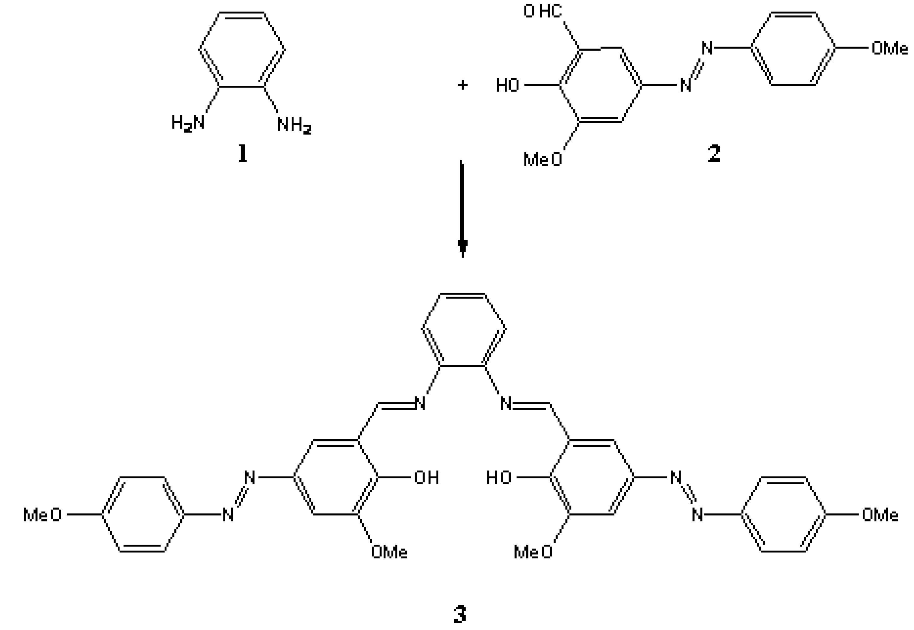
Synthesis of novel azo Schiff base bis[5-(4-methoxyphenylazo)-2-hydroxy -3-methoxy benzaldehyde]-1,2-phenylene diimine

Supplementary materials
Supplementary File 1Supplementary File 2Supplementary File 3Acknowledgment
References
- Karia, F. D.; Parsania, P. H. Asian J. Chem. 1999, 11(3), 991–995.
- More, P. G.; Bhalvankar, R. B.; Pattar, S. C. J. Indian Chem Soc. 2001, 78(9), 474–475.
- El-masry, A. H.; Fahmy, H. H.; Abdelwahed, S. H. A. Molecules 2000, 5, 1429–1438. [CrossRef]
- Baseer, M. A.; Jadhav, V. D.; Phule, R. M.; Archana, Y. V.; Vibhute, Y. B. Orient. J. Chem. 2000, 16(3), 553–556.
- Pandeya, S. N.; Sriram, D.; Nath, G.; De Clercq, E. IL Farmaco 1999, 54, 624–628. [PubMed]
- Singh, W. M.; Dash, B. C. Pesticides 1988, 22(11), 33–37.
- Hodnett, E. M.; Dunn, W. J. J. Med. Chem. 1970, 13, 768–770. [CrossRef] [PubMed]
- Desai, S. B.; Desai, P. B.; Desai, K.R. Hetrocycl. Commun. 2001, 7(1), 83–90.
- Pathak, P.; Jolly, V. S.; Sharma, K. P. Oriental. J. Chem. 2000, 16(1), 161–162.
- Samadhiya, S.; Halve, A. Orient. J. Chem. 2001, 17(1), 119–122.
- Aydogan, F.; Öcal, N.; Turgut, Z.; Yolacan, C. Bull. Korean Chem. Soc. 2001, 22, 476–480.
- Taggi, A. E.; Hafez, A. M.; Wack, H.; Young, B.; Ferraris, D.; Lectka, T. J. Am. Chem. Soc. 2002, 124, 6626–6635. [CrossRef]
- Hansongnern, K.; Tempiam, S.; liou, J.-C.; Laio, F.-L.; Lu, T.-H. Analytical Sciences 2003, 19, x13–x14.
- Croot, P. L.; Johansson, M. Electroanalysis 2000, 12, 565–576. [CrossRef]
- Choi, D.; Lee, S. K.; Chung, T. D.; Kim, H. Electroanalysis 2000, 12, 477–482. [CrossRef]
- Alka, P.; Vinod, P.; Jolly, V. S. Orient. J. Chem. 1994, 10(1), 73–74.
- Halve, A.; Goyal, A. Orient. J. Chem. 2001, 12(1), 87–88.
- Furniss, B. S.; Hannaferd, A. J.; Rogers, V.; Smith, P. W. G.; Tatchell, A. R. Vogel’s Textbook of Practical Organic Chemistry, 4th ed.; Longman Inc.: New York, 1981; p. 716. [Google Scholar]
- Sample Availability : Available from MDPI.
© 2004 MDPI. All rights reserved.
Share and Cite
Jarrahpour, A.A.; Zarei, M. Synthesis of novel azo Schiff base bis[5-(4-methoxyphenylazo)-2-hydroxy -3-methoxy benzaldehyde]-1,2-phenylene diimine. Molbank 2004, 2004, M377. https://doi.org/10.3390/M377
Jarrahpour AA, Zarei M. Synthesis of novel azo Schiff base bis[5-(4-methoxyphenylazo)-2-hydroxy -3-methoxy benzaldehyde]-1,2-phenylene diimine. Molbank. 2004; 2004(1):M377. https://doi.org/10.3390/M377
Chicago/Turabian StyleJarrahpour, A. A., and M. Zarei. 2004. "Synthesis of novel azo Schiff base bis[5-(4-methoxyphenylazo)-2-hydroxy -3-methoxy benzaldehyde]-1,2-phenylene diimine" Molbank 2004, no. 1: M377. https://doi.org/10.3390/M377
APA StyleJarrahpour, A. A., & Zarei, M. (2004). Synthesis of novel azo Schiff base bis[5-(4-methoxyphenylazo)-2-hydroxy -3-methoxy benzaldehyde]-1,2-phenylene diimine. Molbank, 2004(1), M377. https://doi.org/10.3390/M377
