Association of the TGFB1 Gene Polymorphisms with Pain Symptoms and the Effectiveness of Platelet-Rich Plasma in the Treatment of Lateral Elbow Tendinopathy: A Prospective Cohort Study †
Abstract
1. Introduction
2. Results
2.1. Characteristics of the Studied TGFB1 Gene Polymorphisms
2.2. TGFB1 Gene Polymorphisms and Blood Morphological Parameters
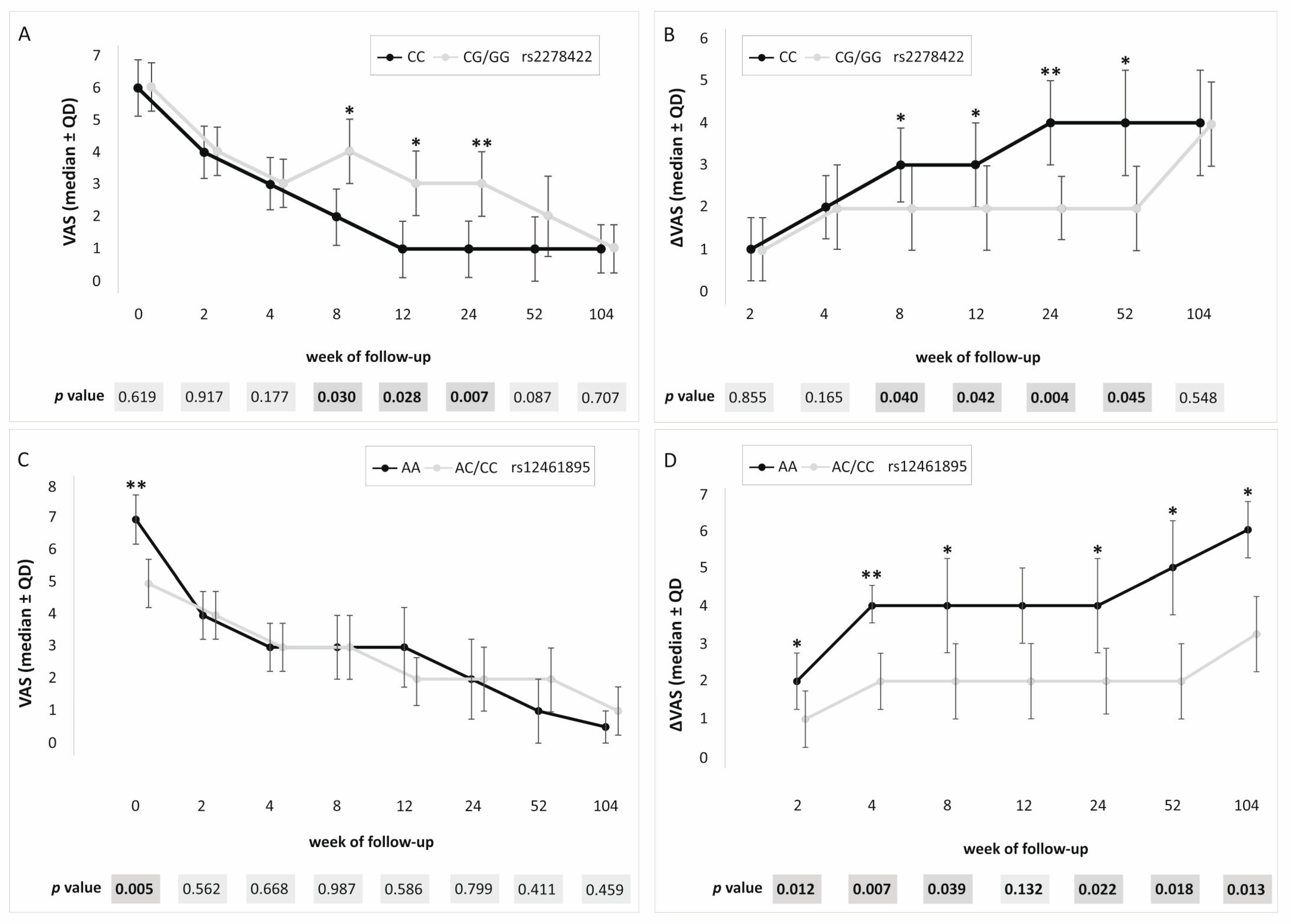
2.3. TGFB1 Gene Polymorphisms and PROMs Values
2.4. TGFB1 Gene Polymorphisms and Pain Before Therapy
2.5. TGFB1 Gene Polymorphisms and MCID
3. Discussion
4. Materials and Methods
4.1. Study Design
4.2. Measures of Effectiveness and Follow-Up
4.3. Patient Selection and Characteristics of the Study Group
4.4. PRP Separation, Injection Procedure, Whole Blood, and PRP Parameters
4.5. Genetic Analyses
4.6. Statistical Analysis
5. Conclusions
Supplementary Materials
Author Contributions
Funding
Institutional Review Board Statement
Informed Consent Statement
Data Availability Statement
Acknowledgments
Conflicts of Interest
References
- Niemiec, P.; Szyluk, K.; Jarosz, A.; Iwanicki, T.; Balcerzyk, A. Effectiveness of Platelet-Rich Plasma for Lateral Epicondylitis: A Systematic Review and Meta-analysis Based on Achievement of Minimal Clinically Important Difference. Orthop. J. Sport Med. 2022, 10, 23259671221086920. [Google Scholar] [CrossRef]
- Amable, P.R.; Carias, R.B.; Teixeira, M.V.; da Cruz Pacheco, I.; Corrêa do Amaral, R.J.; Granjeiro, J.M.; Borojevic, R. Platelet-rich plasma preparation for regenerative medicine: Optimization and quantification of cytokines and growth factors. Stem Cell Res. Ther. 2013, 4, 67. [Google Scholar] [CrossRef]
- Xiong, G.; Lingampalli, N.; Koltsov, J.C.B.; Leung, L.L.; Bhutani, N.; Robinson, W.H.; Chu, C.R. Men and Women Differ in the Biochemical Composition of Platelet-Rich Plasma. Am. J. Sports Med. 2018, 46, 409–419. [Google Scholar] [CrossRef] [PubMed]
- Salini, V.; Vanni, D.; Pantalone, A.; Abate, M. Platelet Rich Plasma Therapy in Non-insertional Achilles Tendinopathy: The Efficacy is Reduced in 60-years Old People Compared to Young and Middle-Age Individuals. Front. Aging Neurosci. 2015, 7, 228. [Google Scholar] [CrossRef]
- Pruna, R.; Til, L.; Artellsm, R. Could single nucleotide polymorphisms influence on the efficacy of platelet-rich plasma in the treatment of sport injuries? Muscles Ligaments Tendons J. 2014, 4, 63–65. [Google Scholar] [CrossRef]
- Morikawa, M.; Derynck, R.; Miyazono, K. TGF-β and the TGF-β Family: Context-Dependent Roles in Cell and Tissue Physiology. Cold Spring Harb. Perspect. Biol. 2016, 8, a021873. [Google Scholar] [CrossRef] [PubMed]
- Kuo, C.K.; Petersen, B.C.; Tuan, R.S. Spatiotemporal protein distribution of TGF-βs, their receptors, and extracellular matrix molecules during embryonic tendon development. Dev. Dyn. 2008, 237, 1477–1489. [Google Scholar] [CrossRef] [PubMed]
- Liu, Y.C.; Hsiao, H.T.; Wang, J.C.F.; Wen, T.C.; Chen, S.L. TGF-β1 in plasma and cerebrospinal fluid can be used as a biological indicator of chronic pain in patients with osteoarthritis. PLoS ONE 2022, 17, e0262074. [Google Scholar] [CrossRef]
- Kobayashi, E.; Flückiger, L.; Fujioka-Kobayashi, M.; Sawada, K.; Sculean, A.; Schaller, B.; Miron, R.J. Comparative release of growth factors from PRP, PRF, and advanced-PRF. Clin. Oral Investig. 2016, 20, 2353–2360. [Google Scholar] [CrossRef]
- Zhang, Y.; Alexander, P.B.; Wang, X.F. TGF-β Family Signaling in the Control of Cell Proliferation and Survival. Cold Spring Harb. Perspect. Biol. 2017, 9, a022145. [Google Scholar] [CrossRef]
- Derynck, R.; Budi, E.H. Specificity, versatility, and control of TGF-β family signaling. Sci. Signal. 2019, 12, eaav5183. [Google Scholar] [CrossRef]
- Pakyari, M.; Farrokhi, A.; Maharlooei, M.K.; Ghahary, A. Critical Role of Transforming Growth Factor Beta in Different Phases of Wound Healing. Adv. Wound Care 2013, 2, 215–224. [Google Scholar] [CrossRef] [PubMed]
- Wang, P.H.; Huang, B.S.; Horng, H.C.; Yeh, C.C.; Chen, Y.J. Wound healing. J. Chin. Med. Assoc. 2018, 81, 94–101. [Google Scholar] [CrossRef] [PubMed]
- Poniatowski, Ł.A.; Wojdasiewicz, P.; Gasik, R.; Szukiewicz, D. Transforming Growth Factor Beta Family: Insight into the Role of Growth Factors in Regulation of Fracture Healing Biology and Potential Clinical Applications. Mediat. Inflamm. 2015, 2015, 137823. [Google Scholar] [CrossRef]
- Schroer, A.K.; Merryman, W.D. Mechanobiology of myofibroblast adhesion in fibrotic cardiac disease. J. Cell Sci. 2015, 128, 1865–1875. [Google Scholar] [CrossRef] [PubMed]
- Lin, M.; Li, W.; Ni, X.; Sui, Y.; Li, H.; Chen, X.; Lu, Y.; Jiang, M.; Wang, C. Growth factors in the treatment of Achilles tendon injury. Front. Bioeng. Biotechnol. 2023, 11, 1250533. [Google Scholar] [CrossRef]
- Hyun, S.Y.; Lee, J.H.; Kang, K.J.; Jang, Y.J. Effect of FGF-2, TGF-β-1, and BMPs on Teno/Ligamentogenesis and Osteo/Cementogenesis of Human Periodontal Ligament Stem Cells. Mol. Cells 2017, 40, 550–557. [Google Scholar] [CrossRef]
- Li, M.; Jia, J.; Li, S.; Cui, B.; Huang, J.; Guo, Z.; Ma, K.; Wang, L.; Cui, C. Exosomes derived from tendon stem cells promote cell proliferation and migration through the TGF β signal pathway. Biochem. Biophys. Res. Commun. 2021, 536, 88–94. [Google Scholar] [CrossRef]
- Lantero, A.; Tramullas, M.; Díaz, A.; Hurlé, M.A. Transforming Growth Factor-β in Normal Nociceptive Processing and Pathological Pain Models. Mol. Neurobiol. 2012, 45, 76–86. [Google Scholar] [CrossRef]
- Chen, G.; Park, C.K.; Xie, R.G.; Ji, R.R. Intrathecal bone marrow stromal cells inhibit neuropathic pain via TGF-β secretion. J. Clin. Investig. 2015, 125, 3226–3240. [Google Scholar] [CrossRef]
- Lückemeyer, D.D.; Xie, W.; Prudente, A.S.; Qualls, K.A.; Tonello, R.; Strong, J.A.; Berta, T.; Zhang, J.M. The Antinociceptive Effect of Sympathetic Block is Mediated by Transforming Growth Factor β in a Mouse Model of Radiculopathy. Neurosci. Bull. 2023, 39, 1363–1374. [Google Scholar] [CrossRef] [PubMed]
- Zhang, J.; Li, Z.; Chen, F.; Liu, H.; Wang, H.; Li, X.; Liu, X.; Wang, J.; Zheng, Z. TGF-β1 suppresses CCL3/4 expression through the ERK signaling pathway and inhibits intervertebral disc degeneration and inflammation-related pain in a rat model. Exp. Mol. Med. 2017, 49, e379. [Google Scholar] [CrossRef]
- Xu, Q.; Zhang, X.M.; Duan, K.Z.; Gu, X.Y.; Han, M.; Liu, B.L.; Zhao, Z.Q.; Zhang, Y.Q. Peripheral TGF-β1 signaling is a critical event in bone cancer-induced hyperalgesia in rodents. J. Neurosci. 2013, 33, 19099–19111. [Google Scholar] [CrossRef] [PubMed]
- Zhang, X.; Zheng, H.; Zhu, H.Y.; Hu, S.; Wang, S.; Jiang, X.; Xu, G.Y. Acute Effects of Transforming Growth Factor-β1 on Neuronal Excitability and Involvement in the Pain of Rats with Chronic Pancreatitis. J. Neurogastroenterol. Motil. 2016, 22, 333–343. [Google Scholar] [CrossRef]
- National Center for Biotechnology Information—SNP Database. Available online: https://www.ncbi.nlm.nih.gov/snp/ (accessed on 25 March 2024).
- Wu, H.; Romieu, I.; Shi, M.; Hancock, D.B.; Li, H.; Sienra-Monge, J.J.; Chiu, G.Y.; Xu, H.; del Rio-Navarro, B.E.; London, S.J. Evaluation of candidate genes in a genome-wide association study of childhood asthma in Mexicans. J. Allergy Clin. Immunol. 2010, 125, 321–327.e13. [Google Scholar] [CrossRef]
- Deng, H.B.; Jiang, C.Q.; Tomlinson, B.; Liu, B.; Lin, J.M.; Wong, K.S.; Cheung, B.M.; Lam, T.H.; Thomas, G.N. A polymorphism in transforming growth factor-β1 is associated with carotid plaques and increased carotid intima-media thickness in older Chinese men: The Guangzhou Biobank Cohort Study-Cardiovascular Disease Subcohort. Atherosclerosis 2011, 214, 391–396. [Google Scholar] [CrossRef]
- Boone, S.D.; Baumgartner, K.B.; Baumgartner, R.N.; Connor, A.E.; Pinkston, C.M.; John, E.M.; Hines, L.M.; Stern, M.C.; Giuliano, A.R.; Torres-Mejia, G.; et al. Associations between genetic variants in the TGF-β signaling pathway and breast cancer risk among Hispanic and non-Hispanic white women. Breast Cancer Res. Treat. 2013, 141, 287–297. [Google Scholar] [CrossRef] [PubMed]
- Yang, L.; Wang, Y.J.; Zheng, L.Y.; Jia, Y.M.; Chen, Y.L.; Chen, L.; Liu, D.G.; Li, X.H.; Guo, H.Y.; Sun, Y.L.; et al. Genetic Polymorphisms of TGFB1, TGFBR1, SNAI1 and TWIST1 Are Associated with Endometrial Cancer Susceptibility in Chinese Han Women. PLoS ONE 2016, 11, e0155270. [Google Scholar] [CrossRef] [PubMed]
- Oreschak, K.; Saba, L.M.; Rafaels, N.; Ambardekar, A.V.; Deininger, K.M.; Page, R.L., 2nd; Lindenfeld, J.; Aquilante, C.L. Association Between Variants in Calcineurin Inhibitor Pharmacokinetic and Pharmacodynamic Genes and Renal Dysfunction in Adult Heart Transplant Recipients. Front. Genet. 2021, 12, 658983. [Google Scholar] [CrossRef]
- GTEx Portal. Available online: https://gtexportal.org/home/testyourown (accessed on 11 December 2024).
- Limer, K.L.; Tosh, K.; Bujac, S.R.; McConnell, R.; Doherty, S.; Nyberg, F.; Zhang, W.; Doherty, M.; Muir, K.R.; Maciewicz, R.A. Attempt to replicate published genetic associations in a large, well-defined osteoarthritis case–control population (the GOAL study). Osteoarthr. Cartil. 2009, 17, 782–789. [Google Scholar] [CrossRef][Green Version]
- Iuliano, A.D.; Feingold, E.; Wahed, A.S.; Kleiner, D.E.; Belle, S.H.; Conjeevaram, H.S.; Zmuda, J.; Liang, T.J.; Yee, L.J. Host genetics, steatosis and insulin resistance among African Americans and Caucasian Americans with hepatitis C virus genotype-1 infection. Intervirology 2009, 52, 49–56. [Google Scholar] [CrossRef] [PubMed]
- Millar, N.L.; Silbernagel, K.G.; Thorborg, K.; Kirwan, P.D.; Galatz, L.M.; Abrams, G.D.; Murrell, G.A.C.; McInnes, I.B.; Rodeo, S.A. Tendinopathy. Nat. Rev. Dis. Primers 2021, 7, 1. [Google Scholar] [CrossRef]
- Cabral-Pacheco, G.A.; Garza-Veloz, I.; Castruita-De la Rosa, C.; Ramirez-Acuña, J.M.; Perez-Romero, B.A.; Guerrero-Rodriguez, J.F.; Martinez-Avila, N.; Martinez-Fierro, M.L. The Roles of Matrix Metalloproteinases and Their Inhibitors in Human Diseases. Int. J. Mol. Sci. 2020, 21, 9739. [Google Scholar] [CrossRef]
- Nie, G.; Wen, X.; Liang, X.; Zhao, H.; Li, Y.; Lu, J. Additional evidence supports association of common genetic variants in MMP3 and TIMP2 with increased risk of chronic Achilles tendinopathy susceptibility. J. Sci. Med. Sport 2019, 22, 1074–1078. [Google Scholar] [CrossRef]
- September, A.V.; Nell, E.M.; O’Connell, K.; Cook, J.; Handley, C.J.; van der Merwe, L.; Schwellnus, M.; Collins, M. A pathway-based approach investigating the genes encoding interleukin-1β, interleukin-6 and the interleukin-1 receptor antagonist provides new insight into the genetic susceptibility of Achilles tendinopathy. Br. J. Sports Med. 2011, 45, 1040–1047. [Google Scholar] [CrossRef] [PubMed]
- Zhang, S.; Singh, S.; Winkelstein, B.A. Collagen organization regulates stretch-initiated pain-related neuronal signals in vitro: Implications for structure-function relationships in innervated ligaments. J. Orthop. Res. 2018, 36, 770–777. [Google Scholar] [CrossRef]
- Niemiec, P.; Szyluk, K.; Balcerzyk, A.; Kalita, M.; Jarosz, A.; Iwanicka, J.; Iwanicki, T.; Nowak, T.; Negru, M.; Francuz, T.; et al. Why PRP works only on certain patients with tennis elbow? Is PDGFB gene a key for PRP therapy effectiveness? A prospective cohort study. BMC Musculoskelet. Disord. 2021, 22, 710. [Google Scholar] [CrossRef] [PubMed]
- Jarosz, A.; Szyluk, K.; Iwanicka, J.; Balcerzyk, A.; Nowak, T.; Iwanicki, T.; Negru, M.; Kalita, M.; Francuz, T.; Garczorz, W.; et al. What Role Does PDGFA Gene Polymorphisms Play in Treating Tennis Elbow with PRP? A Prospective Cohort Study. J. Clin. Med. 2022, 11, 3504. [Google Scholar] [CrossRef]
- Niemiec, P.; Jarosz, A.; Balcerzyk-Matić, A.; Iwanicka, J.; Nowak, T.; Iwanicki, T.; Gierek, M.; Kalita, M.; Garczorz, W.; Francuz, T.; et al. Genetic Variability in VEGFA Gene Influences the Effectiveness of Tennis Elbow Therapy with PRP: A Two-Year Prospective Cohort Study. Int. J. Mol. Sci. 2023, 24, 17292. [Google Scholar] [CrossRef]
- Jarosz, A.; Nowak, T.; Szyluk, K.; Balcerzyk-Matić, A.; Iwanicki, T.; Iwanicka, J.; Kalita, M.; Gawron, K.; Kania, W.; Niemiec, P. The VEGFB Gene Variants and the Effectiveness of Platelet-Rich Plasma Treatment of Lateral Elbow Tendinopathy: A Prospective Cohort Study with a Two-Year Follow-Up. Int. J. Mol. Sci. 2024, 25, 13166. [Google Scholar] [CrossRef]
- Szyluk, K.; Jarosz, A.; Balcerzyk-Matić, A.; Iwanicka, J.; Iwanicki, T.; Nowak, T.; Gierek, M.; Negru, M.; Kalita, M.; Górczyńska-Kosiorz, S.; et al. Polymorphic Variants of the PDGFRB Gene Influence Efficacy of PRP Therapy in Treating Tennis Elbow: A Prospective Cohort Study. J. Clin. Med. 2022, 11, 6362. [Google Scholar] [CrossRef] [PubMed]
- Jarosz, A.; Balcerzyk-Matić, A.; Iwanicka, J.; Iwanicki, T.; Nowak, T.; Szyluk, K.; Kalita, M.; Górczyńska-Kosiorz, S.; Kania, W.; Niemiec, P. Association between Platelet-Derived Growth Factor Receptor Alpha Gene Polymorphisms and Platelet-Rich Plasma’s Efficiency in Treating Lateral Elbow Tendinopathy—A Prospective Cohort Study. Int. J. Mol. Sci. 2024, 25, 4266. [Google Scholar] [CrossRef]
- Niemiec, P.; Jarosz, A.; Nowak, T.; Balcerzyk-Matić, A.; Iwanicki, T.; Iwanicka, J.; Gawron, K.; Kalita, M.; Górczyńska-Kosiorz, S.; Kania, W.; et al. Impact of the COL1A1 Gene Polymorphisms on Pain Perception in Tennis Elbow Patients: A Two-Year Prospective Cohort Study. Int. J. Mol. Sci. 2024, 25, 13221. [Google Scholar] [CrossRef]
- Ball, S.G.; Shuttleworth, C.A.; Kielty, C.M. Vascular endothelial growth factor can signal through platelet-derived growth factor receptors. J. Cell Biol. 2007, 177, 489–500. [Google Scholar] [CrossRef]
- Steller, E.J.; Raats, D.A.; Koster, J.; Rutten, B.; Govaert, K.M.; Emmink, B.L.; Snoeren, N.; van Hooff, S.R.; Holstege, F.C.; Maas, C.; et al. PDGFRB promotes liver metastasis formation of mesenchymal-like colorectal tumor cells. Neoplasia 2013, 15, 204–217. [Google Scholar] [CrossRef]
- Naka, K.; Hirao, A. Regulation of Hematopoiesis and Hematological Disease by TGF-β Family Signaling Molecules. Cold Spring Harb. Perspect. Biol. 2017, 9, a027987. [Google Scholar] [CrossRef] [PubMed]
- Wang, Y.; Gao, M.; Zhang, M.; Pang, Y.; Xu, Z.; Zeng, L.; Yuan, S. Tgfb1 deficiency impairs the self-renewal capacity of murine hematopoietic stem/progenitor cells in vivo. Biochem. Biophys. Res. Commun. 2024, 703, 149686. [Google Scholar] [CrossRef] [PubMed]
- Wang, X.; Dong, F.; Zhang, S.; Yang, W.; Yu, W.; Wang, Z.; Zhang, S.; Wang, J.; Ma, S.; Wu, P.; et al. TGF-β1 Negatively Regulates the Number and Function of Hematopoietic Stem Cells. Stem Cell Rep. 2018, 11, 274–287. [Google Scholar] [CrossRef]
- Massagué, J. TGFβ signalling in context. Nat. Rev. Mol. Cell Biol. 2012, 13, 616–630. [Google Scholar] [CrossRef]
- Awad, K.; Kakkola, L.; Julkunen, I. High Glucose Increases Lactate and Induces the Transforming Growth Factor Beta-Smad 1/5 Atherogenic Pathway in Primary Human Macrophages. Biomedicines 2024, 12, 1575. [Google Scholar] [CrossRef]
- Fortunel, N.O.; Hatzfeld, A.; Hatzfeld, J.A. Transforming growth factor-β: Pleiotropic role in the regulation of hematopoiesis. Blood 2000, 96, 2022–2036. [Google Scholar] [CrossRef] [PubMed]
- Kuter, D.J.; Gminski, D.M.; Rosenberg, R.D. Transforming growth factor β inhibits megakaryocyte growth and endomitosis. Blood 1992, 79, 619–626. [Google Scholar] [CrossRef] [PubMed]
- Greenberg, S.M.; Chandrasekhar, C.; Golan, D.E.; Handin, R.I. Transforming growth factor β inhibits endomitosis in the Dami human megakaryocytic cell line. Blood 1990, 76, 533–537. [Google Scholar] [CrossRef]
- Gostynska, S.; Venkatesan, T.; Subramani, K.; Cortez, B.; Robertson, A.; Subrahmanian, S.; Dube, P.; Ahamed, J. Megakaryocyte/platelet-derived TGF-β1 inhibits megakaryopoiesis in bone marrow by regulating thrombopoietin production in liver. Blood Adv. 2022, 6, 3321–3328. [Google Scholar] [CrossRef]
- Hein, L.E.; SenGupta, S.; Gunasekaran, G.; Johnson, C.; Parent, C.A. TGF-β1 activates neutrophil signaling and gene expression but not migration. PLoS ONE 2023, 18, e0290886. [Google Scholar] [CrossRef] [PubMed]
- Yi, S.; Zhai, J.; Nium, R.; Zhu, G.; Wang, M.; Liu, J.; Huang, H.; Wang, Y.; Jing, X.; Kang, L.; et al. Eosinophil recruitment is dynamically regulated by interplay among lung dendritic cell subsets after allergen challenge. Nat. Commun. 2018, 9, 3879. [Google Scholar] [CrossRef]
- Choi, Y.; Sim, S.; Lee, D.H.; Lee, H.R.; Ban, G.Y.; Shin, Y.S.; Kim, Y.K.; Park, H.S. Effect of TGF-β1 on eosinophils to induce cysteinyl leukotriene E4 production in aspirin-exacerbated respiratory disease. PLoS ONE 2021, 16, e0256237. [Google Scholar] [CrossRef]
- Golicki, D.; Krzysiak, M.; Strzelczyk, P. Translation and Cultural Adaptation of the Polish Version of the Disabilities of the Arm, Shoulder and Hand (DASH) and QuickDASH Questionnaires. Ortop. Traumatol. Rehabil. 2014, 16, 387–395. [Google Scholar] [CrossRef]
- Goguł, P.; Latosiewicz, R.; Goguł, M.; Majewska, D.; Gawęda, K. Quality of polish translation and cultural adaptation of PRTEE (Patient–Rated Tennis Elbow Evaluation). J. Educ. Health Sport 2016, 6, 2391–8306. [Google Scholar] [CrossRef]
- Hao, Q.; Devji, T.; Zeraatkar, D.; Wang, Y.; Qasim, A.; Siemieniuk, R.A.C.; Vandvik, P.O.; Lähdeoja, T.; Carrasco-Labra, A.; Agoritsas, T.; et al. Minimal important differences for improvement in shoulder condition patient-reported outcomes: A systematic review to inform a BMJ Rapid Recommendation. BMJ Open 2019, 9, e028777. [Google Scholar] [CrossRef]
- Smith-Forbes, E.V.; Howell, D.M.; Willoughby, J.; Pitts, D.G.; Uhl, T.L. Specificity of the minimal clinically important difference of the quick Disabilities of the Arm Shoulder and Hand (QDASH) for distal upper extremity conditions. J. Hand Ther. 2016, 29, 81–88. [Google Scholar] [CrossRef] [PubMed]
- Poltawski, L.; Watson, T. Measuring clinically important change with the Patient-rated Tennis Elbow Evaluation. Hand Ther. 2011, 16, 52–57. [Google Scholar] [CrossRef]
- National Center for Biotechnology Information—LD Matrix. Available online: https://ldlink.nih.gov/?tab=ldmatrix (accessed on 24 January 2025).
- Menyhart, O.; Weltz, B.; Győrffy, B. MultipleTesting.com: A tool for life science researchers for multiple hypothesis testing correction. PLoS ONE 2021, 16, e0245824. [Google Scholar] [CrossRef] [PubMed]
- Barrett, J.C.; Fry, B.; Maller, J.; Daly, M.J. Haploview: Analysis and visualization of LD and haplotype maps. Bioinformatics 2005, 21, 263–265. [Google Scholar] [CrossRef]
- Gabriel, S.B.; Schaffner, S.F.; Nguyen, H.; Moore, J.M.; Roy, J.; Blumenstiel, B.; Higgins, J.; DeFelice, M.; Lochner, A.; Faggart, M.; et al. The Structure of Haplotype Blocks in the Human Genome. Science 2002, 296, 2225–2229. [Google Scholar] [CrossRef]







| TGFB1 SNP | Chromosomal Localization * | Alleles | n | % | Genotypes | n | % | Minor Allele | Population MAF ** | HWE p-Value |
|---|---|---|---|---|---|---|---|---|---|---|
| rs2278422 | 19:41339853 | C | 103 | 54.21 | CC | 45 | 34.09 | G | 42.9 | 0.462 |
| G | 87 | 45.79 | GC | 58 | 43.94 | |||||
| GG | 29 | 21.97 | ||||||||
| rs12461895 | 19:41342442 | C | 101 | 49.75 | CC | 30 | 22.73 | A | 41.4 | 0.684 |
| A | 102 | 50.25 | AC | 71 | 53.79 | |||||
| AA | 31 | 23.48 | ||||||||
| rs4803455 | 19:41345604 | C | 116 | 54.72 | CC | 36 | 27.27 | A | 47.5 | 0.022 |
| A | 96 | 45.28 | AC | 80 | 60.61 | |||||
| AA | 16 | 12.12 | ||||||||
| rs2241717 | 19:41348147 | A | 95 | 48.97 | AA | 28 | 22.05 | C | 43.9 | 0.818 |
| C | 99 | 51.03 | AC | 67 | 52.76 | |||||
| CC | 32 | 25.20 |
| SNP | Blood Morphological Parameters | Genotypes | p-Value | |||
|---|---|---|---|---|---|---|
| Median | QD | Median | QD | |||
| rs2278422 | GG | CG/CC | ||||
| NEU [%] | 57.60 | 4.55 | 63.40 | 5.45 | 0.011 | |
| NEU [109/L] | 3.29 | 1.07 | 4.14 | 1.04 | 0.041 | |
| LYM [%] | 34.00 | 6.95 | 28.00 | 4.30 | 0.009 | |
| CC | CG/GG | |||||
| MPV [fL] | 9.65 | 0.75 | 9.00 | 0.70 | 0.021 | |
| NEU [109/L] | 4.36 | 0.80 | 3.39 | 0.88 | 0.026 | |
| MPV PRP [fL] | 8.80 | 0.45 | 8.50 | 0.45 | 0.018 | |
| rs12461895 | CC | AC/AA | ||||
| MCHC [g/dL] | 32.60 | 0.47 | 32.90 | 0.50 | 0.010 | |
| PCT [mL/L] | 2.49 | 0.27 | 2.16 | 0.31 | 0.026 | |
| MONO [%] | 5.95 | 2.10 | 4.60 | 1.20 | 0.017 | |
| MONO [109/L] | 0.36 | 0.10 | 0.30 | 0.06 | 0.018 | |
| AA | AC/CC | |||||
| EOS [%] | 2.75 | 1.13 | 2.10 | 1.00 | 0.028 | |
| rs4803455 | CC | AC/AA | ||||
| PDW [fL] | 16.20 | 0.15 | 16.00 | 0.20 | 0.027 | |
| AA | AC/CC | |||||
| WBC [109/L] | 5.28 | 0.92 | 6.36 | 1.16 | 0.049 | |
| RBC [1012/L] | 4.87 | 0.32 | 4.66 | 0.28 | 0.024 | |
| NEU [%] | 56.50 | 3.35 | 62.90 | 5.45 | 0.002 * | |
| NEU [109/L] | 2.76 | 0.12 | 4.14 | 0.92 | 0.004 * | |
| EOS [%] | 2.60 | 1.25 | 2.10 | 1.00 | 0.039 | |
| LYM [%] | 32.60 | 3.80 | 28.00 | 5.40 | 0.018 | |
| MONO [%] | 6.40 | 1.65 | 4.70 | 1.30 | 0.027 | |
| rs2241717 | CC | AC/AA | ||||
| PDW [fL] | 16.20 | 0.10 | 16.00 | 0.20 | 0.029 | |
| EOS [%] | 2.70 | 1.10 | 2.05 | 1.00 | 0.021 | |
| EOS [109/L] | 0.17 | 0.04 | 0.12 | 0.06 | 0.050 | |
| AA | AC/CC | |||||
| MCHC [g/dL] | 32.60 | 0.50 | 32.90 | 0.50 | 0.011 | |
| PLT [109/L] | 259.50 | 33.00 | 229.00 | 37.50 | 0.040 | |
| PCT [mL/L] | 2.53 | 0.18 | 2.20 | 0.34 | 0.010 | |
| MONO [%] | 6.20 | 1.87 | 4.70 | 1.25 | 0.003 * | |
| MONO [109/L] | 0.38 | 0.09 | 0.30 | 0.08 | 0.002 * | |
| Model of Inheritance | SNP | Genotype | Presence of Pain | No Pain | p-Value | ||
|---|---|---|---|---|---|---|---|
| n | % | n | % | ||||
| Additive | rs12461895 | CC | 15 | 16.30 | 14 | 36.84 | 0.031 |
| AC | 52 | 56.52 | 18 | 47.37 | |||
| AA | 25 | 27.17 | 6 | 15.79 | |||
| rs4803455 | CC | 30 | 32.61 | 6 | 15.79 | 0.030 | |
| AC | 55 | 59.78 | 24 | 63.16 | |||
| AA | 7 | 7.61 | 8 | 21.05 | |||
| rs2241717 | AA | 13 | 14.17 | 14 | 37.84 | 0.013 | |
| AC | 49 | 55.68 | 17 | 45.95 | |||
| CC | 26 | 29.55 | 6 | 16.22 | |||
| Dominant/recessive | rs12461895 | CC | 15 | 16.30 | 14 | 36.84 | 0.011 * |
| AA/AC | 77 | 83.70 | 24 | 63.13 | |||
| rs2241717 | AA | 13 | 14.77 | 14 | 37.84 | 0.004 * | |
| AC/CC | 75 | 85.23 | 23 | 62.16 | |||
| SNP | PROM | Week | Genotype | p-Value | |||||||||||
|---|---|---|---|---|---|---|---|---|---|---|---|---|---|---|---|
| MCID+ Patients | MCID− Patients | ||||||||||||||
| n | % | n | % | n | % | n | % | n | % | n | % | ||||
| rs2278422 | CC | CG | GG | CC | CG | GG | |||||||||
| VAS | 24 | 36 | 83.72 | 31 | 56.36 | 19 | 65.52 | 7 | 16.28 | 24 | 43.64 | 10 | 34.48 | 0.015 | |
| QDASH | 104 | 26 | 63.41 | 46 | 83.64 | 15 | 55.56 | 15 | 36.59 | 9 | 16.36 | 12 | 44.44 | 0.014 | |
| PRTEE | 2 | 34 | 79.07 | 36 | 62.07 | 15 | 51.72 | 9 | 20.93 | 22 | 37.93 | 14 | 48.28 | 0.044 | |
| rs12461895 | CC | AC | AA | CC | AC | AA | |||||||||
| VAS | 2 | 11 | 37.93 | 28 | 40.00 | 22 | 70.97 | 18 | 62.07 | 42 | 60.00 | 9 | 29.03 | 0.009 * | |
| 4 | 18 | 62.07 | 36 | 51.43 | 25 | 80.65 | 11 | 37.93 | 34 | 48.57 | 6 | 19.35 | 0.021 | ||
| 24 | 20 | 68.97 | 39 | 58.21 | 27 | 87.10 | 9 | 31.30 | 28 | 41.79 | 4 | 12.90 | 0.017 | ||
| PRTEE | 2 | 25 | 86.21 | 40 | 57.41 | 20 | 64.52 | 4 | 13.79 | 30 | 42.68 | 11 | 35.48 | 0.014 | |
| rs4803455 | CC | AC | AA | CC | AC | AA | |||||||||
| VAS | 2 | 24 | 66.67 | 30 | 38.46 | 7 | 43.75 | 12 | 33.33 | 48 | 61.54 | 9 | 56.25 | 0.019 | |
| QDASH | 52 | 26 | 74.29 | 49 | 62.82 | 6 | 37.50 | 9 | 25.71 | 29 | 37.18 | 10 | 62.50 | 0.042 | |
| rs2241717 | AA | AC | CC | AA | AC | CC | |||||||||
| VAS | 2 | 11 | 40.74 | 26 | 39.39 | 22 | 68.75 | 16 | 59.26 | 40 | 60.61 | 10 | 31.25 | 0.018 | |
| 4 | 16 | 59.26 | 34 | 51.52 | 25 | 78.13 | 11 | 40.74 | 32 | 48.48 | 7 | 21.88 | 0.041 | ||
| 24 | 18 | 66.67 | 38 | 57.14 | 27 | 84.83 | 9 | 33.33 | 27 | 42.86 | 5 | 15.63 | 0.029 | ||
| PRTEE | 2 | 23 | 85.19 | 38 | 57.78 | 20 | 62.50 | 4 | 14.81 | 28 | 42.42 | 12 | 37.50 | 0.039 | |
| SNP | PROM | Week | Genotype | p-Value | |||||||
|---|---|---|---|---|---|---|---|---|---|---|---|
| MCID+ Patients | MCID− Patients | ||||||||||
| n | % | n | % | n | % | n | % | ||||
| rs2278422 | CC | CG/GG | CC | CG/GG | |||||||
| VAS | 8 | 33 | 75.00 | 47 | 54.02 | 11 | 25.00 | 40 | 45.98 | 0.020 | |
| 24 | 36 | 83.72 | 50 | 59.52 | 7 | 16.28 | 34 | 40.48 | 0.010 | ||
| PRTEE | 2 | 34 | 79.07 | 51 | 58.62 | 9 | 20.93 | 36 | 41.38 | 0.035 | |
| rs12461895 | AA | AC/CC | AA | AC/CC | |||||||
| VAS | 2 | 22 | 70.97 | 39 | 39.39 | 9 | 29.03 | 60 | 60.61 | 0.004 * | |
| 4 | 25 | 80.65 | 54 | 54.55 | 6 | 19.35 | 45 | 45.45 | 0.017 | ||
| 24 | 27 | 87.10 | 59 | 61.46 | 4 | 12.90 | 37 | 38.54 | 0.015 | ||
| CC | AC/AA | CC | AC/AA | ||||||||
| PRTEE | 2 | 25 | 86.12 | 60 | 59.14 | 4 | 13.79 | 41 | 40.59 | 0.014 | |
| rs4803455 | CC | AC/AA | CC | AC/AA | |||||||
| VAS | 2 | 24 | 66.67 | 37 | 39.36 | 12 | 33.33 | 57 | 60.64 | 0.005 * | |
| 24 | 30 | 83.33 | 56 | 61.54 | 6 | 16.67 | 35 | 38.46 | 0.031 | ||
| rs2241717 | CC | AC/AA | CC | AC/AA | |||||||
| VAS | 2 | 22 | 68.75 | 37 | 39.78 | 10 | 31.25 | 56 | 60.22 | 0.009 * | |
| 4 | 25 | 78.13 | 50 | 53.76 | 7 | 21.88 | 43 | 46.24 | 0.027 | ||
| 24 | 27 | 84.38 | 54 | 60.00 | 5 | 15.63 | 36 | 40.00 | 0.022 | ||
| AA | AC/CC | AA | AC/CC | ||||||||
| PRTEE | 2 | 23 | 85.19 | 58 | 59.18 | 4 | 14.81 | 40 | 40.82 | 0.023 | |
| Characteristics | |||
|---|---|---|---|
| General | number of subjects, N | 107 | - |
| number of elbows, n (%) | 132 | (100.00) | |
| age, median ± QD | 46.00 | 5.50 | |
| BMI, median ± QD | 25.65 | 2.00 | |
| current smokers, n (%) | 22 | (16.67) | |
| Comorbidities | diabetes mellitus, n (%) | 4 | (3.03) |
| gout, n (%) | 8 | (6.06) | |
| obesity (BMI ≥ 30), n (%) | 26 | (19.70) | |
| overweight/obesity (BMI ≥ 25), n (%) | 86 | (65.15) | |
| hypercholesterolemia, n (%) | 10 | (7.58) | |
| hypertension, n (%) | 18 | (13.64) | |
| Pain of elbow | in LE area, n (%) | 132 | (100.00) |
| during the day, n (%) * | 92 | (70.80) | |
| at night, n (%) * | 67 | (51.54) | |
| during lifting, n (%) * | 117 | (90.00) | |
| when grabbing, n (%) * | 80 | (61.54) | |
| when pressing, n (%) * | 85 | (65.39) | |
| when bending the elbow, n (%) * | 92 | (70.77) | |
| when bending the wrist, n (%) * | 44 | (33.85) | |
| Pain radiating to the | wrist, n (%) * | 40 | (30.77) |
| forearm, n (%) * | 65 | (50.00) | |
| arm, n (%) * | 32 | (24.62) | |
| shoulder, n (%) * | 26 | (20.00) | |
| neck, n (%) * | 12 | (9.23) |
Disclaimer/Publisher’s Note: The statements, opinions and data contained in all publications are solely those of the individual author(s) and contributor(s) and not of MDPI and/or the editor(s). MDPI and/or the editor(s) disclaim responsibility for any injury to people or property resulting from any ideas, methods, instructions or products referred to in the content. |
© 2025 by the authors. Licensee MDPI, Basel, Switzerland. This article is an open access article distributed under the terms and conditions of the Creative Commons Attribution (CC BY) license (https://creativecommons.org/licenses/by/4.0/).
Share and Cite
Jarosz, A.; Wrona, J.; Balcerzyk-Matić, A.; Szyluk, K.; Nowak, T.; Iwanicki, T.; Iwanicka, J.; Kalita, M.; Kania, W.; Gawron, K.; et al. Association of the TGFB1 Gene Polymorphisms with Pain Symptoms and the Effectiveness of Platelet-Rich Plasma in the Treatment of Lateral Elbow Tendinopathy: A Prospective Cohort Study. Int. J. Mol. Sci. 2025, 26, 2431. https://doi.org/10.3390/ijms26062431
Jarosz A, Wrona J, Balcerzyk-Matić A, Szyluk K, Nowak T, Iwanicki T, Iwanicka J, Kalita M, Kania W, Gawron K, et al. Association of the TGFB1 Gene Polymorphisms with Pain Symptoms and the Effectiveness of Platelet-Rich Plasma in the Treatment of Lateral Elbow Tendinopathy: A Prospective Cohort Study. International Journal of Molecular Sciences. 2025; 26(6):2431. https://doi.org/10.3390/ijms26062431
Chicago/Turabian StyleJarosz, Alicja, Justyna Wrona, Anna Balcerzyk-Matić, Karol Szyluk, Tomasz Nowak, Tomasz Iwanicki, Joanna Iwanicka, Marcin Kalita, Wojciech Kania, Katarzyna Gawron, and et al. 2025. "Association of the TGFB1 Gene Polymorphisms with Pain Symptoms and the Effectiveness of Platelet-Rich Plasma in the Treatment of Lateral Elbow Tendinopathy: A Prospective Cohort Study" International Journal of Molecular Sciences 26, no. 6: 2431. https://doi.org/10.3390/ijms26062431
APA StyleJarosz, A., Wrona, J., Balcerzyk-Matić, A., Szyluk, K., Nowak, T., Iwanicki, T., Iwanicka, J., Kalita, M., Kania, W., Gawron, K., & Niemiec, P. (2025). Association of the TGFB1 Gene Polymorphisms with Pain Symptoms and the Effectiveness of Platelet-Rich Plasma in the Treatment of Lateral Elbow Tendinopathy: A Prospective Cohort Study. International Journal of Molecular Sciences, 26(6), 2431. https://doi.org/10.3390/ijms26062431

