Abstract
The present review summarizes the information available on the ab initio calculations of spin-spin nuclear coupling constants through hydrogen bonds or in van der Waals complexes. It also reports the sources of experimental data on nhJXY scalar couplings.
Introduction
We intend to summarize the present knowledge about the ab initio calculations of coupling constants in non bonded systems, also called supermolecules. Bonded means here, covalently bonded, because most supermolecules are formed by fragments linked together by hydrogen bonds (HBs). We will start with a brief summary of the theory of scalar coupling constants followed by the ab initio approach to these magnitudes. Then, the three main sections will be devoted to "Hydrogen bonded molecules: couplings through a hydrogen bond", to "Hydrogen bonded molecules: couplings through a dihydrogen bond" and to "Van der Waals complexes".
According to the IUPAC recommendations [1], nJ should be used for nuclear spin-spin coupling constants through n bonds (usually given in frequency units) Parentheses may be used (for example) to indicate the species of nuclei coupled, e.g. J(13C,1H) or, additionally, the coupling path, e.g. J(POCF). Where no ambiguity arises, the elements involved can be, alternatively, given as subscripts, e.g. JCH. The nucleus of higher mass should be given first. nK, is the reduced nuclear spin-spin coupling constant defined as Kjk = 4π2Jjk/hγjγk, [2] where h is the Planck constant and γi,γj are the magnetogyric ratios of i and j nuclei (a list of γs can be found in http://www.eclipse.net/~numare/nsinmrpt.htm). Reduced coupling constants are useful when comparing coupling constants for different isotopes. K is given in N A-2 m-3, the only problem is that due to the small value of h (6.626176 x 10-34 J Hz-1), K is very large and usually given in 1019 to 1021 units. For instance, 1JCH in methane is equal to 125 Hz, since γ1H = 26.7510 * 107 and γ13C = 6.7283*107 rad T-1 s-1, 1KCH = 4.141*1020 N A-2 m-3. The use of reduced coupling constants avoids some misunderstandings when comparing couplings between different nuclei, for instance, the fact that 2hJNH (9 Hz) is larger than 1hJNN (3 Hz) has been described as counterintuitive [3]. The corresponding reduced couplings are 2hKNH = 0.74 • 1020 and 1hKNN = 2.43 • 1020 N A-2 m-3.
Couplings through hydrogen bonds are usually named nhJ (other authors used hnJ, a unification by the IUPAC of the notation seems highly desirable) where h stands for hydrogen bond and n is the number of bonds, including the HB, that separates the coupled nuclei.
The theory of scalar spin-spin coupling constants
Magnetic phenomena are included consistently in the Dirac relativistic equation. However, nonrelativistic limit (Pauli) is usually sufficient for interpretation of NMR experiments [4] if heavy atoms are excluded. Quantum mechanically, the scalar coupling can be defined as the mixed second derivative of the energy of the molecule with respect to the magnetic moments of two nuclei:
JIS,xy = ∂2E/∂µI,x∂µS,y
It can be subdivided into four distinct components:
- – Fermi contact (FC), HFC.
- – Paramagnetic spin-orbit (PSO), HPSO.
- – Diamagnetic spin-orbit (DSO), HDSO.
- – Spin-dipolar (SD), HSD.
- H = HFC + HPSO + HDSO + HSD (1)
In general, the most important contribution to the scalar coupling is the Fermi contact term, the exception being coupling constants involving fluorine atoms, in particular 19F···19F couplings. This term relies on the probability of finding an electron at the site of the two coupled nuclei (this term rigorously disappears when there is no overlap between atoms). Concerning the FC term, it is expected that σ electrons will play a very significant role since these are the only electrons that do not have nodes at the nuclear sites. Unlike π or δ orbitals, only σ orbitals have a nonzero value at the site of the nucleus. However, the FC coupling is also transmitted through the π-electronic system owing to exchange interactions between the σ- and π-electronic systems (the FC spin information "leaks" into the p-electronic system). In fact, σ orbitals are characterized by a cusp at the site of the nucleus. Thus, it can be seen that, unlike shielding, scalar coupling calculations will be specially sensitive to the shape of the electronic wavefunctions near the nucleus. This gives rise to the difficulty in using Gaussian functions; the problem stems from the difference between the cusp of a Gaussian orbital and that of an STO one. Thus, scalar coupling calculations are often much more demanding than chemical shifts.
In addition to the direct contact term (an electron actually visiting both nuclei), there is a magnetic interaction through space between the spin-orbit momentum of an electron and that of a nucleus. These two terms are very similar to the ones seen in defining shielding except that both sources of perturbation are nuclear magnetic moments (there is no external magnetic field). Many authors point out that there is a compensation between the PSO and DSO terms.
There is also the spin dipole-dipole interaction between electrons and nuclei. This interaction also does not require the Fermi-contact term. And lastly, there is a mixed Fermi contact, spin dipolar interaction where one interaction is between an electron visiting the site of one of the nuclei and interacting with the other nuclei through space. This interaction is primarily responsible for the observed anisotropy of the coupling tensor.
Ab initio calculations of scalar coupling constants
Concerning the examples found in the literature, they can be classified into three main groups:
- 1a.
- Methods based on DFT (Density Functional Theory).Type DFT-FPT (Pople's Finite Perturbation Theory): Gaussian set of programs.Type SOS (Sum-over-States)-DFPT (Density Finite Perturbation Theory): deMon Package (Salahub, Malkin, Malkina). This method only allows calculating the FC, PSO and DSO terms, not the SD term. Some authors, like Bartlett (see later on), stress that these methods are not recommended for atoms with lone pairs.Type CPDTF-KS (Kohn-Sham operator) used by Cremer and Peralta [5,6].
- 2a.
- Methods based on MCSCF (Multiconfiguration Self Consistent Field): Dalton package (Ruud, Helgaker, see [7] for a detailed discussion about Hartree-Fock and post-Hartree-Fock calculations).
- 3a.
- Methods based on EOM (Equation of Motion)-CCSD (Coupled Cluster Singles and Doubles): ACES package (Gauss, Bartlett, Perera, del Bene).
To these methods correspond different types of functional and basis sets. Here are some representative examples:
- 1b.
- Functionals like VWN, PWP, B3PW91, B3LYP and their unrestricted versions and basis sets like IGLO-III, 6-311G**, 6-31G**.
- 2b.
- Basis sets like IGLO-III, aug-cc-pVDZ, etc.
- 3b.
- Basis sets like aug-cc-pV5Z, aug-cc-pVTZ, etc.
When increasing the distance, the "through-space" couplings decay roughly as an exponential. The results reported by several authors show a Morse curve appearance (quick decrease, minimum value, very small asymptotic increase). For instance, the 129Xe-131Xe coupling, as calculated by Salsbury and Harris [8] shows this behavior: 1JXe···Xe =[1-exp(–0.41 (dXe···Xe – 9.8)]2, r2 = 0.99 (Eq. 1), dXe···Xe being the distance in atomic units (see Figure 1).
Figure 1.
Morse fitting of Salsbury and Harris data (two first points removed)
Figure 1.
Morse fitting of Salsbury and Harris data (two first points removed)

Hydrogen bonded molecules: couplings through a hydrogen bond
The hydrogen-bond-induced changes of the intramolecular spin-spin coupling constants will not be discussed systematically (for instance, 1JNH before and after the NH group was involved in an HB). Any hydrogen bond (HB) of the A–H···B type can adopt three limit situations (we will use IMHB for intramolecular hydrogen bonds): classical, shared and proton transfer. In cases were the proton is shared between A and B the distinction between 1JAH and 1hJB···H disappears; finally, when the proton is completely transferred, the situation again becomes "classical", with 1JBH and 1hJA···H.
Traditional AH···B HBs have normal A···B distances, A–H slightly elongated (relative to the monomer); similarly the ion-pair, B+–H···A, have A···B distances comparable to the preceding case, B+–H slightly elongated (relative to the isolated B+–H cation). The proton-shared structure is characterized by a short A···B distance and an elongation of the A···H and B···H distances.
The contribution of the Bartlett, Perera and Del Bene's group to this topic is so significant that we have decided to divide this section in three parts: a) Other groups [9,10,11,12,13,14,15,16,17,18,19,20,21,22,23,24]; b) Bartlett-Perera-Del Bene [25,26,27,28,29,30,31,32,33,34,35,36]; c) Data analysis [37,38,39,40,41].
a) Other groups. Three publications by Pecul, Sadlej and Leszczynski are noteworthy for the quality of the calculations. In the first one, Pecul and Sadlej [9] described their calculation on water dimer. In the first part they use the conventional case of water monomer (Table 1) to compare different approaches to the calculation of spin-spin coupling constants (they were dominated by the Fermi contact and paramagnetic spin-orbital terms).
Table 1.
The nuclear spin-spin coupling constants (Hz) in the water monomer
| 1JOH | 2JHH | ||
|---|---|---|---|
| Experimental | |||
| cyclohexane | –78.7 | — | |
| nitromethane | –80.6 | –7.3 | |
| Calculated | |||
| MCSCF (RAS4/HIII) | –77.2 | –12.6 | |
| MCSCF (CAS/HIIIa) | –75.2 | –9.3 | |
| EOM-CCSDa | –74.9 | –10.8 |
a From the literature (different authors) [9].
These results show that MCSCF (included in the DALTON program) when used with a basis set of very high quality are comparable to EOM-CCSD calculations. For the water dimer 1, at the RAS level, they found 2hJO1-O2 = 1.6, 1hJO1-H5 = 4.4, 3hJO1-H6 = 0.5, 3hJO2-H3 = 0.2, 2hJH3-H5 = 0.3 and 4hJH3-H6 = –0.08 Hz.
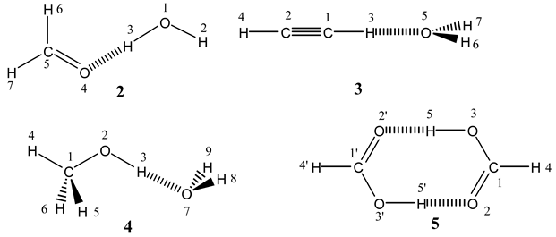
Pecul, Leszczynski and Sadlej published two papers on scalar coupling constants in hydrogen bonded systems. In the first one [10], they studied X-H···O complexes [CH2O–H2O 2, C2H2–H2O 3, CH3OH–H2O 4 and (HCOOH)2 5]. The calculations were carried out at the MCSCF level and the main conclusions are: 1hJOH correlates with the strength of the HB (expressed in terms of the interaction energy); the intermolecular 1hJOH couplings are determined primarily by the FC term (these couplings are similar to those through covalent bonds, what distinguishes them is their magnitude and, more surprisingly, their sign); the 2hJXY couplings through the X-H···Y HB are also dominated by the FC term. In the formic acid dimer 5, the 2hJOO coupling attains 7.1 Hz.
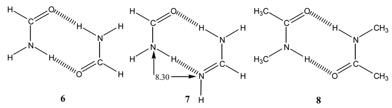
The second paper [11] deals with the important case of N-H···O=C (this last atom is designed C' in most publications following the common use in peptides) and N-H···N=C systems. Thus, formamide dimer (Fa-Fa) 6 and formamide-formamidine dimer (Fa-Fi) 7 have been studied at the MCSCF level. Complex 7 should present a large 2hJNN coupling of 8.3 Hz. Another interesting conclusion is that 2hJCH couplings are positive for N–H···N=C bonds and negative for N–H···O=C bonds. The authors have examined the variation of the couplings with the ON distance, for instance, there is a fast exponential decay of 2hJNN.
Scheurer and Brüschweiler [12] have studied the N-methylacetamide dimer 8 as a model of the trans-hydrogen 3hJNC' coupling involved in polypeptide N–H···O=C' hydrogen bonds (trans here does not mean a trans disposition but that the coupling occurs through the HB). Using the DFT-based methodology of Malkin, Malkina and Salahub (SOS-DFTP), they explored the double dependence of 3hJNC' with the NO distance and the out-of-plane tilt angle and they showed that there exists a linear correlation between 3hJNC' and the isotropic HN chemical shift. They computed also the 2hJNN couplings in guanine/cytosine (5.36 Hz), uracil/adenine (7.65 Hz) and thymine/adenine pairs (6.45 Hz).
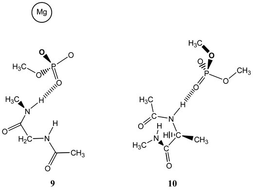
A second paper by Czernek and Brüschweiler [13] is related to the experimental observation of 2hJ(31P-1H) and 3hJ(31P-15N) in protein-nucleotide complexes (see Appendix, Table 7). Using the same methodological approach, they calculated two complex fragments 9 and 10 with different N–H···O=P geometries.
Fragment 9 is a model of Gly15 together with Mg[PO4(CH3)] and fragment 10 is a model of Ala18 together with [PO4(CH3)2]–. They devised a two-dimensional surface of the form:
nhJPX(rNO,αPOH) = a0e–airNO {cos(αPOH – αoffset)}a2
Each value of nhJPX (for a pair of N···O distance and P–O···H angle) depends on a series of parameters that have been calculated. For instance, a0 = –9628.6 Hz, a1 = 2.7232 Å–1, a2 = 2.4761, αoffset = 3.1853 rad for 3hJPN. They proposed to use equation (2) in a similar way to the Karplus equation.
It will be interesting to know whether the type of equation known as the Karplus equation is followed in supramolecular complexes. For instance, if the dependence of 3JFF in compound 11 has a counterpart in 4hJFF in complex 12.
Barfield's contribution is important having published four papers between 1999 and 2002 [14,15,16,17,18]. In his first paper, published with Grzesiek, two DNA triplets 13 (T·A-T) and 14 (C+·G–C) were studied theoretically (DFT-FTP//UB3PW91/6-311G**) to be compared with their experimental results (Table 7 of the Appendix) [14,15]. In these systems, two trans-hydrogen bond 2hJNN and 1hJHN scalar couplings were calculated. Interesting correlations were found between the chemical shift of the proton of the HB and 1hJHN (positive), 2hJNN (positive) and 1JNH (negative), both between calculated values (Eqs. 3 and 4) and between experimental values (Eq. 5).
1JHN = –91.9 + 1.01 δ1H, r2 = 0.984
2hJNN = –9.4 + 1.17 δ1H, r2 = 0.9999
2hJNN = –9.6 + 1.27 δ1H, r2 = 0.861
Barfield, O'Leary et al. measured (see Table 7, Appendix) 2hJHH couplings in 1,3 and 1,4-diols of favorable conformation and computed (DFT/FTP) these couplings for different geometries of the fragment O–H···O–H with acceptable results [16,17]. In his last publication, Barfield addressed the problem of proteins, and specifically, the notorious 3hJNC' coupling [18]. He used as a model, formamide dimer, but instead of a cyclic dimer, like 6, he used a more realistic open-dimer 15.
He found that 3hJNC' depends on rOH, θ1, θ2 and the torsion angle ρ about the C=O bond (H···O=C'–N). Several equations were devised in this very important publication. Those relating 3hJNC' with cos2ρ bear a clear similarity with the Karplus relationship.
The authors of one of the most widely used methods for calculating coupling constants, Malkin and Malkina, collaborated with Limbach in the study of the experimental findings of these last authors (reported in Table 7). Thanks to experiments at very low temperatures (between 110 and 150 K) using freons as solvents, Golubev, Limbach and their coworkers measured 1H-19F coupling constants in fluoride ion/hydrogen fluoride complexes (see Scheme 1) [19].
Scheme 1.
Species formed by mixing HF and tetrabutylammonium fluoride
Scheme 1.
Species formed by mixing HF and tetrabutylammonium fluoride

They measured or estimated all the possible coupling constants that were also calculated at the MCLR-CAS level [19]. This collection of data is still remarkable for the wealth of information it contains being completely apart from peptides, nucleic acids or their combination.
The second publication is of a more theoretical nature [20]. The authors used the famous Steiner-Limbach diagrams, where geometrical (such as q2) and NMR properties (such as δ1H of the H in the HB, nJ and nhJ) were represented against q1:
q1 = (rAH – rH···B)/2
q2 = rAH + rH···B
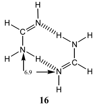
The cases of [F(HF)n]–, n = 1-4, discussed above, of [C≡N…N≡;C]–, formamidine dimer 16 were calculated. For instance, we report below the calculated value (in Hz) of 2hJNN of 16.
Although not reporting coupling constants, a third paper by Limbach is worth quoting because it describes the influence of an electric field on the geometry and properties of A–H···B complexes [21].
Bagno has examined the case of formamide dimer 15 in relation with the case of ubiquitin (see Table 7) [22]. He has built up the coupling surface of 3hJNC' in function of the N···O distance and the dihedral angle. His conclusions, based on FTP/DFT calculations are similar to those of Barfield [18], which were obtained two years later.
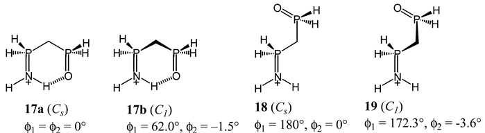
Finally, we have calculated the coupling constants of structures 17-19 in an attempt to determine whether the coupling of 1.5 Hz between 15N and 31P (not directly bonded) is transmitted through the skeleton (4JNP) or through the HB (3hJNP) [23]. Only the Fermi contact term was calculated using the FTP/B3LYP/aug-cc-pVTZ approach. The conclusion is that the main transmission pathway is through the covalent bonds.
Bryce and Wasylishen have modeled the 2hJNN in nucleic acid base pairs using methylene-imine dimer 20 in function of hydrogen bond geometry (rNN and θ) [24]. The variation of 2hJNN as a function of rNN is fit to an exponential decay [rNN = 3.36 – 0.37 ln (2hJNN)]. The influence of θ is less pronounced.
b) Bartlett, Perera, Del Bene's contribution [25,26,27,28,29,30,31,32,33,34,35,36].
Remember that all papers by this group are based on high-level EOM-CCSD calculations. Perera and Bartlett [25] initiated their systematic exploration of scalar couplings through hydrogen-bonds inspired by Limbach-Malkina's paper on [FHF]– and [F(HF)n]– (n = 1-4) [20]. These authors criticize the use of DFT methods when dealing with fluorine atoms "The MCLR results reported for [FHF]– by Limbach et al. are unrealistic". The estimated value for 2hJFF is > 200 Hz, the MCLR calculated value is –133 Hz and the EOM-CCSD value is + 225 Hz. We will see in the following discussion that 19F NMR properties are amongst the most difficult to calculate.
In the second publication of the same authors with Del Bene [26], they examined the case of the "low-barrier" hydrogen bonds, a topic of general interest for its biological implications, trying to find out whether predicted NMR coupling constants across hydrogen bonds can be used as fingerprints for specifying hydrogen bond types. They calculated a certain number of 17O–17O, 15N–15N and 15N–17O systems (Table 2). Amongst their main conclusions are that for these nuclei, the FC term dominates, that the relationship between 2hJOO (Hz) and dOO (Å) shows an exponential decay, and that 2hJNN for dNN = 2.9 Å is 7.2 Hz close to the experimental findings (see Table 7).
Table 2.
NMR total and FC coupling constants (Hz) for A–H–B systems
| Complex | AB | HB typea | dAB (Å) | Fermi-contact (Hz) | Jtotal (Hz) |
|---|---|---|---|---|---|
| O2H5+ | OO | PS | 2.38 | 39.92 | 39.54 |
| O2H3– | OO | PS | 2.44 | 16.28 | 17.96 |
| O2H4 | OO | T | 2.91 | 1.47 | 1.29 |
| +H2OH:NCH | ON | PS | 2.47 | 34.07 | 34.12 |
| HOH:NC– | ON | T | 2.82 | 6.62 | 6.55 |
| CNH:OH2 | NO | T | 2.84 | 8.57 | 8.51 |
| HOH:NCH | ON | T | 3.13 | 1.14 | 1.16 |
| +HCNH:NCH | NN | PS | 2.52 | 32.46 | 32.52 |
| CNH:NC– | NN | PS | 2.58 | 21.47 | 21.52 |
| CNH:NCH | NN | T | 3.00 | 5.60 | 5.62 |
a PS = Proton-shared; T = Traditional.
Then, Del Bene and Jordan examined the case of the complex between hydrogen chloride and ammonia that Del Bene had already studied in what concerns its geometry, energy and vibrational aspects [27]. To the Cl–H···NH3 complex they applied an external electric field along the HB to modify the character of the HB, an approach already used by Limbach and ourselves [21]. When the field increases, the system moves from traditional, to shared, to ion-pair. We report their most significant results in Table 3. They criticized the use by Limbach and ourselves of the q coordinates concluding that they are only useful for symmetric systems (which is not correct), that the FC term dominates and showing that 2hJ15N-35Cl is negative.
Table 3.
Equilibrium Cl···N distances, proton chemical shifts and 2hJ15N-35Cl coupling constants as functions of external field strength
| Field (a.u.) | dCl···N (Å) | δ (ppm) | 2hJ15N-35Cl (Hz) |
|---|---|---|---|
| 0.0000 | 3.080 | 10.0 | –5.7 |
| 0.0010 | 3.056 | 10.8 | –6.1 |
| 0.0025 | 3.019 | 12.0 | –6.9 |
| 0.0040 | 2.975 | 13.6 | –8.0 |
| 0.0055 | 2.832 | 20.9 | –11.8 |
| 0.0100 | 2.896 | 19.1 | –9.1 |
| 0.0150 | 3.004 | 16.4 | –6.7 |
Contrary to most authors, they prefer graphical representations to statistical models. Their graphs clearly showed that their seven data belong to two families, the first set corresponds to 0.0000-0.0040 a.u. fields and the second one to 0.0055-0.0150 a.u. fields. These sets can be adjusted to linear correlations, although they probably correspond to the two branches of an exponential [21] (eqs. 8-13).
- First set (traditional Cl–H···N HB):
- dN···Cl = (3.082±0.002) – (26.2±0.9) field, n = 4, r2 = 0.998 (8)
- δ1H = (8.93±0.11) + (893±47) field, n = 4, r2 = 0.994 (9)
- 2hJCl···N = – (5.60±0.11) – (576±49) field, n = 4, r2 = 0.986 (10)
- Second set (ion-pair Cl–···H–N+ HB):
- dN···Cl = (2.73±0.02) + (18±2) field, n = 3, r2 = 0.987 (11)
- δ1H = (23.6±0.4) – (475±40) field, n = 3, r2 = 0.993
- 2hJCl···N = – (14.6±0.3) + (536±35) field, n = 3, r2 = 0.996 (13)
The proton shared situation is very unstable [21] and should be found in the 0.0040-0.0055 au region.
The next contribution by Del Bene and Bartlett was devoted to the 2hJNN coupling present in some 15N–H···15N fragment [28] (see Table 7). Here again, the FC term dominates, other terms being negligible. Their results are reported in Table 4 (note that is 2hJNN positive).
Table 4.
Equilibrium N···N distances, symmetry and 2hJ15N-15N coupling constants
| Complex | symmetry | dN···N (Å) | 2hJ15N-15N (Hz) |
|---|---|---|---|
| pyrrole:NCH (21) | C2v | 3.16 | 3.0 |
| CNH:NCH (22) | C∞v | 3.00 | 5.5 |
| CNH:NH3 | C3v | 2.85 | 8.7 |
| CNH:NCLi | C∞v | 2.83 | 9.6 |
| CNH:pyridine (23) | C2v | 2.79 | 10.7 |
Reference [29] reports the calculations carried out on the problem of a long range coupling constant present in iminophosphorane-substituted proton-sponges 24 (see Table 7). Using as a model structure 25, the results reported in Table 5 were found (only the FC term was computed).
Table 5.
N···N and P···P distances and computed 4hJ31P-31P coupling constants in model 25
| N···N distance (Å) | P···P distance (Å) | 4hJ31P-31P (Hz) |
|---|---|---|
| 2.53 | 4.79 | 14.3 |
| 2.83 | 5.09 | 8.1 |
| 3.03 | 5.29 | 5.9 |
| 3.33 | 5.59 | 3.9 |
| 3.53 | 5.79 | 3.0 |
These data can be analyzed statistically leading to eqs. (14) and (15):
dP···P = (2.27±0.02) + (0.997±0.003) dN···N, n = 5, r2 = 1.000
ln 4hJ31P-31P = (6.96±0.10) – (4.66±0.09) ln dN···N, n = 5, r2 = 0.999
Del Bene, Parera and Bartlett used in another contribution the reduced coupling constants K to correct some erroneous statements about the relative importance of scalar couplings [30]; for the N–H+–N and O–H+–O complexes 2hKX···X > 1KX–H > 1hKX···X. Jordan, Del Bene et al. devoted another paper to the N–H···N system [31]. They used the pyrrole:hydrogen cyanide (21) and the hydrogen isocyanide:hydrogen cyanide (22) systems and, as perturbation, an electric field or chemical substitution (fluorine and Be2+ on the pyrrole, Li, Na, S– and O– instead of H in NCH). Some of their results are reported in Table 6.
Table 6.
Chemical shifts of the hydrogen-bonded proton and 2hJ15N-15N coupling constants as a function of field strength
| Field (a.u | δ1H (ppm) | 2hJ15N-15N (Hz) |
| 0.0000 | 1.9 | 6.4 |
| 0.0040 | 2.4 | 7.3 |
| 0.0100 | 3.2 | 8.8 |
| 0.0150 | 4.1 | 10.3 |
| 0.0200 | 5.2 | 12.3 |
| 0.0225 | 6.0 | 13.7 |
| 0.0250 | 7.1 | 15.5 |
In all cases, proton-shared and ion-pair Na–H–Nb HBs are unlikely to be formed in neutral complexes. These authors introduced an important representation to understand the nature and properties of hydrogen-bonded systems, plotting Na–H (Å) against Nb–H (Å) and representing the square of the ground-state vibrational wave function superimposed on the potential energy surface.
The next problem they tackled concerns the hydrogen chloride:pyridine complex (26) [32]. Pyridine is a very good HBA because the positive charge can be delocalized over the ring. In this example, increasing the field, they succeeded to attain the proton-shared and afterwards the ion-pair structures. They carried out the calculations using an isotropic external electric field (analogous to the Onsager's model), optimizing the structure for each field (under some restrictions) and then calculating the coupling constants with the field turned off (turning on the external field during the calculations increases the absolute value of 2hJ35Cl···15N). Their calculations are in agreement with Limbach's results on temperature effects o HBs: decreasing the temperature corresponds to an increase of the field and the traditional system evolves to proton-shared and then to ion pair.
Del Bene, Jordan, Parera and Bartlett [33] returned to the problem of 2hJFF in [FHF]– and [FDF]– that was their first publication on scalar couplings across HBs [25]. They examined the possible effects of zero-point vibrational effects and of vibrational averaging, to conclude that both have essentially no effect on 2hJFF. They confirmed that, although the FC term dominates, the PSO term is also important. Using Limbach's estimation of 220 Hz for 2hJFF in [FHF]– for comparison, they reported for [FHF]– 212.7 Hz and for [FDF]– 223.1 Hz. This is an important result that allows a new entrance to isotope effects.
Two papers [34,35] can be consulted to get an overview of the preceding series of papers. One dealing with 15N,15N spin-spin coupling constants across N–H–N and N–H+–N hydrogen bonds and entitled "Can coupling constants provide reliable estimates of N–N distances in biomolecules?" (with a positive answer both for the distance and the angular variations) and the other with "what a difference a decade makes: progress in ab initio studies of the hydrogen bond".
The last paper until now reports calculations of 3hJ15N-31P spin-spin coupling constants across N-H···O-P hydrogen bonded complexes [36]. This work is similar in subject but different in methodology to that of Czernek and Brüschweiler [12]. Instead of complex structures 9 and 10, equation-of-motion coupled cluster singles and doubles (EOM-CCSD) calculations were performed in model cationic and anionic complexes including NH4+:OPH, NH4+:OPH3, NH3:–O2PH2, NFH2:–O2PH2, and NF2H:–O2PH2. Three-bond coupling constants can be appreciable when the phosphorous is P(V), but are negligible with P(III). 3hJN-P values in complexes with cyclic or open structures are less than 1 Hz, a consequence of the nonlinear arrangement of N, H, O, and P atoms. For complexes with these structures, 3hJN-P may not be experimentally measurable. In contrast, complexes in which the N, H, O, and P atoms are collinear or nearly collinear have larger values of 3hJN-P, even though the N-P distances are longer than N-P distances in cyclic and open structures. In linear complexes, 3hJN-P is dominated by the Fermi-contact term, which is distance dependent. Therefore, N-P (and hydrogen-bonding N-O) distances in these complexes can be determined from experimentally measured 15N-31P coupling constants.
c) Data analysis.
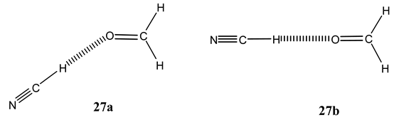
Peralta, Contreras et al. analyzed using NBOs (Natural Bonding Orbitals) the C-H···O interaction in NCH···OH2 and NCH···O=CH2 27 and their effect on nuclear magnetic shielding constants [37]. In a subsequent paper, they expanded the same methodology to the dissection of fluorine–fluorine couplings (see below, 31). They proposed a partition of the Fermi contact term as a sum of contributions of core orbitals, non-bonding electron pairs and bonding orbitals. As expected the coupling constant through the space are governed by the non-bonding electron pair term in all the cases studied [38].
Weinhold, the creator of NBO analysis, applied his method first to an example of covalent bonds (3JHH couplings in ethane) [39] and then to 1hJNH and 2hJNN in DNA A-T base pair [3]. The contributions of the orbitals involved in the HB to the coupling constants are able to explain the differences observed between the 2hJNN and 1hJNH [3]. Arnold, Oldfield et al. used DFT theory to calculate and analyze through-space 19F-19F coupling constants [40] and found an exponential relationship between the coupling constant value and the internuclear distance. The same authors compared the nhJNC' in proteins with the electron density properties obtained using Bader’s Theory of Atoms in Molecules (AIM) [41]. They found an exponential relationship between the mutual penetration of the electronic clouds and the coupling constant values.
Hydrogen bonded molecules: couplings through a dihydrogen bond
This fascinating topic has been covered recently [42], we have replaced the letter h of hydrogen bonds by the letter d of dihydrogen bonds. EOM-CCSD calculations were performed to determine one-bond (1dJH-H) and three-bond (3dJX-M) spin-spin coupling constants across X–H···H–M dihydrogen bonds for complexes with 13C-1H, 15N-1H, and 17O-1H proton-donor groups and proton-acceptor metal hydrides 7Li-1H and 23Na-1H. Unlike two-bond spin-spin coupling constants across N-H-N, N-H-O, O-H-O, and Cl-H-N hydrogen bonds, which are determined solely by the Fermi-contact term (see above), 1dJH-H receives non-negligible contributions from the PSO and DSO terms. However, these terms tend to cancel, so that the curve for the distance-dependence of 1dJH-H is determined by the distance-dependence of the Fermi-contact term. The value of 1dJH-H is dependent on the nature of the proton-donor and proton acceptor, and the relative orientation of the bonded pair. Hence, it would be difficult to extract structural information from experimentally measured coupling constants without a model tailored specifically for the experimental complex. 3dJC-Li values for the equilibrium structures of seven linear complexes stabilized by C-H···H-Li bonds are dependent on C-Li distances, and are also sensitive to structural changes which remove any one of these four atoms from the dihydrogen bond. 3dJO-M for the complexes HOH:HLi and HOH:HNa exhibit unusual behavior as a function of the O-M distance, increasing with increasing distance through a change of sign, reaching a maximum, and then subsequently decreasing.
Van der Waals complexes
The number of publications devoted to the study of scalar couplings in van der Waals complexes is much more reduced than those concerning HBs. The reason is fairly simple: there are no experimental results! Therefore, the only existing papers reported explorations of hypothetical situations, although their conclusions are important: i) the transmission of the scalar nuclear spin-spin coupling is a property not restricted to the HBs; ii) the existence of the nuclear spin-spin coupling transmitted through an interaction is not an evidence of the covalent character of this interaction.
Salsbury and Harris [8] examined the case of the xenon dimer. Exploiting the fact that xenon has two isotopes with spins ≠ 0 (129Xe, spin I = 1/2, and 131Xe, spin I = 3/2), they have calculated the FC term for the Xe2 and for the Xe-1H complexes. In the regions of interest J(Xe-H) is microHz and J(129Xe-131Xe) is milliHz.
More recently, a similar study was carried out on He2 (3He, spin 1/2). Obviously, this coupling is not accessible experimentally. At the energy minimum (5.6 a.u. = 2.96 Å), the coupling should amount to 1.3 Hz [43]. All the terms were calculated at the EOM-CCSD level, but only FC is important. The same author with Sadlej and Leszczynski [44] has calculated that the HF···CH4 van der Waals dimer should have a JHF ≈ 4 Hz. In this same paper they reported calculations of the [FHF]– anion (Scheme 1) and the F–H···F–H dimer. Bryce and Wasylishen extended these calculations to HF···CH3F (in two conformations) [45]; they found that the isotropic coupling constants are dominated by the Fermi-contact mechanism.
At lower level (DFT, only FC, PSO and DSO terms) but much more complex structures, Bagno, Saielli and Scorrano [46] carried out calculations on three van der Waals complexes: methane-methane dimer (not reported), methane-benzene 28 and benzene-benzene (T-shaped) 29.
The 1H-1H couplings are very small, for all purposes null, but the 1H-13C should be in the 0.2-0.3 Hz range (for equilibrium geometries, RC-i = 3.685 Å and Ri-i = 4.90 Å) and therefore experimentally measurable. However, these model systems are not suitable for an experimental verification due to their too-large exchange rate compared to their small couplings. A better candidate would be the 15N-19F coupling in the complex CH3-CN···C6F6 30 [47].
Bagno, Saielli and Scorrano [48] have examined a large set of van der Waals complexes (CH4/CH4, CH4/C2H4, C2H4/C2H4, CH4/C6H6 28, C6H6/C6H6 29) as well as some more realistic and complex systems in search of type 2 interactions (calixarene/CH3CN, the Tröger's balance of Wilcox, etc.).
This is probably the best place to describe the attempts of two groups to analyze the 19F/19F nuclear spin-spin coupling through-space. Both used, as a model, two hydrogen fluoride molecules, Peralta, Contreras et al. [38] in disposition 31 and Mallory et al. [50] in disposition 32.
The second authors did not carry out calculations on 19F19F couplings, and concluded only that there is an exponential relationship between JFF and d(F···F) [50]. Peralta, Contreras and Snyder have carried out a natural bond order (NBO) dissection of JFF [38].
Conclusions
We are, at the end of 2002, in an interesting and unstable situation: the calculation of scalar couplings shows the same impetus and problems as some ten years ago did the calculation of nuclear shieldings, being still highly demanding on computational effort. The authors face a difficult election: either to considerably simplify the problem or to lower the level of the method to the point to obtain dubious results. Even with a considerable simplification, there are problems accessible only to people having access to big supercomputational centers.
It is expected than in the next ten years, development in software and hardware will allow some fascinating problems to be tackled. For instance, other interactions deserved to be explored like inverse HBs [51,52], three-centered (bifurcated) HBs [53], charge-transfer bonds [54], etc. One of the main objectives that should be approached in the next years is the calculation of coupling constants including heavy atoms (therefore, including relativistic corrections) because the structure of many fundamental problems in chemistry (catalysis) and biochemistry involve these atoms.
We hope that this review will encourage other physicists, chemists, biochemists, molecular biologists and NMR spectroscopists to endeavor the calculation of spin-spin scalar coupling constants.
Appendix
We feel useful to summarize in Table 7 the experimentally measured nuclear spin-spin coupling constants through a hydrogen bond, because they are the test used for many theoretical works [55,56,57,58,59,60,61,62,63,64,65,66,67,68,69,70,71,72,73,74,75,76,77,78,79,80,81,82,83,84,85,86,87,88,89,90,91,92,93,94,95,96,97,98,99]. Two cases have to be distinguished: intermolecular and intramolecular HBs (these last we will name as IMHBs). The first class is without ambiguity but not so the second one. We consider coupling constants through HBs between different aminoacids of the same protein, due to folding, as intermolecular coupling constants. Couplings observed in IMHBs can be transmitted through the HB or through the covalent skeleton. The transmission through the skeleton could represent up to a 100% of the observed coupling. There is no experimental possibility to separate both mechanisms and even not a theoretical partition method available. These couplings through IMHBs have been ascribed to nhJs with the qualitative argument that, in similar compounds, the skeleton is unable to transmit the spin information. Some of them are illustrated in Scheme 2.
Scheme 2.
Some examples of scalar couplings through intramolecular HBs (IMHB)
Scheme 2.
Some examples of scalar couplings through intramolecular HBs (IMHB)

Amongst the intermolecular HBs, the most common situations are summarized in Scheme 3. They are found both in nucleic acids and in proteins (in this last case, the atoms of the second aminoacid residue are noted with a dash).
Scheme 3.
The most frequent intermolecular couplings
Scheme 3.
The most frequent intermolecular couplings

Especially noteworthy is reference [91]; there, for the first time, a coupling constant through a hydrogen bond was measured in the solid state [a 2hJ(15N-H···15N)]: this opens extraordinary expectations for the study of nhJs in intermolecular simple systems where there is not a single example.
Table 7.
Experimental coupling constants through hydrogen bonds
| Compound | Couplings measured | HB | Ref. |
|---|---|---|---|
| 1hJs | |||
| F···H | 1hJF···H | IMHB | [55] |
| [F···H···F]– | 1hJF···H | inter | [19] |
| [F···H···N(collidine)] | 1hJF···H | inter | [56,57] |
| [F···H···N(collidine)] | 1hJF···H | inter | [56,57] |
| [RCO2–···H···N(pyridine)] | 1hJF···H | inter | [58] |
| [Pyridine···H+···pyridine] | 1hJF···H | inter | [59] |
| DNA, RNA | 1hJF···H | inter | [14,15,16,60,61,62,63,64,65,66,67] |
| Nucleic acids | 1hJF···H | inter | [68,69,70,71,72] |
| Fulvenes | 1hJF···H | IMHB | [73,74,75] |
| 2hJs | |||
| [F···H···F]– | 2hJF-H···F | inter | [19] |
| [F···H···N(collidine)] | 2hJF-H···N | inter | [56,57] |
| N-H···F | 2hJN-H···F | IMHB | [76] |
| H-S···H | 2hJH-S···H | IMHB | [77] |
| H-O···H | 2hJH-O···H | IMHB | [16,78] |
| H···O···H | 2hJH···O···H | IMHB | [79] |
| Proteins | 2hJC=O···H (N-H···O=C) | inter | [80,81,82,83,84,85,86,87,88,89,90] |
| DNA, RNA | 2hJN-H···N | inter | [14,15,16,60,61,62,63,64,65,66,67] |
| Nucleic acids | 2hJN-H···N | inter | [68,69,70,71,72] |
| Apomyoglobin | 2hJN-H···N (imidazole···H-imidazolium) | inter | [91] |
| Proton sponges | 2hJN-H···N | IMHB | [92] |
| Fulvenes | 2hJN-H···N | IMHB | [73,74,75,93] |
| Protein/DNA | 2hJP=O···H (P=O···H-N) | inter | [94] |
| Flavoprotein | 2hJP-O···H (P=O···H-N, P=O···H-O) | inter | [95] |
| Metalloprotein | 2hJCd···H (N-H···S-Cd) | inter | [96,97] |
| Metalloprotein | 2hJHg···H (N-H···S-Hg) | inter | [97] |
| 3hJs | |||
| H-C=O···H-O | 3hJH-C=O···H | IMHB | [98] |
| Galactal | 3hJH-O···H (O-H···O-H) | IMHB | [99] |
| H-C-O…H | 3hJH-C=O···H | IMHB | [78] |
| Proteins | 3hJN-H···O=C' | inter | [80,81,82,83,84,85,86,87,88,89,90] |
| Nucleic acids | 3hJN-H···O=C' | inter | [68,69,70,71,72] |
| Protein/DNA | 3hJN-H···O=P | inter | [68,69,70,71,72] |
| 4hJs | |||
| H-C-N-H···F | 4hJH-C-N-H···F | IMHB | [76] |
| Proton sponges | 4hJP=N+-H···N=P | IMHB | [100,101] |
| Nucleotides | 4hJH-C-N···H-N | inter a | [102,103] |
a Observation of the interaction but J was not measured.
References
- Harris, R. K.; Kowalewski, J.; De Menezes, S. C. Parameters and symbols for use in Nuclear Magnetic Resonance. Pure Appl. Chem. 1997, 69, 2489–2495. [Google Scholar] [CrossRef]
- Raynes, W. T. A proposal concerning the units of the reduced nuclear spin-spin coupling constant. Magn. Reson. Chem. 1992, 30, 686. [Google Scholar] [CrossRef]
- Wilkens, S. J.; Westler, W. M.; Weinhold, F.; Markley, J. L. Trans-hydrogen-bond h2JNN and h1JNH couplings in the DNA A-T base pair: Natural Bond Orbital analysis. J. Am. Chem. Soc. 2002, 124, 1190–1191. [Google Scholar] [CrossRef] [PubMed]
- Bour, P.; Budesinsky, M. Sum-over-states of the nuclear spin-spin coupling constants. J. Chem. Phys. 1999, 110, 2836–2843. [Google Scholar] [CrossRef]
- Sychrovsky, V.; Gräfenstein, J.; Cremer, D. Nuclear magnetic resonance spin-spin coupling constants from coupled perturbed density functional theory. J. Chem. Phys. 2000, 113, 3530–3547. [Google Scholar] [CrossRef]
- Peralta, J. E.; Barone, V.; Contreras, R. H.; Zaccari, D. G.; Snyder, J. P. Through-bond and through-space JFF spin-spin coupling in peridifluoronaphthalenes: Accurate DFT evaluation of the four contributions. J. Am. Chem. Soc. 2001, 123, 9162–9163. [Google Scholar] [CrossRef] [PubMed]
- Helgaker, T.; Jaszunski, M.; Ruud, K. Ab initio methods for the calculation of NMR shielding and indirect spin-spin-coupling constants. Chem. Rev. 1999, 99, 293–352. [Google Scholar] [CrossRef] [PubMed]
- Salsbury, F. R.; Harris, R. A. Estimation of the Fermi contact contribution to the xenon-hydrogen and xenon-xenon spin-spin coupling constants. Mol. Phys. 1998, 94, 307–312. [Google Scholar] [CrossRef]
- Pecul, M.; Sadlej, J. The nuclear spin-spin coupling constants in the water dimer. Chem. Phys. Lett. 1999, 308, 486–494. [Google Scholar] [CrossRef]
- Pecul, M.; Leszczynski, J.; Sadlej, J. Comprehensive ab initio studies of nuclear magnetic resonance shielding and coupling constants in XH…O hydrogen-bonded complexes of simple organic molecules. J. Chem. Phys. 2000, 112, 7930–7938. [Google Scholar] [CrossRef]
- Pecul, M.; Leszczynski, J.; Sadlej, J. The shielding constants and scalar couplings in N-H…O:C and N-H…N:C hydrogen bonded systems: An ab initio MO study. J. Phys. Chem. A 2000, 104, 8105–8113. [Google Scholar] [CrossRef]
- Scheurer, C.; Brüschweiler, R. Quantum-chemical characterization of nuclear spin-spin couplings across hydrogen bonds. J. Am. Chem. Soc. 1999, 121, 8661–8662. [Google Scholar] [CrossRef]
- Czernek, J.; Brüschweiler, R. Geometric dependence of 3hJ(31P-15N) and 2hJ(31P-1H) scalar couplings in protein-nucleotide complexes. J. Am. Chem. Soc. 2001, 123, 11079–11080. [Google Scholar] [CrossRef] [PubMed]
- Dingley, A. J.; Masse, J. E.; Peterson, R. D.; Barfield, M.; Feigon, J.; Grzesiek, S. Internucleotide scalar couplings across hydrogen Bonds in Watson-Crick and Hoogsteen base pairs of a DNA triplex. J. Am. Chem. Soc. 1999, 121, 6019–6027. [Google Scholar] [CrossRef]
- Barfield, M.; Dingley, A. J.; Feigon, J.; Grzesiek, S. A DFT study of the interresidue dependencies of scalar J-coupling and magnetic shielding in the hydrogen-bonding regions of a DNA triplex. J. Am. Chem. Soc. 2001, 123, 4014–4022. [Google Scholar] [CrossRef] [PubMed]
- Fierman, M.; Nelson, A.; Khan, S. I.; Barfield, M.; O'Leary, D. J. Scalar Coupling Across the Hydrogen Bond in 1,3- and 1,4-Diols. Org. Lett. 2000, 2, 2077–2080. [Google Scholar] [CrossRef] [PubMed]
- Barfield, M.; Bergset, J. M.; O'Leary, D. J. Density functional theory studies of transannular 1H-1H J-coupling in half-cage alcohols and rigid 1,3- and 1,4-diols: Conformational dependencies and implications for intramolecular hydrogen bond detection in carbohydrates. Magn. Reson. Chem. 2001, 39, S115–S125. [Google Scholar] [CrossRef]
- Barfield, M. Structural Dependencies of interresidue scalar coupling h3JNC' and donor 1H chemical shifts in the hydrogen bonding regions of proteins. J. Am. Chem. Soc. 2002, 124, 4158–4168. [Google Scholar] [CrossRef] [PubMed]
- Shenderovich, I. G.; Smirnov, S. N.; Denisov, G. S.; Gindin, V. A.; Golubev, N. S.; Dunger, A.; Reibke, R.; Kirpekar, S.; Malkina, O. L.; Limbach, H.-H. Nuclear magnetic resonance of hydrogen-bonded clusters between F– and (HF)n. Experiment and theory. Ber. Bunsen-Phys. Ges. 1998, 102, 422–428. [Google Scholar] [CrossRef]
- Benedict, H.; Shenderovich, I. G.; Malkina, O. L.; Malkin, V. G.; Denisov, G. S.; Golubev, N. S.; Limbach, H.-H. Nuclear scalar spin-spin couplings and geometries of hydrogen bonds. J. Am. Chem. Soc. 2000, 122, 1979–1988. [Google Scholar] [CrossRef]
- Ramos, M.; Alkorta, I.; Elguero, J.; Golubev, N. S.; Denisov, G. S.; Benedict, H.; Limbach, H.-H. Theoretical study of the infulence of electric fields on hydrogen-bonded acid-base complexes. J. Phys. Chem. A 1997, 101, 9791–9800. [Google Scholar] [CrossRef]
- Bagno, A. Quantum chemical modeling of through-hydrogen bond spin-spin coupling in amides and ubiquitin. Chem.-Eur. J. 2000, 6, 2925–2930. [Google Scholar] [CrossRef] [PubMed]
- López-Leonardo, C.; Alajarín, M.; Llamas-Lorente, P.; Bautista, D.; Jimeno, M. L.; Alkorta, I.; Elguero, J. The molecular structure and NMR properties of P-phosphinoylmethyl aminophosphonium salts. Struct. Chem. submitted.
- Bryce, D. L.; Wasylishen, R. E. Modeling 2hJiso(N,N) in nucleic acid base pairs: Ab initio characterization of the 2hJ(N,N) tensor in the methyleneimine dimer a a function of hydrogen bond geometry. J. Biomol. NMR 2001, 19, 371–375. [Google Scholar] [CrossRef] [PubMed]
- Perera, S. A.; Bartlett, R. J. NMR spin-spin coupling constants for hydrogen bonds of [F(HF)n]–, n = 1-4, clusters. J. Am. Chem. Soc. 2000, 122, 1231–1232. [Google Scholar] [CrossRef]
- Del Bene, J. E.; Perera, S. A.; Bartlett, R. J. Predicted NMR coupling constants across hydrogen bonds: A fingerprint for specifying hydrogen bond type? J. Am. Chem. Soc. 2000, 122, 3560–3561. [Google Scholar] [CrossRef]
- Del Bene, J. E.; Jordan, M. J. T. Vibrational spectroscopic and NMR properties of hydrogen-bonded complexes. Do they tell us the same thing? J. Am. Chem. Soc. 2000, 122, 4794–4797. [Google Scholar] [CrossRef]
- Del Bene, J. E.; Bartlett, R. J. N-N spin-spin coupling constants [2hJ(15N-15N)] across N-H…N hydrogen bonds in neutral complexes. To what extent does the bonding at the nitrogens influence 2hJN-N? J. Am. Chem. Soc. 2000, 122, 10480–10481. [Google Scholar] [CrossRef]
- Del Bene, J.; Perera, S. A.; Bartlett, R. J.; Alkorta, I.; Elguero, J. 4hJ(31P-31P) coupling constants through N-H+–H hydrogen bonds: A Comparison of computed ab initio and experimental data. J. Phys. Chem. A 2000, 104, 7165–7166. [Google Scholar] [CrossRef]
- Del Bene, J. E.; Perera, S. A.; Bartlett, R. J. What parameters determine N-N and O-O coupling constants (2hJX-X) across X-H+–X hydrogen bonds? J. Phys. Chem. A 2001, 105, 930–934. [Google Scholar] [CrossRef]
- Toh, J. S.-S.; Jordan, M. J. T.; Husowitz, B. C.; Del Bene, J. E. Can Proton-Shared or ion-pair N–H–N hydrogen bonds be produced in uncharged complexes? A systematic ab initio study of the structures and selected NMR and IR properties of complexes with N–H–N hydrogen bonds. J. Phys. Chem. A 2001, 105, 10906–10914. [Google Scholar] [CrossRef]
- Chapman, K.; Crittenden, D.; Bevitt, J.; Jordan, M. J. T.; Del Bene, J. E. Relating environmental effects and structures, IR, and NMR properties of hydrogen-bonded complexes: ClH:Pyridine. J. Phys. Chem. A 2001, 105, 5442–5449. [Google Scholar] [CrossRef]
- Del Bene, J. E.; Jordan, M. J. T.; Perera, S. A.; Bartlett, R. J. Vibrational effects on the F-F spin-spin coupling constant (2hJF-F) in FHF– and FDF–. J. Phys. Chem. A 2001, 105, 8399–8402. [Google Scholar] [CrossRef]
- Del Bene, J. E.; Perera, S. A.; Bartlett, R. J. 15N,15N spin-spin coupling constants across N–H–N and N–H+–N hydrogen bonds: Can coupling constants provide reliable estimates of N–N distances in biomolecules? Magn. Reson. Chem. 2001, 39, S109–S114. [Google Scholar] [CrossRef]
- Del Bene, J. E.; Jordan, M. J. T. What a difference a decade makes: progress in ab initio studies of the hydrogen bond. THEOCHEM 2001, 573, 11–23. [Google Scholar] [CrossRef]
- Del Bene, J. E.; Perera, S. A.; Bartlett, R. J.; Elguero, J.; Alkorta, I.; López-Leonardo, C.; Alajarín, M. 3hJ(15N-31P) spin-spin coupling constants across N-H···O-P hydrogen bonds. J. Am. Chem. Soc 2002, 124, 6393. [Google Scholar]
- Peralta, J. E.; Ruiz de Azua, M. C.; Contreras, R. H. Natural bond orbitals analysis of C-H···O interactions in NCH/H2O and NCH/OCH2, and their effect on nuclear magnetic shielding constants. THEOCHEM 1999, 491, 23–31. [Google Scholar] [CrossRef]
- Peralta, J. E.; Contreras, R. H.; Snyder, J. P. Natural bond orbital dissection of fluorine-fluorine through-space NMR coupling (JF,F) in polycyclic organic molecules. Chem. Commun. 2000, 2025–2026. [Google Scholar] [CrossRef]
- Wilkens, S. J.; Westler, W. M.; Markley, J. L.; Weinhold, F. Natural J-coupling analysis: Interpretation of scalar J-couplings in terms of Natural Bond Orbitals. J. Am. Chem. Soc. 2001, 123, 12026–12036. [Google Scholar] [CrossRef] [PubMed]
- Arnold, W. D.; Mao, J.; Sun, H.; Oldfield, E. Computation of through-space 19F-19F scalar couplings via Density Functional Theory. J. Am. Chem. Soc. 2000, 122, 12164–12168. [Google Scholar] [CrossRef]
- Arnold, W. D.; Oldfield, E. The chemical nature of hydrogen bonding in proteins via NMR: J-couplings, chemical shifts, and AIM Theory. J. Am. Chem. Soc. 2000, 122, 12835–12841. [Google Scholar] [CrossRef]
- Del Bene, J. E.; Perera, S. A.; Bartlett, R. J.; Alkorta, I.; Elguero, J.; Mó, O.; Yáñez, M. One-bond (1dJH-H) and three-bond (3dJX-M) spin-spin coupling constants across X-H···H-M dihydrogen bonds. J. Am. Chem. Soc. submitted.
- Pecul, M. The nuclear spin-spin coupling constant in He2. J. Chem. Phys. 2000, 113, 10835–10836. [Google Scholar] [CrossRef]
- Pecul, M.; Sadlej, J.; Leszczynski, J. The 19F-1H coupling constants transmitted through covalent, hydrogen bond, and van der Waals interactions. J. Chem. Phys. 2001, 115, 5498–5506. [Google Scholar] [CrossRef]
- Bryce, D. L.; Wasylishen, R. E. Ab initio characterization of through-space indirect nuclear spin-spin coupling tensors for fluorine-X (X = F, C, H) spin pairs. J. Mol. Struct. 2002, 602-603, 463–472. [Google Scholar] [CrossRef]
- Bagno, A.; Saielli, G.; Scorrano, G. DFT calculation of intermolecular nuclear spin-spin coupling in van der Waals dimers. Angew. Chem., Int. Ed. 2001, 40, 2532–2534. [Google Scholar] [CrossRef]
- Alkorta, I.; Rozas, I.; Jimeno, M. L.; Elguero, J. A theoretical and experimental study of the interaction of C6F6 with electron donors. Struct. Chem. 2001, 12, 459–464. [Google Scholar] [CrossRef]
- Bagno, A.; Saielli, G.; Scorrano, G. Through-space spin-spin couplings in van der Waals dimers and CH/π interacting systems. An ab initio study. Chem. Eur. J. 2002, 8, 2047–2056. [Google Scholar] [CrossRef] [PubMed]
- Bagno, A.; Saielli, G.; Scorrano, G. Substituent effects on the through-space nuclear magnetic spin-spin coupling in van der Waals dimers. ARKIVOC 2002, in press. [Google Scholar]
- Mallory, F. B.; Mallory, C. W.; Butler, K. E.; Lewis, M. B.; Xia, A. Q.; Luzik, E. D.; Fredenburgh, L. E.; Ramanjulu, M. M.; Van, Q. N.; Francl, M. M.; Freed, D. A.; Wray, C. C.; Hann, C.; Nerz-Stormes, M.; Carroll, P. J.; Chirlian, L. E. Nuclear spin-spin coupling via nonbonded interactions. 8. The distance dependence of through-space fluorine-fluorine coupling. J. Am. Chem. Soc. 2000, 122, 4108–4116. [Google Scholar] [CrossRef]
- Alkorta, I.; Rozas, I.; Elguero, J. Non-conventional hydrogen bonds. Chem. Soc. Rev. 1998, 27, 163–170. [Google Scholar] [CrossRef]
- Rozas, I.; Alkorta, I.; Elguero, J. Inverse hydrogen-bonded complexes. J. Phys. Chem. A 1997, 101, 4236–4244. [Google Scholar] [CrossRef]
- Rozas, I.; Alkorta, I. Elguero, Bifurcated hydrogen bonds: three-centered interactions. J. Phys. Chem. A 1998, 102, 9925–9932. [Google Scholar] [CrossRef]
- Alkorta, I.; Rozas, I.; Elguero, J. Charge-transfer complexes between dihalogen compounds and electron donors. J. Phys. Chem. A 1998, 102, 9278–9285. [Google Scholar] [CrossRef]
- Rowbotham, J. B.; Smith, M.; Schaeffer, T. Stereospecific spin-spin coupling between hydroxyl protons and 19F nuclei in o-, m- and p-fluorophenyl derivatives. "Through-space" interactions via the hydrogen bond. Can. J. Chem. 1975, 53, 986–992. [Google Scholar] [CrossRef]
- Golubev, N. S.; Shenderovich, I. G.; Smirnov, S. N.; Denisov, G. S.; Limbach, H.-H. Nuclear scalar spin-spin coupling reveals novel properties of low-barrier hydrogen bonds in a polar environment. Chem.-Eur. J. 1999, 5, 492–497. [Google Scholar] [CrossRef]
- Shenderovich, I. G.; Burtsev, A. P.; Denisov, G. S.; Golubev, N. S.; Limbach, H.-H. Influence of the temperature-dependent dielectric constant on the H/D isotope effects on the NMR chemical shifts and the hydrogen bond geometry of the collidine-HF complex in CDCl3/CDClF2 solution. Magn. Reson. Chem. 2001, 39, S91–S99. [Google Scholar] [CrossRef]
- Smirnov, S. N.; Golubev, N. S.; Denisov, G. S.; Benedict, H.; Schah-Mohammedi, P.; Limbach, H.-H. Hydrogen/deuterium isotope effects on the NMR chemical shifts and geometries of intermolecular low-barrier hydrogen-bonded complexes. J. Am. Chem. Soc. 1996, 118, 4094–4101. [Google Scholar] [CrossRef]
- Schah-Mohammedi, P.; Shenderovich, I. G.; Detering, C.; Limbach, H.-H.; Tolstoy, P. M.; Smirnov, S. N.; Denisov, G. S.; Golubev, N. S. Hydrogen/deuterium isotope effects on the NMR chemical shifts and symmetry of homoconjugated hydrogen-bonded ions in polar solution. J. Am. Chem. Soc. 2000, 122, 12878–12879. [Google Scholar] [CrossRef]
- Dingley, A. J.; Grzesiek, S. Direct observation of hydrogen bonds in nucleic acid base pairs by internucleotide 2JNN couplings. J. Am. Chem. Soc. 1998, 120, 8293–8297. [Google Scholar] [CrossRef]
- Pervushin, K.; Ono, A.; Fernández, C.; Szyperski, T.; Kainosho, M.; Wütrich, K. NMR scalar couplings across Watson-Crick base pair hydrogen bonds in DNA observed by transverse relaxation-optimized spectroscopy. Proc. Natl. Acad. Sci. USA 1998, 95, 14147–14151. [Google Scholar] [CrossRef] [PubMed]
- Wöhnert, J.; Dingley, A. J.; Stoldt, M.; Görlach, M.; Grzesiek, S.; Brown, L. R. Direct identification of NH···N hydrogen bonds in non-canonical base pairs of RNA by NMR spectroscopy. Nucleic Acid. Res. 1999, 27, 3104–3110. [Google Scholar] [CrossRef] [PubMed]
- Majumdar, A.; Kettani, A.; Skripkin, E. Observation and measurement of internucleotide 2JNN coupling constants between 15N nuclei with widely separated chemical shifts. J. Biomol. NMR 1999, 14, 67–70. [Google Scholar] [CrossRef] [PubMed]
- Hennig, M.; Williamson, J. R. Detection of N-H···N hydrogen bonding in RNA via scalar couplings in the absence of observable imino proton resonances. Nucleic Acids Res. 2000, 28, 1585–1593. [Google Scholar] [CrossRef] [PubMed]
- Pervushin, K.; Fernández, C.; Riek, R.; Ono, A.; Kainosho, M.; Wütrich, K. Determination of h2JNN and h1JHN coupling constants across Watson-Crick base pairs in the Antennapedia homeodomain-DNA complex using TROSY. J. Biomol. NMR 2000, 16, 39–46. [Google Scholar] [CrossRef] [PubMed]
- Kojima, C.; Ono, A.; Kainosho, M. Studies of physicochemical properties of N-HYN hydrogen bonds in DNA, using selective 15N-labeling and direct 15N 1D NMR. J. Biomol. NMR 2000, 18, 269–277. [Google Scholar] [CrossRef]
- Bytchenkoff, D.; Chiarparin, E.; Früh, D.; Rüdisser, S.; Bodenhausen, G. Temperature dependence of internucleotide nitrogen-nitrogen scalar couplings in RNA. Magn. Reson. Chem. 2002, 40, 377–379. [Google Scholar] [CrossRef]
- Dingley, A. J.; Masse, J. E.; Feigon, J.; Grzesiek, S. Characterization of the hydrogen bond network in guanosine quartets by internucleotide 3hJNC' and 2hJNN scalar couplings. J. Biomol. NMR 2000, 16, 279–289. [Google Scholar] [CrossRef] [PubMed]
- Kettani, A.; Gorin, A.; Majumdar, A.; Hermann, T.; Skripkin, E.; Zhao, H.; Jones, R.; Patel, D. J. A dimeric DNA interface stabilized by stacked A·(G·G·G·G)·A hexads and coordinated monovalent cations. J. Mol. Biol. 2000, 297, 627–644. [Google Scholar] [CrossRef] [PubMed]
- Pervushin, K. The use of TROSY for detection and suppression of conformational exchange NMR line broadening in biological macromolecules. J. Biomol. NMR 2001, 20, 275–285. [Google Scholar] [CrossRef] [PubMed]
- Ishikawa, R.; Kojima, C.; Ono, A.; Kainosho, M. Developing model systems for the NMR study of substituent effects on the N–H···N hydrogen bond in duplex DNA. Magn. Reson. Chem. 2001, 39, S159–S165. [Google Scholar] [CrossRef]
- Majumdar, A. Applications of 1Ha-1Hb correlated 2hJ(N,N) spectroscopy for identifying Ha-C-Na···Hd-Nd hydrogen bonds in nucleic acids. Magn. Reson. Chem. 2001, 39, S166–S170. [Google Scholar] [CrossRef]
- Claramunt, R. M.; Sanz, D.; Alarcón, S. H.; Pérez Torralba, M.; Elguero, J.; Foces-Foces, C.; Pietrzak, M.; Langer, U.; Limbach, H.-H. 6-Aminofulvene-1-aldimine: A model molecule for the study of intramolecular hydrogen bonds. Angew. Chem. Int. Ed. 2001, 40, 420–423. [Google Scholar] [CrossRef]
- Pietrzak, M.; Limbach, H.-H.; Pérez-Torralba, M.; Sanz, D.; Claramunt, R. M.; Elguero, J. Scalar coupling constants across the intramolecular NHN hydrogen bond of symmetrically and non-symmetrically substituted 6-aminofulvene-1-aldimines. Magn. Reson. Chem. 2001, 39, S100–S108. [Google Scholar] [CrossRef]
- Sanz, D.; Pérez Torralba, M.; Alarcón, S. H.; Claramunt, R. M.; Foces-Foces, C.; Elguero, J. Tautomerism in the solid state and in solution of a series of 6-aminofulvene-1-aldimines. J. Org. Chem. 2002, 67, 1462–1471. [Google Scholar] [CrossRef] [PubMed]
- Rae, I. D.; Weigold, J. A.; Contreras, R. H.; Biekofsky, R. R. Analysis of long-range through-space couplings via an intramolecular hydrogen bond. Magn. Reson. Chem. 1993, 31, 836–840. [Google Scholar] [CrossRef]
- Schaefer, T.; Wildman, T. A.; Salman, S. R. The perpendicular conformation of 2-hydroxythiophenol. Intramolecular hydrogen bonding to specific lone pair. J. Am. Chem. Soc. 1980, 102, 107–110. [Google Scholar] [CrossRef]
- Anet, F. A. L.; Bourn, A. J. R.; Carter, P.; Winstein, S. Effect of steric compression on coupling constants. J. Am. Chem. Soc. 1965, 87, 5249–5250. [Google Scholar] [CrossRef]
- Schaeffer, T.; Chum, K. Spin-spin coupling between proximate protons on neighbouring aromatic rings and between hydroxyl protons in 2,2'-dihydroxy-4-methoxybenzophenone. Coupling through the hydrogen bond. Can. J. Chem. 1976, 54, 2231–2242. [Google Scholar] [CrossRef]
- Cordier, F.; Grzesiek, S. Direct observation of hydrogen bonds in proteins by interresidue 3hJNC' scalar couplings. J. Am. Chem. Soc. 1999, 121, 1601–1602. [Google Scholar] [CrossRef]
- Cornilescu, G.; Hu, J.-S.; Bax, A. Identification of the hydrogen bonding network in a protein by scalar couplings. J. Am. Chem. Soc. 1999, 121, 2949–2950. [Google Scholar] [CrossRef]
- Cordier, F.; Rogowski, M.; Grzesiek, S.; Bax, A. Observation of through-hydrogen-bond 2hJHC' in a perdeuterated protein. J. Magn. Reson. 1999, 140, 510–512. [Google Scholar] [CrossRef] [PubMed]
- Cornilescu, G.; Ramirez, B. E.; Franck, M. K.; Clore, G. M.; Gronenborn, A. M.; Bax, A. Correlation between 3hJNC' and hydrogen bond length in proteins. J. Am. Chem. Soc. 1999, 121, 6275–6279. [Google Scholar] [CrossRef]
- Wang, Y.-X.; Jacob, J.; Cordier, F.; Wingfield, P.; Stahl, S. J.; Lee-Huang, S.; Torchia, D.; Grzesiek, S.; Bax, A. Measurement of 3hJNC' connectivities across hydrogen bonds in a 30 kDa protein. J. Biomol. NMR 1999, 14, 181–184. [Google Scholar] [CrossRef] [PubMed]
- Meissner, A.; Sørensen, O. W. New techniques for the measurement of C'N and C'HNJ coupling constants across hydrogen bonds in proteins. J. Magn. Reson. 2000, 143, 387–390. [Google Scholar] [CrossRef] [PubMed]
- Meissner, A.; Sørensen, O. W. 3hJ Coupling between Ca and HN across hydrogen bonds in proteins. J. Magn. Reson. 2000, 143, 431–434. [Google Scholar] [CrossRef] [PubMed]
- Cordier, F.; Wang, C.; Grzesiek, S.; Nicholson, L. K. Ligand-induced strain in hydrogen bonds of the c-Src SH3 domain detected by NMR. J. Mol. Biol. 2000, 304, 497–505. [Google Scholar] [CrossRef] [PubMed]
- Li, H.; Yamada, H.; Akasaka, K.; Gronenborn, A. M. Pressure alters electronic orbital overlap in hydrogen bonds. J. Biomol. NMR 2000, 18, 207–216. [Google Scholar] [CrossRef] [PubMed]
- Jaravine, V. A.; Alexandrescu, A. T.; Grzesiek, S. Observation of the closing of individual hydrogen bonds during TFE-induced helix formation in a peptide. Protein Sci. 2001, 10, 943–950. [Google Scholar] [CrossRef] [PubMed]
- Alexandrescu, A. T.; Snyder, D. R.; Abilgaard, F. NMR of hydrogen bonding in cold shock protein A and an analysis of crystallographic resolution on comparisons of hydrogen bond lengths. Protein Sci. 2001, 10, 1856–1868. [Google Scholar] [CrossRef] [PubMed]
- Hennig, M.; Geierstanger, B. H. Direct detection of a histidine–histidine side chain hydrogen bond important for folding of apomyoglobin. J. Am. Chem. Soc. 1999, 121, 5123–5126. [Google Scholar] [CrossRef]
- Pietrzak, M.; Wehling, H.-H.; Limbach, N. S.; Golubev, C.; López, R. M.; Claramunt, J. 13C detected scalar nitrogen-nitrogen couplings across the intramolecular symmetric NHN hydrogen bond of proton sponges. J. Am. Chem. Soc 2001, 123, 4338–4339. [Google Scholar]
- Brown, S. P.; Pérez-Torralba, M.; Sanz, D.; Claramunt, R. M.; Emsley, L. The Direct Detection of a Hydrogen Bond in the Solid State by NMR through the Observation of a Hydrogen-Bond Mediated 15N-15N J Coupling. J. Am. Chem. Soc. 2002, 124, 1152–1153. [Google Scholar] [CrossRef]
- Mishima, M.; Hatanaka, M.; Yokoyama, S.; Ikegami, T.; Wälchli, M.; Ito, Y.; Shirakawa, M. Intermolecular 31P-15N and 31P-1H scalar couplings across hydrogen bonds formed between a protein and a nucleotide. J. Am. Chem. Soc. 2000, 122, 5883–5884. [Google Scholar] [CrossRef]
- Löhr, F.; Mayhew, S. G.; Rütterjans, H. Detection of scalar couplings across NH···OP and OH···OP hydrogen bonds in a flavoprotein. J. Am. Chem. Soc. 2000, 122, 9289–9295. [Google Scholar] [CrossRef]
- Blake, P. R.; Park, J. B.; Adams, M. W. W.; Summers, M. F. Novel observation of NH···S(Cys) hydrogen-bond-mediated scalar coupling in cadmium-113 substituted rubredoxin from Pyrococcus furiosus. J. Am. Chem. Soc. 1992, 114, 4931–4933. [Google Scholar] [CrossRef]
- Blake, P. R.; Lee, B.; Summers, M. F.; Adams, M. W. W.; Park, J. B.; Zhou, Z. H.; Bax, A. Quantitative measurement of small through-hydrogen-bond and 'through-space' proton-cadmium-113 and proton-mercury-199 J couplings in metal-substituted rubredoxin from Pyrococcus furiosus. J. Biomol. NMR 1992, 2, 527–533. [Google Scholar] [CrossRef] [PubMed]
- Platzer, N.; Buisson, J.-P.; Demerseman, P. Complete 1H and 13C NMR spectral characterization of 1,6-dioxapyrene and related compounds. An unusual coupling interaction through hydrogen bond in three precursors. J. Heterocyl. Chem. 1992, 29, 1149–1153. [Google Scholar] [CrossRef]
- Kwon, O.; Danishefsky, S. J. Synthesis of asialo GM1. New insights in the application of sulfonamidoglycosylation in oligosaccharide assembly: subtle proximity effects in the stereochemical governance of glycosidation. J. Am. Chem. Soc. 1998, 120, 1588–1599. [Google Scholar] [CrossRef]
- Laynez, J.; Menéndez, M.; Saiz, J. L.; Llamas-Saiz, A. L.; Foces-Foces, C.; Elguero, J.; Molina, P.; Alajarín, M.; Vidal, A. Iminophosphorane-substituted proton sponges. Part 4. Comparison of X-ray molecular structures with solution properties (pKa, 1H and 13C NMR spectroscopy). J. Chem. Soc., Perkin Trans. 2 1993, 709. [Google Scholar]
- Elguero, J.; Fruchier, A.; Jimeno, M. L.; Molina, P. An experimental study of the 4hJ(31P-31P) coupling constant and the 12C/13C isotope effect on 31P in an iminophosphorane-substituted proton sponge. J. Chem. Res. (S) 2002, 34–36. [Google Scholar] [CrossRef]
- Majumdar, A.; Kettani, A.; Skripkin, E.; Ptel, D. J. Observation of internucleotide NH···N hydrogen bonds in the absence of directly detectable protons. J. Biomol. NMR 1999, 15, 207–211. [Google Scholar] [CrossRef] [PubMed]
- Liu, A.; Majumdar, A.; Hu, W.; Kettani, A.; Skripkin, E.; Patel, D. J. NMR detection of N-H···O=C hydrogen bonds in 13C,15N-Labeled Nucleic Acids. J. Am. Chem. Soc. 2000, 122, 3206–3210. [Google Scholar] [CrossRef]
General Sources
- Density Functional Methods in Chemistry (Lebanowski, A.; Andzelm, J. Eds.). Springer: N.Y. , 1991.
- Modern Density Functional Theory: A Tool for Chemists (Seminario, J. M.; Politzer, P. Eds.). Elsevier: Amsterdam, 1995; Vol. 2.
- Theoretical Treatments of Hydrogen Bonding (Hadzi, D. Ed.). 1997.
- Electronic Density Functional Theory: Recent Progress and New Directions (Dobson, J. F.; Vignale, G.; Das, M. P., Eds.). Plenum Press: N.Y., 1998.
- Contreras, R. H.; Peralta, J. E. Angular dependence of spin-spin coupling constants. Prog. Nucl. Magn. Reson. Spectrosc. 2000, 37, 321–425. [Google Scholar] [CrossRef]
- Contreras, R. H.; Peralta, J. E.; Giribet, C. G.; Ruiz de Azua, M. C.; Facelli, J. C. Advances in theoretical and physical aspects of spin-spin coupling constants. Annu. Rep. NMR Spectrosc. 2000, 41, 55–184. [Google Scholar]
- Pervushin, K. Impact of transverse relaxation optimized spectroscopy (TROSY) on NMR as a technique in structural biology. Q. Rev. Biophys. 2000, 33, 161–197. [Google Scholar] [CrossRef] [PubMed]
- Koch, W.; Holthausen, M. C. A Chemist’s Guide to Density Functional Theory, 2nd Edition edWiley-VICH, 2001. [Google Scholar]
- Grzesiek, S.; Cordier, F.; Dingley, A. J. Scalar couplings across hydrogen bonds. Methods Enzymol. 2001, 338, 111–133. [Google Scholar] [PubMed]
- Dingley, A. J.; Cordier, F.; Grzesiek, S. An introduction to hydrogen bond scalar couplings. Concepts Magn. Reson. 2001, 13, 103–127. [Google Scholar] [CrossRef]
- Majumdar, A.; Patel, D. J. Identifying Hydrogen Bond Alignments in Multistranded DNA Architectures by NMR. Acc. Chem. Res 2002, 35, 1–11. [Google Scholar]
© 2003 by MDPI (http://www.mdpi.org). Reproduction for noncommercial purposes permitted.