DNA Methylation at a Single Locus of Human Genome Accurately Recapitulates Episignature of CREBBP-Related Rubinstein–Taybi Syndrome †
Abstract
1. Introduction
2. Results
2.1. Selection of a Limited Set of Loci Potentially Recapitulating RTS1 Episignature
- -
- chr6:10555905 at locus 1.1;
- -
- chr6:10556052, chr6:10556069, chr6:10556098, chr6:10556174, chr6:10556199, chr6:10556204, chr6:10556244 at locus 1.2;
- -
- chr2:206628415, chr2:206628484, chr2:206628491, chr2:206628521, chr2:206628525, chr2:206628529, chr2:206628531, chr2:206628539 at locus 2.1;
- -
- chr2:206628592, chr2:206628606, chr2:206628609, chr2:206628621, chr2:206628645 and chr2:206628714 at locus 2.2.
2.2. DNA Methylation Quantitative Analysis
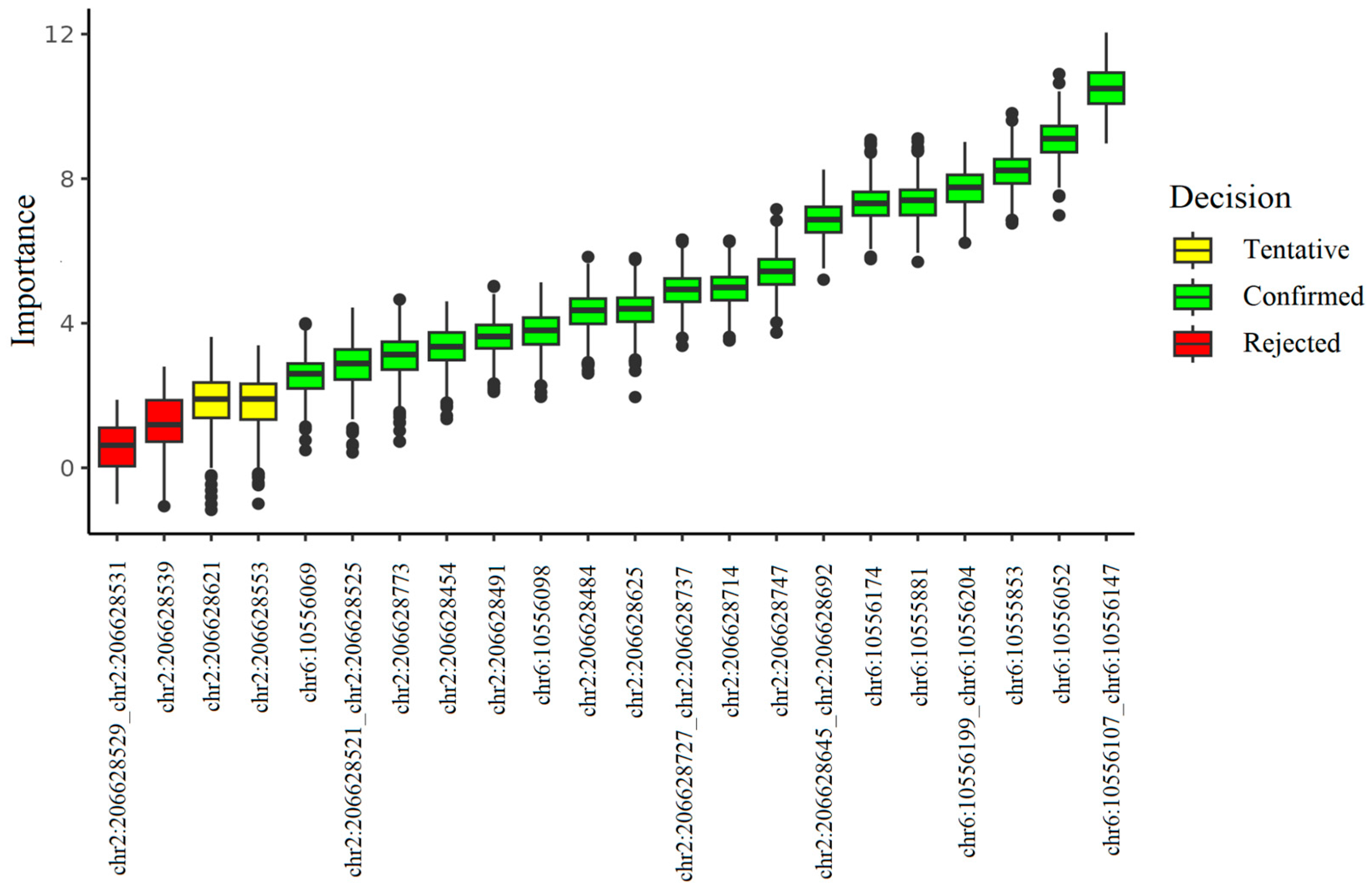
2.3. Feature Selection
2.4. Target Locus DNA Methylation RTS1/Control Cut-Off
2.5. Samples with the CREBBP Gene VUS and from Phenotypically Overlapping Syndromes
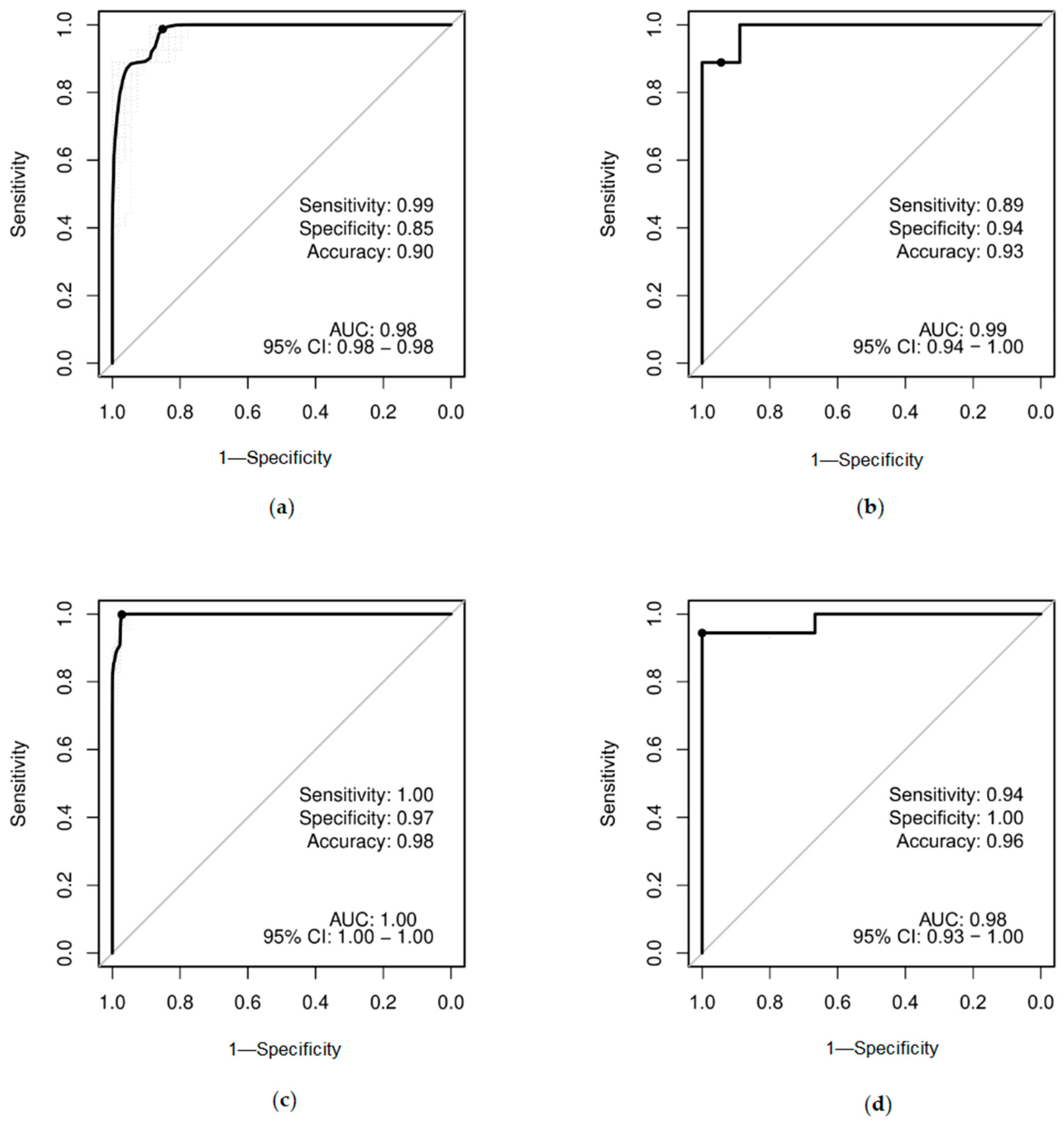
2.6. Sensitivity, Specificity and Accuracy of the Classification Models
3. Discussion
4. Materials and Methods
4.1. Study Cohorts
4.2. Design of a Limited Set of Loci Potentially Recapitulating RTS1 Signature
4.3. Sample Processing
4.4. Sequence Data Processing and Methylation Level Calculation
4.5. Machine Learning
Supplementary Materials
Author Contributions
Funding
Institutional Review Board Statement
Informed Consent Statement
Data Availability Statement
Acknowledgments
Conflicts of Interest
Abbreviations
| NGS | Next-generation sequencing |
| RTS | Rubinstein–Taybi syndrome |
| RTS1 | Rubinstein–Taybi syndrome, type 1, CREBBP-related |
| VUS | Variant of uncertain significance |
| SVM | Support vector machine |
References
- Nava, A.A.; Arboleda, V.A. The Omics Era: A Nexus of Untapped Potential for Mendelian Chromatinopathies. Hum. Genet. 2024, 143, 475–495. [Google Scholar] [CrossRef]
- Bukowska-Olech, E.; Majchrzak-Celińska, A.; Przyborska, M.; Jamsheer, A. Chromatinopathies: Insight in Clinical Aspects and Underlying Epigenetic Changes. J. Appl. Genet. 2024, 65, 287–301. [Google Scholar] [CrossRef]
- Awamleh, Z.; Goodman, S.; Choufani, S.; Weksberg, R. DNA Methylation Signatures for Chromatinopathies: Current Challenges and Future Applications. Hum. Genet. 2024, 143, 551–557. [Google Scholar] [CrossRef] [PubMed]
- Larizza, L.; Finelli, P. Developmental Disorders with Intellectual Disability Driven by Chromatin Dysregulation: Clinical Overlaps and Molecular Mechanisms. Clin. Genet. 2019, 95, 231–240. [Google Scholar] [CrossRef] [PubMed]
- Van Gils, J.; Magdinier, F.; Fergelot, P.; Lacombe, D. Rubinstein-Taybi Syndrome: A Model of Epigenetic Disorder. Genes 2021, 12, 968. [Google Scholar] [CrossRef] [PubMed]
- Stevens, C.A. Rubinstein-Taybi Syndrome. In GeneReviews® [Internet]; Adam, M.P., Feldman, J., Mirzaa, G.M., Eds.; University of Washington: Seattle, WA, USA, [Updated 2023].
- Pérez-Grijalba, V.; García-Oguiza, A.; López, M.; Armstrong, J.; García-Miñaur, S.; Mesa-Latorre, J.M.; O’Callaghan, M.; Pineda Marfa, M.; Ramos-Arroyo, M.A.; Santos-Simarro, F.; et al. New Insights into Genetic Variant Spectrum and Genotype–Phenotype Correlations of Rubinstein-Taybi Syndrome in 39 CREBBP- Positive Patients. Mol. Genet. Genom. Med. 2019, 7, e972. [Google Scholar] [CrossRef] [PubMed]
- Bartsch, O.; Schmidt, S.; Richter, M.; Morlot, S.; Seemanová, E.; Wiebe, G.; Rasi, S. DNA Sequencing of CREBBP Demonstrates Mutations in 56% of Patients with Rubinstein–Taybi Syndrome (RSTS) and in Another Patient with Incomplete RSTS. Hum. Genet. 2005, 117, 485–493. [Google Scholar] [CrossRef]
- Schorry, E.K.; Keddache, M.; Lanphear, N.; Rubinstein, J.H.; Srodulski, S.; Fletcher, D.; Blough-Pfau, R.I.; Grabowski, G.A. Genotype–Phenotype Correlations in Rubinstein–Taybi Syndrome. Am. J. Med. Genet. A 2008, 146A, 2512–2519. [Google Scholar] [CrossRef]
- Wincent, J.; Luthman, A.; Van Belzen, M.; Van Der Lans, C.; Albert, J.; Nordgren, A.; Anderlid, B. CREBBP and EP300 Mutational Spectrum and Clinical Presentations in a Cohort of Swedish Patients with Rubinstein– Taybi Syndrome. Mol. Genet. Genom. Med. 2016, 4, 39–45. [Google Scholar] [CrossRef]
- Cross, E.; Duncan-Flavell, P.J.; Howarth, R.J.; Hobbs, J.I.; Thomas, N.S.; Bunyan, D.J. Screening of a Large Rubinstein–Taybi Cohort Identified Many Novel Variants and Emphasizes the Importance of the CREBBP Histone acetyltransferase Domain. Am. J. Med. Genet. A 2020, 182, 2508–2520. [Google Scholar] [CrossRef]
- Aref-Eshghi, E.; Kerkhof, J.; Pedro, V.P.; Barat-Houari, M.; Ruiz-Pallares, N.; Andrau, J.-C.; Lacombe, D.; Van-Gils, J.; Fergelot, P.; Dubourg, C.; et al. Evaluation of DNA Methylation Episignatures for Diagnosis and Phenotype Correlations in 42 Mendelian Neurodevelopmental Disorders. Am. J. Hum. Genet. 2020, 106, 356–370. [Google Scholar] [CrossRef]
- Levy, M.A.; McConkey, H.; Kerkhof, J.; Barat-Houari, M.; Bargiacchi, S.; Biamino, E.; Bralo, M.P.; Cappuccio, G.; Ciolfi, A.; Clarke, A.; et al. Novel Diagnostic DNA Methylation Episignatures Expand and Refine the Epigenetic Landscapes of Mendelian Disorders. HGG Adv. 2022, 3, 100075. [Google Scholar] [CrossRef] [PubMed]
- Haghshenas, S.; Bhai, P.; Aref-Eshghi, E.; Sadikovic, B. Diagnostic Utility of Genome-Wide DNA Methylation Analysis in Mendelian Neurodevelopmental Disorders. Int. J. Mol. Sci. 2020, 21, 9303. [Google Scholar] [CrossRef]
- Trajkova, S.; Kerkhof, J.; Rossi Sebastiano, M.; Pavinato, L.; Ferrero, E.; Giovenino, C.; Carli, D.; Di Gregorio, E.; Marinoni, R.; Mandrile, G.; et al. DNA Methylation Analysis in Patients with Neurodevelopmental Disorders Improves Variant Interpretation and Reveals Complexity. HGG Adv. 2024, 5, 100309. [Google Scholar] [CrossRef]
- Karpenko, D.V. A Method Using One Fluorophore Signal in Sanger Read to Determine CpG Methylation in Bisulfite Converted DNA. Russ. J. Genet. 2023, 59, 1255–1262. [Google Scholar] [CrossRef]
- Tang, Y.; Ye, X.; Zhan, Y.; Zhang, K.; Qiu, W.; Yang, W.; Gu, X.; Yu, Y.; Xiao, B.; Sun, Y. Correlations between phenotype and gene region-specific episignatures in Rubinstein-Taybi syndrome and Menke-Hennekam syndrome. arXiv 2023. [Google Scholar] [CrossRef]
- Husson, T.; Lecoquierre, F.; Nicolas, G.; Richard, A.-C.; Afenjar, A.; Audebert-Bellanger, S.; Badens, C.; Bilan, F.; Bizaoui, V.; Boland, A.; et al. Episignatures in Practice: Independent Evaluation of Published Episignatures for the Molecular Diagnostics of Ten Neurodevelopmental Disorders. Eur. J. Hum. Genet. 2024, 32, 190–199. [Google Scholar] [CrossRef]
- Coursimault, J.; Goldenberg, A.; Nicolas, G.; Saugier-Veber, P.; Coutant, S.; Vincent, A.; Pouliquen, D.; Feltin, C.; Aref-Eshghi, E.; Sadikovic, B.; et al. Contribution of DNA Methylation Profiling to the Reclassification of a Variant of Uncertain Significance in the KDM5C Gene. Eur. J. Med. Genet. 2022, 65, 104556. [Google Scholar] [CrossRef]
- Aref-Eshghi, E.; Rodenhiser, D.I.; Schenkel, L.C.; Lin, H.; Skinner, C.; Ainsworth, P.; Paré, G.; Hood, R.L.; Bulman, D.E.; Kernohan, K.D.; et al. Genomic DNA Methylation Signatures Enable Concurrent Diagnosis and Clinical Genetic Variant Classification in Neurodevelopmental Syndromes. Am. J. Hum. Genet. 2018, 102, 156–174. [Google Scholar] [CrossRef]
- Aref-Eshghi, E.; Bend, E.G.; Colaiacovo, S.; Caudle, M.; Chakrabarti, R.; Napier, M.; Brick, L.; Brady, L.; Carere, D.A.; Levy, M.A.; et al. Diagnostic Utility of Genome-Wide DNA Methylation Testing in Genetically Unsolved Individuals with Suspected Hereditary Conditions. Am. J. Hum. Genet. 2019, 104, 685–700. [Google Scholar] [CrossRef]
- Ferilli, M.; Ciolfi, A.; Pedace, L.; Niceta, M.; Radio, F.C.; Pizzi, S.; Miele, E.; Cappelletti, C.; Mancini, C.; Galluccio, T.; et al. Genome-Wide DNA Methylation Profiling Solves Uncertainty in Classifying NSD1 Variants. Genes 2022, 13, 2163. [Google Scholar] [CrossRef]
- Richards, S.; Aziz, N.; Bale, S.; Bick, D.; Das, S.; Gastier-Foster, J.; Grody, W.W.; Hegde, M.; Lyon, E.; Spector, E.; et al. Standards and Guidelines for the Interpretation of Sequence Variants: A Joint Consensus Recommendation of the American College of Medical Genetics and Genomics and the Association for Molecular Pathology. Genet. Med. 2015, 17, 405–424. [Google Scholar] [CrossRef]
- Kerkhof, J.; Rastin, C.; Levy, M.A.; Relator, R.; McConkey, H.; Demain, L.; Dominguez-Garrido, E.; Kaat, L.D.; Houge, S.D.; DuPont, B.R.; et al. Diagnostic Utility and Reporting Recommendations for Clinical DNA Methylation Episignature Testing in Genetically Undiagnosed Rare Diseases. Genet. Med. 2024, 26, 101075. [Google Scholar] [CrossRef]
- Man, A.; Di Scipio, M.; McConkey, H.; Hough, R.; Stein, N.; Diehl, E.; Marshall, C.R.; Sadikovic, B.; Ejaz, R. Diagnosis of TET3 -Related Beck–Fahrner Syndrome in an Individual With Chorioretinal and Iris Colobomata Using a DNA Methylation Signature. Am. J. Med. Genet. A 2025, 197, e63864. [Google Scholar] [PubMed]
- Van Der Sluijs, P.J.; Alders, M.; Dingemans, A.J.M.; Parbhoo, K.; Van Bon, B.W.; Dempsey, J.C.; Doherty, D.; Den Dunnen, J.T.; Gerkes, E.H.; Milller, I.M.; et al. A Case Series of Familial ARID1B Variants Illustrating Variable Expression and Suggestions to Update the ACMG Criteria. Genes 2021, 12, 1275. [Google Scholar] [CrossRef]
- Sadikovic, B.; Levy, M.A.; Aref-Eshghi, E. Functional Annotation of Genomic Variation: DNA Methylation Episignatures in Neurodevelopmental Mendelian Disorders. Hum. Mol. Genet. 2020, 29, R27–R32. [Google Scholar] [CrossRef] [PubMed]
- Andrews, S.; Krueger, F.; Segonds-Pichon, A.; Biggins, L.; Krueger, C.; Wingett, S. FastQC; Babraham Institute: Babraham, UK, 2012; Available online: https://www.bioinformatics.babraham.ac.uk/index.html (accessed on 12 June 2024).
- Chen, S.; Zhou, Y.; Chen, Y.; Gu, J. Fastp: An Ultra-Fast All-in-One FASTQ Preprocessor. Bioinformatics 2018, 34, i884–i890. [Google Scholar] [CrossRef]
- Krueger, F.; Andrews, S.R. Bismark: A Flexible Aligner and Methylation Caller for Bisulfite-Seq Applications. Bioinformatics 2011, 27, 1571–1572. [Google Scholar] [CrossRef] [PubMed]
- Langmead, B.; Salzberg, S.L. Fast Gapped-Read Alignment with Bowtie 2. Nat. Methods 2012, 9, 357–359. [Google Scholar] [CrossRef]
- Li, H.; Handsaker, B.; Wysoker, A.; Fennell, T.; Ruan, J.; Homer, N.; Marth, G.; Abecasis, G.; Durbin, R. The Sequence Alignment/Map Format and SAMtools. Bioinformatics 2009, 25, 2078–2079. [Google Scholar] [CrossRef]
- Gao, S.; Zou, D.; Mao, L.; Liu, H.; Song, P.; Chen, Y.; Zhao, S.; Gao, C.; Li, X.; Gao, Z.; et al. BS-SNPer: SNP Calling in Bisulfite-Seq Data. Bioinformatics 2015, 31, 4006–4008. [Google Scholar] [CrossRef] [PubMed]
- Kursa, M.B.; Rudnicki, W.R. Feature Selection with the Boruta Package. J. Stat. Soft. 2010, 36, 1–13. [Google Scholar] [CrossRef]
- Kuhn, M. Building Predictive Models in R Using the Caret Package. J. Stat. Soft. 2008, 28, 1–26. [Google Scholar] [CrossRef]









| Locus Designation | EPIC BeadChips Probe ID | Delta Beta | Genomic Coordinate (hg19) |
|---|---|---|---|
| 1.1 | cg12242450 | −0.2091863895 | chr6:10555808 |
| cg13347910 | −0.1895768459 | chr6:10555853 | |
| cg20812045 | −0.2185013189 | chr6:10555881 | |
| 1.2 | cg12695465 | −0.2022041231 | chr6:10556147 |
| cg05869816 | −0.2050925327 | chr6:10556107 | |
| 2.1 | cg22308949 | −0.1705186729 | chr2:206628553 |
| cg04088940 | −0.1900411119 | chr2:206628454 | |
| 2.2 | cg10807027 | −0.2044400041 | chr2:206628773 |
| cg05348875 | −0.2226405291 | chr2:206628625 | |
| cg10126788 | −0.2404856455 | chr2:206628727 | |
| cg14157435 | −0.2487043485 | chr2:206628692 | |
| cg25715429 | −0.2529336105 | chr2:206628747 | |
| cg20351668 | −0.2675453596 | chr2:206628737 |
| Locus Designation | Bisulfite PCR Primers | Insert Coordinates (hg19) | Encompassed CpGs (hg19) |
|---|---|---|---|
| 1.1 | Primer1F: GGGGGTTAAAGTTTGAATGTTTATTA Primer2R: AAAAAAAATTCCTATCCCAAAAAAT | chr6:10555691-10555946 | chr6:10555808 chr6:10555853 chr6:10555881 chr6:10555905 |
| 1.2 | Primer1F: TTTTTATTTGAGATGTTATTTGTGTTA Primer2R: CCCCCTAATTACTACCATTCAAAA | chr6:10556024-10556275 | chr6:10556147 chr6:10556107 chr6:10556052 chr6:10556069 chr6:10556098 chr6:10556174 chr6:10556199 chr6:10556204 chr6:10556244 |
| 2.1 | Primer1F: TGGGTTTGTTTTTGTTAGATGATAG Primer2R: AACCCACAACAACTTACTCTCCTAA | chr2:206628380-206628588 | chr2:206628553 chr2:206628454 chr2:206628415 chr2:206628484 chr2:206628491 chr2:206628521 chr2:206628525 chr2:206628529 chr2:206628531 chr2:206628539 |
| 2.2 | Primer1F: GGAGAGTAAGTTGTTGTGGGTTATT Primer2R: TAACAAATAAAAATATCATTCAATTACCAT | chr2:206628567-206628809 | chr2:206628773 chr2:206628625 chr2:206628727 chr2:206628692 chr2:206628747 chr2:206628737 chr2:206628592 chr2:206628606 chr2:206628609 chr2:206628621 chr2:206628645 chr2:206628714 |
Disclaimer/Publisher’s Note: The statements, opinions and data contained in all publications are solely those of the individual author(s) and contributor(s) and not of MDPI and/or the editor(s). MDPI and/or the editor(s) disclaim responsibility for any injury to people or property resulting from any ideas, methods, instructions or products referred to in the content. |
© 2025 by the authors. Licensee MDPI, Basel, Switzerland. This article is an open access article distributed under the terms and conditions of the Creative Commons Attribution (CC BY) license (https://creativecommons.org/licenses/by/4.0/).
Share and Cite
Zemlianaia, O.A.; Kalinkin, A.I.; Tanas, A.S.; Efremova, A.V.; Volodin, I.V.; Ismagilova, O.R.; Smirnov, A.S.; Zaletaev, D.V.; Nemtsova, M.V.; Kutsev, S.I.; et al. DNA Methylation at a Single Locus of Human Genome Accurately Recapitulates Episignature of CREBBP-Related Rubinstein–Taybi Syndrome. Int. J. Mol. Sci. 2025, 26, 9183. https://doi.org/10.3390/ijms26189183
Zemlianaia OA, Kalinkin AI, Tanas AS, Efremova AV, Volodin IV, Ismagilova OR, Smirnov AS, Zaletaev DV, Nemtsova MV, Kutsev SI, et al. DNA Methylation at a Single Locus of Human Genome Accurately Recapitulates Episignature of CREBBP-Related Rubinstein–Taybi Syndrome. International Journal of Molecular Sciences. 2025; 26(18):9183. https://doi.org/10.3390/ijms26189183
Chicago/Turabian StyleZemlianaia, Olga A., Alexey I. Kalinkin, Alexander S. Tanas, Anna V. Efremova, Ilya V. Volodin, Olga R. Ismagilova, Anton S. Smirnov, Dmitry V. Zaletaev, Marina V. Nemtsova, Sergey I. Kutsev, and et al. 2025. "DNA Methylation at a Single Locus of Human Genome Accurately Recapitulates Episignature of CREBBP-Related Rubinstein–Taybi Syndrome" International Journal of Molecular Sciences 26, no. 18: 9183. https://doi.org/10.3390/ijms26189183
APA StyleZemlianaia, O. A., Kalinkin, A. I., Tanas, A. S., Efremova, A. V., Volodin, I. V., Ismagilova, O. R., Smirnov, A. S., Zaletaev, D. V., Nemtsova, M. V., Kutsev, S. I., & Strelnikov, V. V. (2025). DNA Methylation at a Single Locus of Human Genome Accurately Recapitulates Episignature of CREBBP-Related Rubinstein–Taybi Syndrome. International Journal of Molecular Sciences, 26(18), 9183. https://doi.org/10.3390/ijms26189183

