,20].
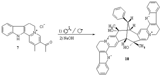
Recently, Solís-Maldonado et al. [21] demonstrated that compounds 7-9 possessed differential effects on in vitro rat lymphocyte and macrophage functions; proliferation of thymic lymphocytes was significantly (p<0.05) increased (up to 30% increase) by compound 7 at concentrations ranging from 10-11 to 10-5 M, compared with untreated control. In addition, tumor necrosis factor-α and nitric acid production by peritoneal macrophages was significantly (p<0.05) increased (up to 30% increase) by compounds 8 and 9 (Scheme 2) at concentrations of 10-11 to 10-5 M, and 10-5 M, respectively. The dimeric indoloquinolizine 10 (Scheme 3), obtained by reaction of dihydroindoloquinolizine 7 (Scheme 2) with benzaldehyde under piperidine catalysis [20], showed higher effects (up to 40% increase) on lymphocytes proliferation than the monomeric ones [21].
These synthetic indoloquinolizines, particularly the dimeric compounds, could serve then as immunotherapeutic agents by selectively increasing the pool of activated T lymphocytes or stimulating macrophage functions, with potential use in treatment of infectious diseases and cancer.
In order to be able to continue our research on this subject, we want to synthesize the dimeric indoloquinolizine 11 according to the retrosynthesis of Scheme 4. Using Teuber´s reaction, compound 11 can be obtained from the dimeric tryptamine 12 by first synthesizing 5,5’-biindole 13.
In this paper we describe an efficient synthesis of 5,5’-biindole 13 using the Madelung synthesis of indoles. As we have noted a lack of accurate 1H- and 13C-NMR data for indole in DMSO-d6 in the literature, we also report here a detailed 13C- and 1H-NMR study for both compounds.

Results and Discussion

Since the first indole synthesis in 1866 [22], a number of synthetic methods for the construction of the indole nucleus have been devised, the most common or “classical” are the Fischer, Bischler, Reissert, Nenitzescu and Madelung ones [1,23,24,25]. The availability of the starting material and compatibility with the reaction conditions determine the choice of the appropriate synthesis method for a target molecule containing this type of nucleus [2,26,27]. Therefore, a large number of new original syntheses or modifications and applications of known methods continue to be reported [28,29,30].
The Madelung indole synthesis is a method for producing indoles from a base-catalyzed thermal cyclization of N-acyl-o-toluidides [31,32], and is one of the few known reactions by which the simple indole compound 15 (Scheme 5) can be obtained [33,34,35].
The most usual conditions previously reported by others include sodium or potassium alkoxide at temperatures of 200-400 ºC; thus, indole 15 (79% yield) can be obtained from N-formyl-o-toluidine 14 (Scheme 5) [36,37,38]. This yield is calculated on the assumption that 2 moles of N-formyl-o-toluidine 14 are required for the production of 1 mole of indole [33], although the mechanism of Madelung´s reaction has not been completely elucidated [32].
Therefore we decided to use the Madelung´s indole reaction to synthesize 5,5´-biindole 13 starting from N,N’-bis-formyl-o-tolidine 16 (Scheme 6) [36].
After work-up, we obtained a brown oil which crystallized on cooling. The yield was 1.9 g (88%). Purification by recrystallization in chloroform led to a light-brown solid with a melting point of 195 ºC. The ESMS showed a molecular ion at 233 Daltons ([M+H].+), in agreement with the molecular formula C16H12N2. There are no accurate 1H- and 13C-NMR available reports for indole in DMSO-d6 [39,40,41,42,43] to be compared with those of 5,5’-bindole, therefore we used commercially available indole to acquire this spectroscopic information.
1H-1H-COSY, HMQC and HMBC experiments established geminal and vicinal hydrogen interactions, as well as direct (1JCH) and two and three bond correlations between carbon and hydrogen in the structure of both indole 15 and 5,5’-biindole 13. The definite assignment of the chemical shifts of protons and carbons are shown in Table 1 and Table 2.
1D NOE difference measurements established the signal of proton 7 of indole in the 1H-NMR spectrum, since NOEs between the doublet at 7.39 ppm and the singlet at 11.08 ppm (N-H) could be detected. Further NOEs between resonances at 11.08 and 7.33 ppm demonstrated the vicinity of N-H and H-2. In the HMBC spectrum of indole (Figure 1) three bond connectivity between C-7 and H-5 can be observed, whereas in HMBC spectrum of 5,5’-biindole (Figure 2) this is absent, indicating the joint point of the two indole nuclei.

Conclusions

Among several methods available for the synthesis of biindole compounds [44,45,46,47], the use of the Madelung´s indole reaction was found suitable for the cyclization of N,N’-bis-formyl-o-tolidine to produce 5,5’-biindole.

Experimental

General

NMR spectra were recorded in DMSO-d6 at 25 ºC on a spectrometer Bruker DPX400 operating at 400.13 MHz for 1H, and 100.61 MHz for 13C. Chemical shifts are given in ppm relative to TMS. Thin layer chromatography (TLC) was performed on precoated plates (Aldrich TLC aluminum sheets silica 60 F254) with detection by UV light. FTIR spectra were taken on a Perkin-Elmer spectrometer using potassium bromide pellets. Mass spectra were measured with a Varian MAT 311A Spectrometer. Melting points were determined on an Electrothermal 9100 apparatus and are uncorrected. Indole was obtained from Sigma-Aldrich (St. Louis, MO).

5,5’-Biindole (13).

A 500 mL three-necked round-bottomed flask is fitted with a reflux condenser and a gas inlet tube connected to a cylinder of nitrogen. The third opening of the flask is closed by a stopper. The top of the condenser is connected to an air trap which consists of two 250 mL suction flasks connected in series (the first one is empty; the second one contains paraffin oil, and the inlet tube of this flask extends slightly below the surface of the oil). In the reaction flask is placed tert-butyl alcohol (150 mL) and the air in the flask is displaced by dry nitrogen gas. Then metallic potassium (4 g, 0.1 mol) is added, in portions, to the alcohol. The mixture is heated gently until all potassium has dissolved, and then N,N’-bis-formyl-o-tolidine 16 (5 g, 0.019 mol) [36] is added and brought into solution. The condenser is set for distillation with a filter flask as the receiver; this flask is protected from the air by connecting it to the trap used in the initial operation. The reaction flask is surrounded by an electric mantle, and the excess alcohol is removed by distillation. The residue is heated to 350-360 ºC for about 30 minutes and then is allowed to cool in a stream of nitrogen. The residue is decomposed by addition of water (100 mL). The mixture is extracted successively with chloroform (100 and 50 mL), and the combined chloroform extracts are shaken with cold dilute 5% hydrochloric acid. The chloroform extract is washed with water (50 mL) of, followed by 5% sodium carbonate solution (50 mL), and is dried over anhydrous sodium sulfate and the solvent was evaporated. A brown oil was obtained which crystallized on cooling. The yield was 1.9 g (88%). Purification by recrystallization in chloroform led to a light-brown solid with a melting point of 195 ºC. TLC: Rf = 0.6 (hexane-acetone, 3:2); IR (KBr): vmax 3406, 1625, 1469, 1406, 1343, 749 cm-1; ESMS (positive ion mode): m/z 233 ([M+H].+, base peak; Calcd. for C16H12N2, 232). 1H-NMR and 13C-NMR see Table 2.

Supplementary materials

Supplementary File 1Supplementary File 2Supplementary File 3

Acknowledgments

The authors would like to thank the Deutscher Akademischer Austauschdienst (DAAD, Germany), who financed a 2-month stay of R. Quintanilla-Licea at the University of Göttingen. We deeply appreciate Prof. Lutz F. Tietze of the University of Göttingen for supporting us with MS measurements and SDBSWeb (http://www.aist.go.jp/RIODB/SDBS) for free access to its spectral data bank (19 January 2006). This study was supported by PAICYT grants CN892-04 and CN1097-05 from the Universidad Autónoma de Nuevo León (Mexico) to RQL.

References

  1. Sundberg, R.J. The chemistry of indoles. In Organic Chemistry, a series of monographs; Blomquist, A.T., Ed.; Academic Press: New York and London, 1970. [Google Scholar]
  2. Saxton, J.E. Indoles, Part four, The monoterpenoid indole alkaloids. In The Chemistry of Heterocyclic Compounds, a series of monographs; Weissberger, A., Taylor, E.C., Eds.; John Wiley & Sons: New York, 1983. [Google Scholar]
  3. Hesse, M. Alkaloids, Nature’s curse or blessing? VHCA: Zürich, 2002. [Google Scholar]
  4. Monien, B.H.; Krishnasamy, C.; Olson, S.T.; Desai, U.R. Importance of Tryptophan 49 of Antithrombin in Heparin Binding and Conformational Activation. Biochemistry 2005, 44, 11660–11668. [Google Scholar] [CrossRef] [PubMed]
  5. Tafazoli, S.; O'Brien, P.J. Prooxidant Activity and Cytotoxic Effects of Indole-3-acetic Acid Derivative Radicals. Chem. Res. Toxicol. 2004, 17, 1350–1355. [Google Scholar] [CrossRef] [PubMed]
  6. Wang, G.; Geng, L. Statistical and Generalized Two-Dimensional Correlation Spectroscopy of Multiple Ionization States. Fluorescence of Neurotransmitter Serotonin. Anal. Chem. 2005, 77, 20–29. [Google Scholar] [CrossRef] [PubMed]
  7. Fronza, G.; Mele, A.; Redenti, E.; Ventura, P. 1H NMR and Molecular Modeling Study on the Inclusion Complex β-Cyclodextrin-Indomethacin. J. Org. Chem. 1996, 61, 909–914. [Google Scholar] [CrossRef]
  8. Bontchev, P.R.; Pantcheva, I.N.; Bontchev, R.P.; Ivanov, D.S.; Danchev, N.D. Copper (II) Complexes of the β-blocker pindolol: properties, structure, biological activity. BioMetals 2002, 15, 79–86. [Google Scholar] [CrossRef] [PubMed]
  9. Yokoshima, S.; Ueda, T.; Kobayashi, S.; Sato, A.; Kuboyama, T.; Yokuyama, H.; Fukuyama, T. Sterocontrolled Total Synthesis of (+)-Vinblastine. J. Am. Chem. Soc. 2002, 124, 2137–2139. [Google Scholar] [CrossRef] [PubMed]
  10. Li, V.-S.; Reed, M.; Zheng, Y.; Kohn, H.; Tang, M.-s. C5 Cytosine Methylation at CpG Sites Enhances Sequence Selectivity of Mitomycin C-DNA Bonding. Biochemistry 2000, 39, 2612–2618. [Google Scholar] [CrossRef] [PubMed]
  11. Kirsch, G.H. Heterocyclic Analogues of Carbazole Alkaloids. Curr. Org. Chem. 2001, 5, 507–518. [Google Scholar] [CrossRef]
  12. Kamijo, S.; Yamamoto, Y. A Bimetallic Catalyst and Dual Role Catalyst: Synthesis of N-(Alkoxycarbonyl)indoles from (2-(Alkynyl)phenylisocianates. J. Org. Chem. 2003, 68, 4764–4771. [Google Scholar] [CrossRef] [PubMed]
  13. Stöckigt, J. Biosynthesis in Rauwolfia serpentine – Modern Aspects of an Old Medicinal Plant. The Alkaloids 1995, 47, 115–172. [Google Scholar]
  14. Beljanski, M.; Beljanski, M.S. Selective Inhibition of in vitro Synthesis of cancer DNA by Alkaloids of β-Carboline Class. Exp. Cell Biol. 1982, 50, 79–87. [Google Scholar] [CrossRef] [PubMed]
  15. Beljanski, M.; Beljanski, M.S. Three Alkaloids as Selective Destroyers of Cancer Cells in Mice. Oncology 1986, 49, 198–203. [Google Scholar] [CrossRef]
  16. Yoshino, H.; Koike, K.; Nikaido, T. Synthesis and Antitumor Activity of Javacarboline Derivatives. Heterocycles 1999, 51, 281–293. [Google Scholar]
  17. Matia, M.P.; Ezquerra, J.; García-Navio, J.L.; Vaquero, J.J.; Alvarez-Builla, J. New Uses of Westphal Condensation: Synthesis of Flavocorylene and Related Indolo[2,3-a]quinolizinium Salts. Tetrahedron Lett. 1991, 32, 7575. [Google Scholar] [CrossRef]
  18. Teuber, H.J.; Hochmuth, U. Eine einfache Indolo[2,3-a]chinolizin-Synthese. Zugleich eine Modell-Reaktion für die Alkaloid-Biogenese? Tetrahedron Lett. 1964, 325–329. [Google Scholar] [CrossRef]
  19. Teuber, H.J.; Quintanilla-Licea, R.; Raabe, T. Indolo[2,3-a]quinolizines and a Convenient Synthesis of Flavoserpentine. Liebigs Ann. Chem. 1988, 1111–1120. [Google Scholar] [CrossRef]
  20. Quintanilla-Licea, R.; Teuber, H.J. Review on reactions of acetylacetaldehyde with aromatic amines and indoles – Synthesis of heterocycles via hydroxymethylene ketones. Heterocycles 2001, 55, 1365. [Google Scholar] [CrossRef]
  21. Solís-Maldonado, C.; Quintanilla-Licea, R.; Tamez-Guerra, R.; Rodríguez-Padilla, C.; Gomez-Flores, R. Differential Effects of synthetic indoloquinolizines on in vitro Rat Lymphocyte and Macrophage Functions. Int. Immunopharmacol. 2003, 3, 1261–1271. [Google Scholar] [CrossRef]
  22. von Bayer, A. Ann. Chem. 1866, 140, 295.
  23. Remers, W.A.; Brown, R.K. In Indoles, Part One; Houlihan, W.J., Ed.; John Wiley & Sons, Inc.: New York, 1972. [Google Scholar]
  24. Kuethe, J.T.; Wong, A.; Davies, I.W. Rapid and Efficient Synthesis of 1H-Indol-2-yl-1H-quinolin-2-ones. Org. Lett. 2003, 5, 3975–3978. [Google Scholar] [CrossRef] [PubMed]
  25. Pal, M.; Dakarapu, R.; Padakanti, S. A direct Access to 3-(2-Oxoalkyl)indoles via Aluminum Chloride Induced C-C Bond Formation. J. Org. Chem. 2004, 69, 2913–2916. [Google Scholar] [CrossRef] [PubMed]
  26. Szántay, C. Synthetic Studies in Alkaloid Chemistry. The Alkaloids 1998, 50, 377–414. [Google Scholar]
  27. Takao, K.-i.; Munakata, R.; Tadano, K.-i. Recent Advances in Natural Product Synthesis by Using Intramolecular Dies-Alder Reactions. Chem. Rev. 2005, 105, 4779–4807. [Google Scholar] [CrossRef] [PubMed]
  28. Babu, G.; Orita, A.; Otera, J. Novel Synthesis of 2-Aryl and 2,3-Disubstituted Indoles by Modified Double Elimination Protocol. Org. Lett. 2005, 7, 4641–4643. [Google Scholar] [CrossRef] [PubMed]
  29. Peters, R.; Waldmeier, P.; Joncour, A. Efficient Synthesis of a 5-HT2C Receptor Agonist Precursor. Org. Process Res. Dev. 2005, 9, 508–512. [Google Scholar] [CrossRef]
  30. Dalpozzo, R.; Bartoli, G. Bartoli Indole Synthesis. Curr. Org. Chem. 2005, 9, 163–178. [Google Scholar] [CrossRef]
  31. Madelung, W. Chem. Ber. 1912, 45, 1128.
  32. Houlihan, W.J.; Parrino, V.A.; Uike, Y. Lithiation of N-(2-Alkylphenyl)alkanamides and Related Compounds. A Modified Madelung Indole Synthesis. J. Org. Chem. 1981, 46, 4511–4515. [Google Scholar] [CrossRef]
  33. Tyson, F.T. Indole Preparation. J. Am. Chem. Soc. 1941, 63, 2024–2025. [Google Scholar] [CrossRef]
  34. Galat, A.; Friedman, H.L. Indole from Formyl-toluidine. J. Am. Chem. Soc. 1948, 70, 1280–1281. [Google Scholar] [CrossRef]
  35. Tyson, F.T. Preparation of Indole. J. Am. Chem. Soc. 1950, 72, 2801–2803. [Google Scholar] [CrossRef]
  36. Quintanilla-Licea, R.; Colunga-Valladares, J.F.; Caballero-Quintero, A.; Rodríguez-Padilla, C.; Tamez-Guerra, R.; Gomez-Flores, R.; Waksman, N. NMR Detection of Isomers Arising from Restricted Rotation of C-N Amide Bond of N-formyl-o-toluidine and N,N’-bis-formyl-o-tolidine. Molecules 2002, 7, 662–673. [Google Scholar] [CrossRef]
  37. Vogel, A.I.; Furniss, B.S. Vogel’s Textbook of Practical Organic Chemistry, Including Qualitative Organic Analysis; Longman: London and New York, 1978; pp. 885–886. [Google Scholar]
  38. Tyson, F.T. Indole. Org. Synth. Coll. Vol. III 1955, 479–482. [Google Scholar]
  39. Hiremat, S.P.; Hosmane, R.S. Applications of Nuclear Magnetic Resonance Spectroscopy to Heterocyclic Chemistry: Indole and its Derivatives. In Advances in Heterocyclic Chemistry; Katritzky, A.R., Boulton, A.J., Eds.; Academic Press: New York and London, 1973; Vol. 15, pp. 278–324. [Google Scholar]
  40. Crabb, T.A. Nuclear Magnetic Resonance of Alkaloids. In Annual Reports on NMR Spectroscopy; Webb, G.A., Ed.; Academic Press: London, 1978; Vol. 8, pp. 2–198. [Google Scholar]
  41. Ernst, L.; Kang, S. Carbon-13 NMR Spectroscopy of Substituted Indoles and Tryptamines. J. Chem. Res. (S) 1981, 259, J. Chem. Res. (M) 1981, 3019-3027. [Google Scholar]
  42. Integrated Spectral Data Base System for Organic compounds. [a] SDBS No. 717HSP-49-404; [b] SDBS No. 717CDS-00-313. http://www.aist.go.jp/RIODB/SDBS.
  43. Beller, M.; Breindl, C.; Riermeier, T.H.; Tillack, A. Synthesis of 2,3-Dihydroindoles, Indoles, and Anilines by Transition Metal-Free Amination of Aryl chlorides. J. Org. Chem. 2001, 66, 1403–1412. [Google Scholar] [CrossRef] [PubMed]
  44. Gossler, H.; Plieninger, H. Indoles by Reduction of Isatines, II – Synthesis and Properties of Biindoles. Liebigs Ann. Chem. 1977, 1953–1958. [Google Scholar]
  45. Suvorov, N.N.; Samsoniya, Sh.A.; Chilikin, L.G.; Chikvadize, I.Sh.; Turchin, K.F.; Efimova, T.K.; Tret’yakova, L.G.; Gverdtsiteli, I.M.; Bisindoles, I. Synthesis of 3,5’- and 5,5’-bis-1H-indoles. Khim. Geterotsikl. Soedin. 1978, 217–224. [Google Scholar]
  46. Rollin, Y.; Troupel, M.; Tuck, D. G.; Perichon, J. The Coupling of Organic Groups by the Electrochemical Reduction of Organic Halides: Catalysis by 2,2’-bipyridinenickel Complexes. J. Organomet. Chem. 1986, 303, 131–137. [Google Scholar] [CrossRef]
  47. Courtois, V.; Barhdadi, R.; Troupel, M.; Perichon, J. Electroreductive Coupling of Organic Halides in Alcoholic Solvents. An Example: the Electrosynthesis of Biaryls Catalyzed by Nickel-2,2’-bipyridine Complex. Tetrahedron 1997, 53, 11569–11576. [Google Scholar] [CrossRef]
  • Sample availability: Available from the author.
Scheme 1. Naturally-occurring indoloquinolizines.
Scheme 1. Naturally-occurring indoloquinolizines.
Molbank 2006 m474 sch001
Scheme 2. Teuber’s reaction for synthesis of indoloquinolizines.
Scheme 2. Teuber’s reaction for synthesis of indoloquinolizines.
Molbank 2006 m474 sch002
Scheme 3. Synthesis of dimeric indoloquinolizine 10.
Scheme 3. Synthesis of dimeric indoloquinolizine 10.
Molbank 2006 m474 sch003
Scheme 4. Retrosynthesis of dimeric indoloquinolizine 11.
Scheme 4. Retrosynthesis of dimeric indoloquinolizine 11.
Molbank 2006 m474 sch004
Scheme 5. Madelung´s indole reaction.
Scheme 5. Madelung´s indole reaction.
Molbank 2006 m474 sch005
Scheme 6. Synthesis of 5,5´-biindole 13.
Scheme 6. Synthesis of 5,5´-biindole 13.
Molbank 2006 m474 sch006
Figure 1. HMBC spectra of indole 15.
Figure 1. HMBC spectra of indole 15.
Molbank 2006 m474 g001
Figure 2. HMBC spectra of 5,5’-biindole 13.
Figure 2. HMBC spectra of 5,5’-biindole 13.
Molbank 2006 m474 g002
Table 1. 1H(400 MHz) and 13C (100MHz) NMR spectral data for indole 15 in DMSO-d6, including results obtained by heteronuclear 2D shift-correlated HMQC (1JCH) and HMBC (nJCH, n=2 and 3). Chemical shifts (d, ppm) and coupling constants (J, Hz, in parenthesis).a
Table 1. 1H(400 MHz) and 13C (100MHz) NMR spectral data for indole 15 in DMSO-d6, including results obtained by heteronuclear 2D shift-correlated HMQC (1JCH) and HMBC (nJCH, n=2 and 3). Chemical shifts (d, ppm) and coupling constants (J, Hz, in parenthesis).a
POSITIONdHdCbDEPT 135COSY 1H-1H
Correlations
cHMQC
1JCH
cHMBC (12Hz)
2JCH3JCH
1 (N-H)11.08 (s) H-2
27.33 (t, 2.65)125.07(+) CHN-H, H-3H-2H-3
36.42 (d, 2.65)100.84(+) CHH-2, H-4H-3H-2
3a 127.47(0) Cq H-3H-2, H-5,
H-7
47.53 (d, 7.82)119.87(+) CHH-5H-4 H-6
56.98 (t, 7.37)118.64(+) CHH-4H-5 H-7
67.07 (t, 7.52)120.75(+) CHH-7H-6 H-4
77.39 (d, 8.06)111.26(+) CHH-6H-7 H-5
7a 135.71(0) Cq H-2, H-3,
H-4, H-6
a)
Number of hydrogens bound to carbon atoms deduced by comparative analysis of DEPT 135-13C-NMR spectra. Chemical shifts and coupling constants (J) obtained of 1D 1H-NMR spectrum
b)
DEPT shows CH, CH2, CH3, Cq
c)
Correlation from C to the indicated hydrogens
Table 2. 1H(400 MHz) and 13C (100MHz) NMR spectral data for 5,5’-biindole 13 in DMSO-d6, including results obtained by heteronuclear 2D shift correlated HMQC (1JCH) and HMBC (nJCH, n=2 and 3). Chemical shifts (d, ppm) and coupling constants (J, Hz, in parenthesis).a
Table 2. 1H(400 MHz) and 13C (100MHz) NMR spectral data for 5,5’-biindole 13 in DMSO-d6, including results obtained by heteronuclear 2D shift correlated HMQC (1JCH) and HMBC (nJCH, n=2 and 3). Chemical shifts (d, ppm) and coupling constants (J, Hz, in parenthesis).a
bPOSITIONdHdCcDEPT 135COSY 1H-1H
Correlations
dHMQC
1JCH
dHMBC (12Hz)
2JCH3JCH
1 (N-H)11.06 (s) H-2, H-3
27.34 (s)125.59(+) CHN-H, H-3H-2H-3
36.46 (s)101.22(+) CHH-2H-3H-2H-4
3a 128.18(0) Cq H-3H-2, H-7
47.77 (s)117.81(+) CH H-4 H-6
5 133.12(0) Cq H-7
67.39 (d, 8.42)120.72(+) CHH-7H-6 H-4
77.44 (d, 8.38)111.45(+) CHH-6H-7
7a 134.80(0) Cq H-2, H-3, H-4, H-6
a)
Number of hydrogens bound to carbon atoms deduced by comparative analysis of DEPT 135-13C-NMR spectra. Chemical shifts and coupling constants (J) obtained of 1D 1H NMR spectrum
b)
Corresponding also to positions 1’-7a’ due to symmetry of the molecule
c)
DEPT shows CH, CH2, CH3, Cq
d)
Correlation from C to the indicated hydrogens

Share and Cite

MDPI and ACS Style

Quintanilla-Licea, R.; Colunga-Valladares, J.F.; Caballero-Quintero, A.; Waksman, N.; Gomez-Flores, R.; Rodríguez-Padilla, C.; Tamez-Guerra, R. 5,5’-Biindole. Molbank 2006, 2006, M474. https://doi.org/10.3390/M474

AMA Style

Quintanilla-Licea R, Colunga-Valladares JF, Caballero-Quintero A, Waksman N, Gomez-Flores R, Rodríguez-Padilla C, Tamez-Guerra R. 5,5’-Biindole. Molbank. 2006; 2006(2):M474. https://doi.org/10.3390/M474

Chicago/Turabian Style

Quintanilla-Licea, Ramiro, Juan F. Colunga-Valladares, Adolfo Caballero-Quintero, Noemí Waksman, Ricardo Gomez-Flores, Cristina Rodríguez-Padilla, and Reyes Tamez-Guerra. 2006. "5,5’-Biindole" Molbank 2006, no. 2: M474. https://doi.org/10.3390/M474

APA Style

Quintanilla-Licea, R., Colunga-Valladares, J. F., Caballero-Quintero, A., Waksman, N., Gomez-Flores, R., Rodríguez-Padilla, C., & Tamez-Guerra, R. (2006). 5,5’-Biindole. Molbank, 2006(2), M474. https://doi.org/10.3390/M474

Note that from the first issue of 2016, this journal uses article numbers instead of page numbers. See further details here.

Article Metrics

Back to TopTop