Exploring QSAR of Non-Nucleoside Reverse Transcriptase Inhibitors by Neural Networks: TIBO Derivatives
Abstract
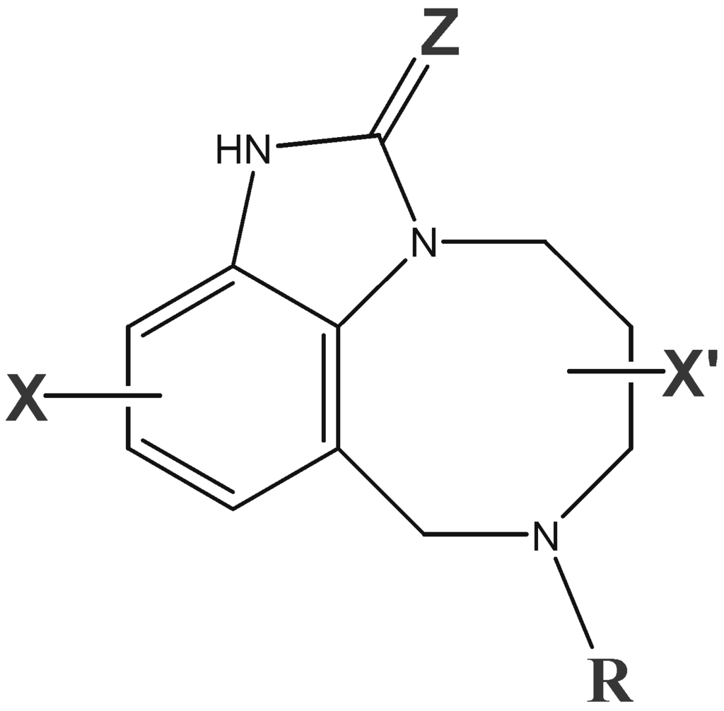
:Introduction

Materials and Methods

Results and Discussion
| Architecture | R² | SEC |
| 4-5-1 | 0.910 | 0.432 |
| 4-6-1 | 0.924 | 0.395 |
| 4-7-1 | 0.925 | 0.394 |
| 4-8-1 | 0.924 | 0.395 |
| 4-9-1 | 0.923 | 0.399 |
| 4-10-1 | 0.922 | 0.401 |
| 4-11-1 | 0.927 | 0.388 |
| 4-12-1 | 0.923 | 0.399 |
| 4-13-1 | 0.928 | 0.387 |
| MLR [4] | 0.861 | 0.550 |
| Architecture | R² | SEP |
| 4-5-1 | 0.834 | 0.586 |
| 4-6-1 | 0.844 | 0.567 |
| 4-7-1 | 0.845 | 0.565 |
| 4-8-1 | 0.842 | 0.571 |
| 4-9-1 | 0.839 | 0.576 |
| 4-10-1 | 0.841 | 0.573 |
| 4-11-1 | 0.840 | 0.575 |
| 4-12-1 | 0.843 | 0.570 |
| 4-13-1 | 0.841 | 0.572 |

Conclusion
References
- De Clercq, E. Perspective of Non-Nucleoside Reverse Transcriptase Inhibitors (NNRTIs) in the Therapy of HIV-1 Infection. Il Farmaco 1999, 54, 26–45. [Google Scholar]
- Pauwels, R.; Andries, K.; Desmyter, J.; Schols, D.; Kukla, M. J.; Breslin, H. J.; Raeymaechers, A.; Gelder, J. V.; Woestenborgs, R.; Heykants, J.; Schellekens, K.; Janssen, M. A. C.; De Clercq, E.; Janssen, P. A. J. Potent and Selective Inhibition of HIV-1 Replication in vitro by a Novel Series of TIBO Derivatives. Nature 1990, 343, 470–474. [Google Scholar] [CrossRef] [PubMed]
- Hannongbua, S.; Pungpo, P.; Limtrakul, J.; Wolschann, P. Quantitative Structure-Activity Realationships and Comparative Molecular Field Analysis of TIBO Derivatives HIV-1 Reverse Transcriptase Inhibitors. J. Comput.–Aided. Mol. Des. 1999, 7, 2283–2292. [Google Scholar]
- Garg, R.; Gupta, S. P.; Gao, H.; Babu, M. S.; Debnath, A. K. Comparative Quantitative Structure-Activity Relationship Studies on Anti-HIV Drugs. Chem. Rev. 1999, 99, 3525–3601. [Google Scholar] [CrossRef]
- Huuskonen, J. QSAR Modeling with the Electrotopological State: TIBO Derivatives. J.Chem. Inf. Comput. Sci. 2001, 41, 425–429. [Google Scholar] [CrossRef] [PubMed]
- Barreca, M. L.; carotti, A.; Carrieri, A.; Chimirri, A.; Monforte, A. M.; pellegrini Calace, M.; Rao, A. Comparative Molecular Field Analysis (CoMFA) and Doking Studies of Non-Nucleoside HIV-1 RT Inhibitors (NNIs). Bioorg. Med. Chem. 1999, 7, 2283–2292. [Google Scholar] [CrossRef] [PubMed]
- Freeman, J. A.; Skapura, D. M. Neural Networks Algorithms, Applications, and programming Techniques; Addition Wesley Publishing Company: Reading, 1991; pp. 89–125. [Google Scholar]
- Douali, L.; Villemin, D.; Cherqaoui, D. Comparative QSAR based on Neural Networks for the Anti-HIV Activity of HEPT Derivatives. Curr. Pharm. Des. 2003, 9, 1817–1826. [Google Scholar] [CrossRef] [PubMed]
- Douali, L.; Villemin, D.; Cherqaoui, D. Neural Networks: Accurate non-linear QSAR Model for HEPT Derivatives. J. Chem. Inf. Comput. Sci. 2003, 43, 1200–1207. [Google Scholar] [CrossRef] [PubMed]
- J. Zupan, J.; Gasteiger, J. Neural Networks for Chemists. An Introduction; VCH Publishers: Weinheim (Germany), 1993. [Google Scholar]
- Mghazli, S.; Jaouad, A.; Mansour, M.; Villemin, D.; Cherqaoui, D. Neural Networks Studies: quantitative structure-activity relationships of antifungal 1-[2-(substituted phenyl)allyl]imidazoles and related compounds. Chemosphere 2001, 43, 385–390. [Google Scholar] [PubMed]
- Elkhou, K.; Afifi, A.; Kabbaj, M.; Villemin, D.; Cherqaoui, D. QSAR Analysis of Estrogen Receptor Ligands Using Neural Networks. ACH Models in Chemistry 2000, 137, 633–642. [Google Scholar]
- Jalali-Heravi, M.; Parastar, F. Use of Artificial Neural Network in a QSAR Study of Anti-HIV Activity for a Large Group of HEPT Derivatives. J. Chem. Inf. Comput. Sci. 2000, 40, 147–154. [Google Scholar] [CrossRef] [PubMed]
- Bazoui, H.; Zahouily, M.; Boulaajaj, S.; Sebti, S.; Zakarya, D. QSAR for anti-HIV activity of HEPT derivatives. SAR QSAR Environ. Res. 2002, 13, 567–577. [Google Scholar] [CrossRef] [PubMed]
- Cherqaoui, D.; Villemin, D. Use of a Neural Network to determine Boiling Point of Alkanes. J. Chem. Soc. Faraday Trans. 1994, 90, 97–102. [Google Scholar] [CrossRef]
- So, S.; Richards, G. Application of Neural Networks: Quantitative Structure-Activity Relationships of the Derivatives of 2,4- Diamino-5-(substituted-benzyl) pyrimidines as DHFR Inhibitors. J. Med. Chem. 1992, 35, 3201–3207. [Google Scholar] [CrossRef] [PubMed]
- Andrea, T. A.; Kalayeh, H. Application of Neural Networks in Quantitative Structure-Activity Relationships of Dihydrofolate Reductase Inhibitors. J. Med. Chem. 1991, 34, 2824–2836. [Google Scholar] [CrossRef] [PubMed]
- Cherqaoui, D.; Esseffar, M.; Villemin, D.; Cense, J. M.; Chastrette, M.; Zakarya, D. Structure-musk odour relationships studies of tetralin and indan compounds using neural networks. New J. Chem. 1998, 22, 839–843. [Google Scholar]
© 2004 by MDPI (http://www.mdpi.org). Reproduction for noncommercial purposes permitted.
Share and Cite
Douali, L.; Villemin, D.; Cherqaoui, D. Exploring QSAR of Non-Nucleoside Reverse Transcriptase Inhibitors by Neural Networks: TIBO Derivatives. Int. J. Mol. Sci. 2004, 5, 48-55. https://doi.org/10.3390/i5020048
Douali L, Villemin D, Cherqaoui D. Exploring QSAR of Non-Nucleoside Reverse Transcriptase Inhibitors by Neural Networks: TIBO Derivatives. International Journal of Molecular Sciences. 2004; 5(2):48-55. https://doi.org/10.3390/i5020048
Chicago/Turabian StyleDouali, Latifa, Didier Villemin, and Driss Cherqaoui. 2004. "Exploring QSAR of Non-Nucleoside Reverse Transcriptase Inhibitors by Neural Networks: TIBO Derivatives" International Journal of Molecular Sciences 5, no. 2: 48-55. https://doi.org/10.3390/i5020048
APA StyleDouali, L., Villemin, D., & Cherqaoui, D. (2004). Exploring QSAR of Non-Nucleoside Reverse Transcriptase Inhibitors by Neural Networks: TIBO Derivatives. International Journal of Molecular Sciences, 5(2), 48-55. https://doi.org/10.3390/i5020048
