Sonic Hedgehog Determines Early Retinal Development and Adjusts Eyeball Architecture
Abstract
1. Introduction
2. Results
2.1. Shh Mutations Detected in Patients with Foveal Dislocation
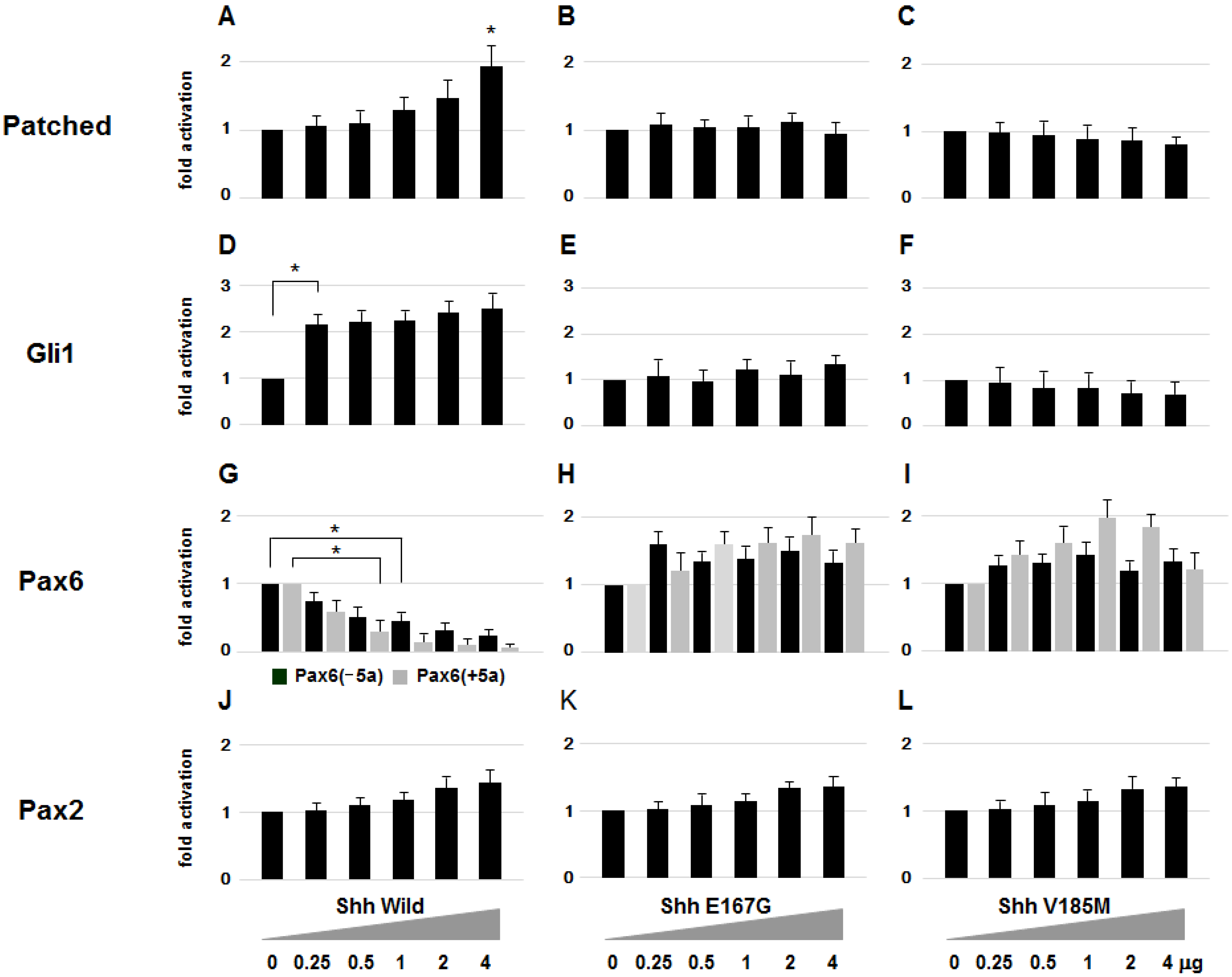
2.2. Assessment of the Functional Consequences of the SHH Mutations by In Vitro Functional Assay
2.3. Shh Is Expressed in the Face Center at an Early Stage of Development
2.4. In Ovo Misexpression of Shh Suppresses the Growth of the Retina and Eyeball
2.5. In Ovo Injection of Cyclopamine Promotes the Growth of the Retina and Eyeball
3. Discussion
4. Materials and Methods
4.1. Ethics Statement
4.2. Genetic Analysis
4.3. Plasmid Constructs Used in the Expression Assay
4.4. Cell Culture with Transient Transfection and qRT-PCR Analysis
4.5. Detection of Shh Expression by RNA Isolation and Detection
4.6. In Ovo Electroporation
4.7. In Ovo Injection of Cyclopamine
4.8. Immunohistochemistry, Detection of Apoptosis and In Situ Hybridization
4.9. Detection of Expression of Patched, Gli1, Pax6, Musashi, Six3, Rx and Islet1 by RNA Isolation and Detection
4.10. Statistics
Supplementary Materials
Author Contributions
Funding
Institutional Review Board Statement
Informed Consent Statement
Data Availability Statement
Acknowledgments
Conflicts of Interest
References
- Rodieck, R.W. The First Step of Seeing; Sinauer: Sunderland, UK, 1998. [Google Scholar]
- Oyster, C.W. The Human Eye; Sinauer: Sunderland, UK, 1999. [Google Scholar]
- Duke-Elder, S. The eye in evolution. In System of Ophthalmology; Henry Kimpton: London, UK, 1958; Volume I. [Google Scholar]
- Duke-Elder, S. Congenital deformities. In System of Ophthalmology; Henry Kimpton: London, UK, 1964; Volume III, Pt 2. [Google Scholar]
- Burmeister, M.; Novak, J.; Liang, M.Y.; Basu, S.; Ploder, L.; Hawes, N.L.; Vidgen, D.; Hoover, F.; Goldman, D.; Kalnins, V.I.; et al. Ocular retardation mouse caused by Chx10 homeobox null allele: Impaired retinal progenitor proliferation and bipolar cell differentiation. Nat. Genet. 1996, 12, 376–384. [Google Scholar] [CrossRef] [PubMed]
- Zhu, A.J.; Scott, M.P. Incredible journey: How do developmental signals travel through tissue. Genes Dev. 2004, 18, 2985–2997. [Google Scholar] [CrossRef] [PubMed]
- Roessler, E.; Belloni, E.; Gaudenz, K.; Jay, P.; Berta, P.; Scherer, S.W.; Tsui, L.C.; Muenke, M. Mutations in the human Sonic Hedgehog gene cause holoprosencephaly. Nat. Genet. 1996, 14, 357–360. [Google Scholar] [CrossRef] [PubMed]
- Ming, J.E.; Muenke, M. Holoprosencephaly: From Homer to Hedgehog. Clin. Genet. 1998, 53, 155–163. [Google Scholar] [CrossRef] [PubMed]
- Marti, E.; Takada, R.; Bumcrot, D.A.; Sasaki, H.; McMahon, A.P. Distribution of Sonic hedgehog peptides in the developing chick and mouse embryo. Development 1995, 121, 2537–2547. [Google Scholar] [CrossRef] [PubMed]
- Ericson, J.; Rashbass, P.; Schedl, A.; Brenner-Morton, S.; Kawakami, A.; van Heyningen, V.; Jessell, T.M.; Briscoe, J. Pax6 controls progenitor cell identity and neuronal fate in response to graded Shh signaling. Cell 1997, 90, 169–180. [Google Scholar] [CrossRef]
- Helms, J.A.; Kim, C.H.; Hu, D.; Minkoff, R.; Thaller, C.; Eichele, G. Sonic hedgehog participates in craniofacial morphogenesis and is down-regulated by teratogenic doses of retinoic acid. Dev. Biol. 1997, 187, 25–35. [Google Scholar] [CrossRef] [PubMed]
- Hu, D.; Helms, J.A. The role of Sonic hedgehog in normal and abnormal craniofacial morphogenesis. Development 1999, 126, 4873–4884. [Google Scholar] [CrossRef] [PubMed]
- Hu, D.; Young, N.M.; Xu, Q.; Jamniczky, H.; Green, R.M.; Mio, W.; Marcucio, R.S.; Hallgrimsson, B. Signals from the brain induce variation in avian facial shape. Dev. Dyn. 2015, 244, 1133–1143. [Google Scholar] [CrossRef] [PubMed]
- Azuma, N.; Nishina, S.; Okuyama, T.; Yanagisawa, H.; Yamada, M. PAX6 missense mutation in isolated foveal hypoplasia. Nat. Genet. 1996, 13, 141–142. [Google Scholar] [CrossRef]
- Azuma, N.; Yamaguchi, Y.; Handa, H.; Hayakawa, M.; Kanai, A.; Yamada, M. Missense mutation in the alternative splice region of the PAX6 gene in eye anomalies. Am. J. Hum. Genet. 1999, 65, 656–663. [Google Scholar] [CrossRef] [PubMed]
- Gehring, W.J. The master control gene for morphogenesis and evolution of the eye. Genes Cells 1996, 1, 11–15. [Google Scholar] [CrossRef] [PubMed]
- Callaerts, P.; Halder, G.; Gehring, W.J. PAX-6 in development and evolution. Annu. Rev. Neurosci. 1997, 20, 483–532. [Google Scholar] [CrossRef] [PubMed]
- Ashery-Padan, R.; Gruss, P. Pax6 lights-up the way for eye development. Curr. Opin. Cell Biol. 2001, 13, 706–714. [Google Scholar] [CrossRef] [PubMed]
- Chi, N.; Epstein, J.A. Getting your Pax straight: Pax proteins in development and disease. Trends Genet. 2002, 18, 41–47. [Google Scholar] [CrossRef] [PubMed]
- Walther, C.; Gruss, P. Pax-6, a murine paired box gene, is expressed in the developing CNS. Development 1991, 113, 1435–1449. [Google Scholar] [CrossRef] [PubMed]
- Kawakami, A.; Kimura-Kawakami, M.; Nomura, T.; Fujisawa, H. Distributions of PAX6 and PAX7 proteins suggest their involvement in both early and late phases of chick brain development. Mech. Dev. 1997, 66, 119–130. [Google Scholar] [CrossRef] [PubMed]
- Stuart, E.T.; Kioussi, C.; Gruss, P. Mammalian Pax genes. Annu. Rev. Genet. 1994, 28, 219–238. [Google Scholar] [CrossRef]
- McCabe, K.L.; Gunther, E.C.; Reh, T.A. The development of the pattern of retinal ganglion cells in the chick retina: Mechanisms that control differentiation. Development 1999, 126, 5713–5724. [Google Scholar] [CrossRef]
- Marquardt, T.; Ashery-Pedan, R.; Andrejewski, N.; Scardigli, R.; Guillemot, F.; Gruss, P. Pax6 is required for the multipotent state of retinal progenitor cells. Cell 2001, 105, 43–55. [Google Scholar] [CrossRef] [PubMed]
- Sharon, D.; Blackshaw, S.; Cepko, C.L.; Dryja, T.P. Profile of the genes expressed in the human peripheral retina, macula, and retinal pigment epithelium determined through serial analysis of gene expression (SAGE). Proc. Natl. Acad. Sci. USA 2002, 99, 315–320. [Google Scholar] [CrossRef] [PubMed]
- Macdonald, R.; Barth, K.A.; Xu, Q.; Holder, N.; Mikkola, I.; Wilson, S.W. Midline signalling is required for Pax gene regulation and patterning of the eyes. Development 1995, 121, 3267–3278. [Google Scholar] [CrossRef]
- Sasagawa, S.; Takabatake, T.; Takabatake, Y.; Muramatsu, T.; Takeshima, K. Axes establishment during eye morphogenesis in Xenopus by coordinate and antagonistic actions of BMP4, Shh, and RA. Genesis 2002, 33, 86–96. [Google Scholar] [CrossRef] [PubMed]
- Tian, N.M.; Price, D.J. Why cavefish are blind. Bioessays 2005, 27, 235–238. [Google Scholar] [CrossRef] [PubMed]
- Jensen, A.M.; Wallace, V.A. Expression of Sonic hedgehog and its putative role as a precursor cell mitogen in the developing mouse retina. Development 1997, 124, 363–371. [Google Scholar] [CrossRef] [PubMed]
- Levine, E.M.; Roelink, H.; Turner, J.; Reh, A. Sonic hedgehog promotes rod photoreceptor differentiation in mammalian retinal cells in vitro. J. Neurosci. 1997, 17, 6277–6288. [Google Scholar] [CrossRef] [PubMed][Green Version]
- Zhang, X.M.; Yang, X.J. Regulation of retinal ganglion cell production by Sonic hedgehog. Development 2001, 128, 943–957. [Google Scholar] [CrossRef] [PubMed]
- Wang, Y.P.; Dakubo, G.; Howley, P.; Campsall, K.D.; Mazarolle, C.J.; Shiga, S.A.; Lewis, P.M.; McMahon, A.P.; Wallace, V.A. Development of normal retinal organization depends on Sonic hedgehog signaling from ganglion cells. Nat. Neurosci. 2002, 5, 831–832. [Google Scholar] [CrossRef] [PubMed]
- Dakubo, G.D.; Wang, Y.P.; Mazerolle, C.; Campsall, K.; McMahon, A.P.; Wallace, V.A. Retinal ganglion cell-derived sonic hedgehog signaling is required for optic disc and stalk neuroepithelial cell development. Development 2003, 130, 2967–2980. [Google Scholar] [CrossRef]
- Hahn, H.; Christiansen, J.; Wicking, C.; Zaphiropoulos, P.G.; Chidambaram, A.; Gerrard, B.; Vorechovsky, I.; Bale, A.E.; Toftgard, R.; Dean, M.; et al. A mammalian patched homolog is expressed in target tissues of sonic hedgehog and maps to a region associated with developmental abnormalities. J. Biol. Chem. 1996, 271, 12125–12128. [Google Scholar] [CrossRef]
- Sasaki, H.; Hui, C.; Nakafuku, M.; Kondoh, H. A binding site for Gli proteins is essential for HNF-3β floor plate enhancer activity in transgenics and can respond to Shh in vitro. Development 1997, 124, 1313–1322. [Google Scholar] [CrossRef] [PubMed]
- Dai, P.; Akimaru, H.; Tanaka, Y.; Maekawa, T.; Nakafuku, M.; Ishii, S. Sonic Hedgehog-induced activation of the Gli1 promoter is mediated by GLI3. J. Biol. Chem. 1999, 274, 8143–8152. [Google Scholar] [CrossRef] [PubMed]
- Itasaki, N.; Bel-Vialar, S.; Krumlauf, R. ‘Shocking’ developments in chick embryology: Electroporation and in ovo gene expression. Nat. Cell Biol. 1999, 1, E203–E207. [Google Scholar] [CrossRef]
- Niwa, H.; Inouye, S.; Hirano, T.; Matsuno, T.; Kojima, S.; Kubota, M.; Ohashi, M.; Tsuji, F.I. Chemical nature of the light emitter of the Aequorea green fluorescent protein. Proc. Natl. Acad. Sci. USA 1996, 93, 13617–13622. [Google Scholar] [CrossRef] [PubMed]
- Sakakibara, S.; Okano, H. Expression of neural RNA-binding proteins in the postnatal CNS: Implications of their roles in neuronal and glial cell development. J. Neurosci. 1997, 17, 8300–8312. [Google Scholar] [CrossRef] [PubMed]
- Kawakami, K.; Ohto, H.; Takizawa, T.; Saito, T. Identification and expression of six family genes in mouse retina. FEBS Lett. 1996, 393, 259–263. [Google Scholar] [CrossRef] [PubMed]
- Mathers, P.H.; Grinberg, A.; Mahon, K.A.; Jamrich, M. The Rx homeobox gene is essential for vertebrate eye development. Nature 1997, 387, 603–607. [Google Scholar] [CrossRef] [PubMed]
- Halfter, W. Disruption of the retinal basal lamina during early embryonic development leads to a retraction of vitreal end feet, an increased number of ganglion cells, and aberrant axonal outgrowth. J. Comp. Neurol. 1998, 397, 89–104. [Google Scholar] [CrossRef]
- Alternative Splice Isoforms for PAX6 Gene from UniProtKB/Swiss-Prot. GeneCards®: The Human Gene Database. 2024. Available online: https://www.genecards.org/cgi-bin/carddisp.pl?gene=PAX6#proteins-splicing (accessed on 1 April 2019).
- Azuma, N.; Tadokoro, K.; Asaka, A.; Yamada, M.; Yamaguchi, Y.; Handa, H.; Matsushima, S.; Watanabe, T.; Kohsaka, S.; Kida, Y.; et al. The Pax6 isoform bearing an alternative spliced exon promotes the development of the neural retinal structure. Hum. Mol. Genet. 2005, 14, 735–745. [Google Scholar] [CrossRef] [PubMed]
- Incardona, J.P.; Gaffield, W.; Kapur, R.P.; Roelink, H. The teratogenic Veratrum alkaloid cyclopamine inhibits sonic hedgehog signal transduction. Development 1998, 125, 3553–3562. [Google Scholar] [CrossRef]
- SHH Gene-Sonic Hedgehog Signaling Molecule. GeneCards®: The Human Gene Database. 2024. Available online: https://www.genecards.org/cgi-bin/carddisp.pl?gene=SHH&keywords=sonic,hedgehog#domains_families (accessed on 1 April 2019).
- Chow, R.L.; Altmann, C.R.; Lang, R.A.; Hemmati-Brivanlou, A. Pax6 induces ecrtopic eye in a vertebrate. Development 1999, 126, 4213–4222. [Google Scholar] [CrossRef] [PubMed]
- Schwarz, M.; Cecconi, F.; Bernier, G.; Andrejewski, N.; Kammandel, B.; Wagner, M.; Gruss, P. Spatial specification of mammalian eye territories by reciprocal transcriptional repression of Pax2 and Pax6. Development 2000, 127, 4325–4334. [Google Scholar] [CrossRef] [PubMed]
- Zhang, X.M.; Yang, X.J. Temporal and spatial effects of sonic hedgehog signaling in chick eye morphogenesis. Dev. Biol. 2001, 233, 271–290. [Google Scholar] [CrossRef] [PubMed]
- Trousse, F.; Marti, E.; Gruss, P.; Torres, M.; Bovolenta, P. Control of retinal ganglion cell axon growth: A new role for Sonic hedgehog. Development 2001, 128, 3927–3936. [Google Scholar] [CrossRef]
- Epstein, J.A.; Cai, J.; Glaser, T.; Jepeal, L.; Maas, R.L. Identification of a Pax paired domain recognition sequence and evidence for DNA-dependent conformational changes. J. Biol. Chem. 1994, 269, 8355–8361. [Google Scholar] [CrossRef] [PubMed]
- Epstein, J.A.; Glaser, T.; Cai, J.; Jepeal, L.; Walton, D.S.; Maas, R.L. Two independent and interactive DNA-binding subdomains of the Pax6 paired domain are regulated by alternative splicing. Genes Dev. 1994, 8, 2022–2034. [Google Scholar] [CrossRef]
- Yamaguchi, Y.; Sawada, J.; Yamada, M.; Handa, H.; Azuma, N. Autoregulation of Pax6 transcriptional activation by two distinct DNA-binding subdomains of the paired domain. Genes Cells 1997, 2, 255–261. [Google Scholar] [CrossRef] [PubMed]
- Koshiba-Takeuchi, K.; Takeuchi, J.K.; Matsumoto, K.; Momose, T.; Uno, K.; Hoepker, V.; Ogura, K.; Takahashi, N.; Nakamura, H.; Yasuda, K.; et al. Tbx5 and the Retinotectum Projection. Science 2000, 287, 134–137. [Google Scholar] [CrossRef] [PubMed]
- Tsonis, P.A.; Vergara, M.N.; Spence, J.R.; Madhavan, M.; Kramer, E.L.; Call, M.K.; Santiago, W.G.; Vallance, J.E.; Robbins, D.J.; Del Rio-Tsonis, K. A novel role of the hedgehog pathway in lens regeneration. Dev. Biol. 2004, 267, 450–461. [Google Scholar] [CrossRef] [PubMed]
- Azuma, N.; Hirakata, A.; Hida, T.; Kohsaka, S. Histochemical and immunohistochemical studies on keratan sulfate in the anterior segment of the developing human eye. Exp. Eye Res. 1994, 58, 277–286. [Google Scholar] [CrossRef] [PubMed]







Disclaimer/Publisher’s Note: The statements, opinions and data contained in all publications are solely those of the individual author(s) and contributor(s) and not of MDPI and/or the editor(s). MDPI and/or the editor(s) disclaim responsibility for any injury to people or property resulting from any ideas, methods, instructions or products referred to in the content. |
© 2025 by the authors. Licensee MDPI, Basel, Switzerland. This article is an open access article distributed under the terms and conditions of the Creative Commons Attribution (CC BY) license (https://creativecommons.org/licenses/by/4.0/).
Share and Cite
Azuma, N.; Tadokoro, K.; Yamada, M.; Nakafuku, M.; Nishina, H. Sonic Hedgehog Determines Early Retinal Development and Adjusts Eyeball Architecture. Int. J. Mol. Sci. 2025, 26, 496. https://doi.org/10.3390/ijms26020496
Azuma N, Tadokoro K, Yamada M, Nakafuku M, Nishina H. Sonic Hedgehog Determines Early Retinal Development and Adjusts Eyeball Architecture. International Journal of Molecular Sciences. 2025; 26(2):496. https://doi.org/10.3390/ijms26020496
Chicago/Turabian StyleAzuma, Noriyuki, Keiko Tadokoro, Masao Yamada, Masato Nakafuku, and Hiroshi Nishina. 2025. "Sonic Hedgehog Determines Early Retinal Development and Adjusts Eyeball Architecture" International Journal of Molecular Sciences 26, no. 2: 496. https://doi.org/10.3390/ijms26020496
APA StyleAzuma, N., Tadokoro, K., Yamada, M., Nakafuku, M., & Nishina, H. (2025). Sonic Hedgehog Determines Early Retinal Development and Adjusts Eyeball Architecture. International Journal of Molecular Sciences, 26(2), 496. https://doi.org/10.3390/ijms26020496

