Effect of Locked-Nucleic Acid on a Biologically Active G-Quadruplex. A Structure-Activity Relationship of the Thrombin Aptamer
Abstract
:Introduction
Results and Discussion
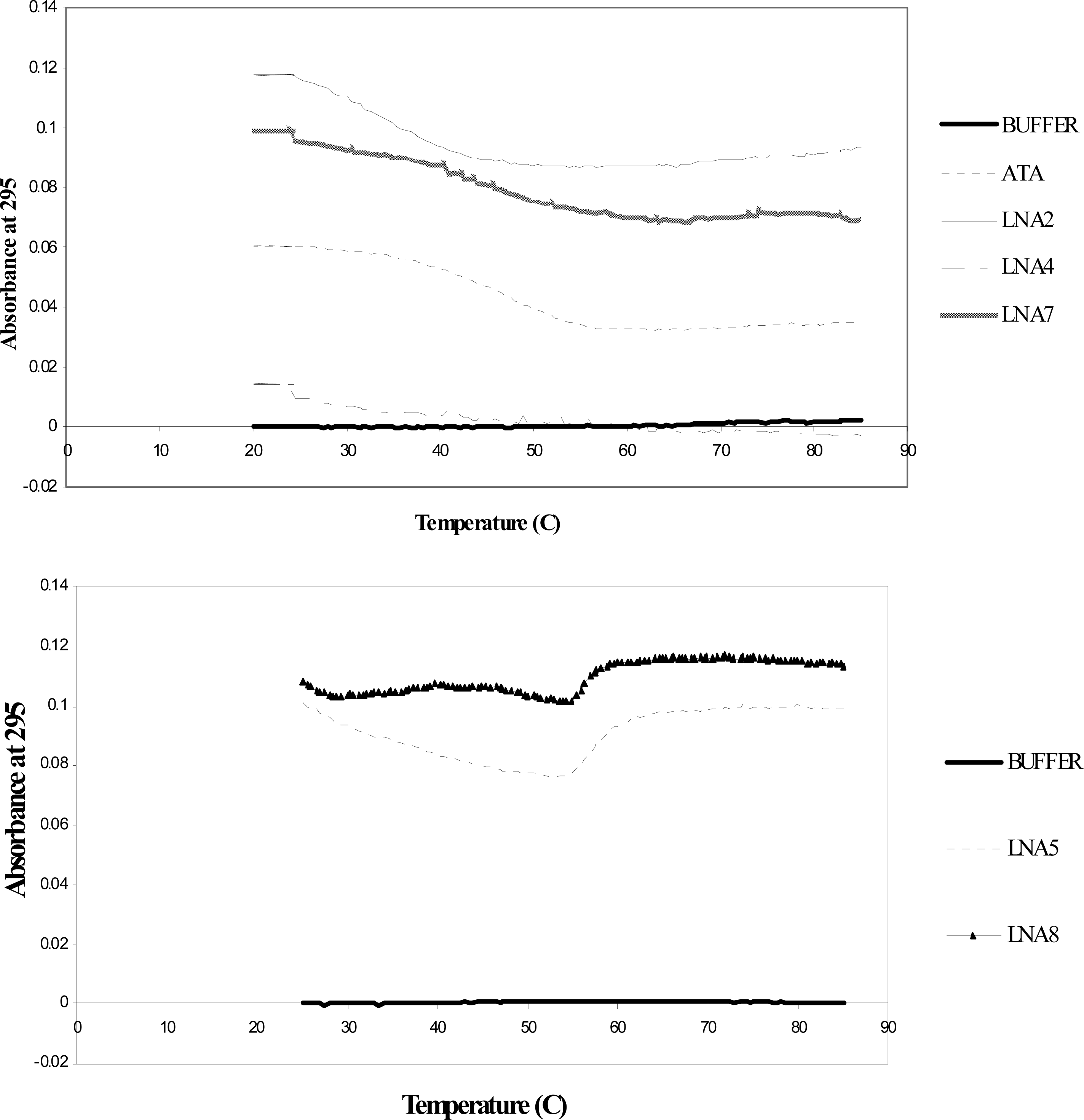
Biophysical Characterization of Thrombin Aptamers
Biological Activity of Thrombin Aptamers
Experimental Procedures
Materials
Oligonucleotides
General Materials
Methods
Fibrin Clotting Assays
Heparin Template Curves
Thermal Stability Analysis
Circular Dichroism
Acknowledgments
References and Notes
- Hotoda, H; Koizumi, M; Koga, R; Kaneko, M; Momota, K; Ohmine, T; Furukawa, H; Agatsuma, T; Nishigaki, T; Sone, J; Tsutsumi, S; Kosaka, T; Abe, K; Kimura, S; Shimada, K. Biologically active oligodeoxyribonucleotides. 5. 5′-End-substituted d(TGGGAG) possesses anti-human immunodeficiency virus type 1 activity by forming a G-quadruplex structure. J. Med. Chem. 1998, 41, 3655–3663. [Google Scholar] [Green Version]
- Dapic, V; Bates, PJ; Trent, JO; Rodger, A; Thomas, SD; Miller, DM. Antiproliferative activity of G-quartet-forming oligonucleotides with backbone and sugar modifications. Biochemistry 2002, 41, 3676–3785. [Google Scholar] [Green Version]
- Griffin, LC; Tidmarsh, GF; Bock, LC; Toole, JJ; Leung, LL. In vivo anticoagulant properties of a novel nucleotide-based thrombin inhibitor and demonstration of regional anticoagulation in extracorporeal circuits. Blood 1993, 81, 3271–3276. [Google Scholar] [Green Version]
- Macaya, RF; Schultze, P; Smith, FW; Roe, JA; Feigon, J. Thrombin-binding DNA aptamer forms a unimolecular quadruplex structure in solution. Proc. Natl. Acad. Sci. USA 1993, 90, 3745–3749. [Google Scholar] [Green Version]
- Padmanabhan, K; Padmanabhan, KP; Ferrara, JD; Sadler, JE; Tulinsky, A. The structure of alpha-thrombin inhibited by a 15-mer single-stranded DNA aptamer. J. Biol. Chem. 1993, 268, 17651–17654. [Google Scholar] [Green Version]
- Li, WX; Kaplan, AV; Grant, GW; Toole, JJ; Leung, LL. A novel nucleotide-based thrombin inhibitor inhibits clot-bound thrombin and reduces arterial platelet thrombus formation. Blood 1994, 83, 677–682. [Google Scholar] [Green Version]
- Keniry, MA. Quadruplex structures in nucleic acids. Biopolymers 2000, 56, 123–146. [Google Scholar] [Green Version]
- Kelly, JA; Feigon, J; Yeates, TO. Reconciliation of the X-ray and NMR structures of the thrombin-binding aptamer d(GGTTGGTGTGGTTGG). J. Mol. Biol. 1996, 256, 417–422. [Google Scholar] [Green Version]
- Dominick, PK; Jarstfer, MB. A conformationally constrained nucleotide analogue controls the folding topology of a DNA g-quadruplex. J. Am. Chem. Soc. 2004, 126, 5050–5051. [Google Scholar] [Green Version]
- Petersen, M; Wengel, J. LNA: a versatile tool for therapeutics and genomics. Trends Biotechnol. 2003, 21, 74–81. [Google Scholar] [Green Version]
- Kaur, H; Babu, BR; Maiti, S. Perspectives on chemistry and therapeutic applications of Locked Nucleic Acid (LNA). Chem. Rev. 2007, 107, 4672–4697. [Google Scholar] [Green Version]
- Dash, C; Yi-Brunozzi, HY; Le Grice, SF. Two modes of HIV-1 polypurine tract cleavage are affected by introducing locked nucleic acid analogs into the (–) DNA template. J. Biol. Chem. 2004, 279, 37095–37102. [Google Scholar] [Green Version]
- Johnson, MP; Haupt, LM; Griffiths, LR. Locked nucleic acid (LNA) single nucleotide polymorphism (SNP) genotype analysis and validation using real-time PCR. Nucleic Acids Res. 2004, 32, e55. [Google Scholar] [Green Version]
- Schubert, S; Furste, JP; Werk, D; Grunert, HP; Zeichhardt, H; Erdmann, VA; Kurreck, J. Gaining target access for deoxyribozymes. J. Mol. Biol. 2004, 339, 355–363. [Google Scholar] [Green Version]
- Braasch, DA; Corey, DR. Locked nucleic acid (LNA): fine-tuning the recognition of DNA and RNA. Chem. Biol. 2001, 8, 1–7. [Google Scholar] [Green Version]
- Simonsson, T. G-quadruplex DNA structures--variations on a theme. Biol. Chem. 2001, 382, 621–628. [Google Scholar] [Green Version]
- Randazzo, A; Esposito, V; Ohlenschlager, O; Ramachandran, R; Virgilio, A; Mayol, L. Structural studies on LNA quadruplexes. Nucleosides Nucleotides Nucleic Acids 2005, 24, 795–800. [Google Scholar] [Green Version]
- Virno, A; Randazzo, A; Giancola, C; Bucci, M; Cirino, G; Mayol, L. A novel thrombin binding aptamer containing a G-LNA residue. Bioorg. Med. Chem. 2007, 15, 5710–5718. [Google Scholar] [Green Version]
- Griffith, MJ; Noyes, CM; Church, CF. Reactive site peptide structural similarity between heparin cofactor II and antithrombin III. J. Biol. Chem. 1985, 260, 2218–2225. [Google Scholar] [Green Version]
- Holland, CA; Henry, AT; Whinna, HC; Church, FC. Effect of oligodeoxynucleotide thrombin aptamer on thrombin inhibition by heparin cofactor II and antithrombin. FEBS Lett. 2000, 484, 87–91. [Google Scholar] [Green Version]
- Ciaccia, AV; Monroe, DM; Church, FC. Arginine 200 of heparin cofactor II promotes intramolecular interactions of the acidic domain. Implication for thrombin inhibition. J. Biol. Chem. 1997, 272, 14074–14079. [Google Scholar] [Green Version]
- Mergny, JL; Phan, AT; Lacroix, L. Following G-quartet formation by UV-spectroscopy. FEBS Lett. 1998, 435, 74–78. [Google Scholar] [Green Version]
- Tsiang, M; Gibbs, CS; Griffin, LC; Dunn, KE; Leung, LL. Selection of a suppressor mutation that restores affinity of an oligonucleotide inhibitor for thrombin using in vitro genetics. J. Biol. Chem. 1995, 270, 19370–19736. [Google Scholar] [Green Version]






| Name | dA/dT (°C)a | Oligonucleotideb |
|---|---|---|
| ATA | 48.1 | 5′d(GGTTGGTGTGGTTGG) |
| LNA-G2 | 33.48 | 5′d(-G----------------) |
| LNA-T4 | n.d.b | 5′d(---T---------------) |
| LNA-G5 | 50.7 | 5′d(----G--------------) |
| LNA-T7 | 43.4 | 5′d(-------T------------) |
| LNA-G8 | 50 | 5′d(----------G---------) |
Share and Cite
Bonifacio, L.; Church, F.C.; Jarstfer, M.B. Effect of Locked-Nucleic Acid on a Biologically Active G-Quadruplex. A Structure-Activity Relationship of the Thrombin Aptamer. Int. J. Mol. Sci. 2008, 9, 422-433. https://doi.org/10.3390/ijms9030422
Bonifacio L, Church FC, Jarstfer MB. Effect of Locked-Nucleic Acid on a Biologically Active G-Quadruplex. A Structure-Activity Relationship of the Thrombin Aptamer. International Journal of Molecular Sciences. 2008; 9(3):422-433. https://doi.org/10.3390/ijms9030422
Chicago/Turabian StyleBonifacio, Laura, Frank C. Church, and Michael B. Jarstfer. 2008. "Effect of Locked-Nucleic Acid on a Biologically Active G-Quadruplex. A Structure-Activity Relationship of the Thrombin Aptamer" International Journal of Molecular Sciences 9, no. 3: 422-433. https://doi.org/10.3390/ijms9030422
APA StyleBonifacio, L., Church, F. C., & Jarstfer, M. B. (2008). Effect of Locked-Nucleic Acid on a Biologically Active G-Quadruplex. A Structure-Activity Relationship of the Thrombin Aptamer. International Journal of Molecular Sciences, 9(3), 422-433. https://doi.org/10.3390/ijms9030422
