Chemodiversity and Biotechnological Potential of Microginins
Abstract
1. Introduction
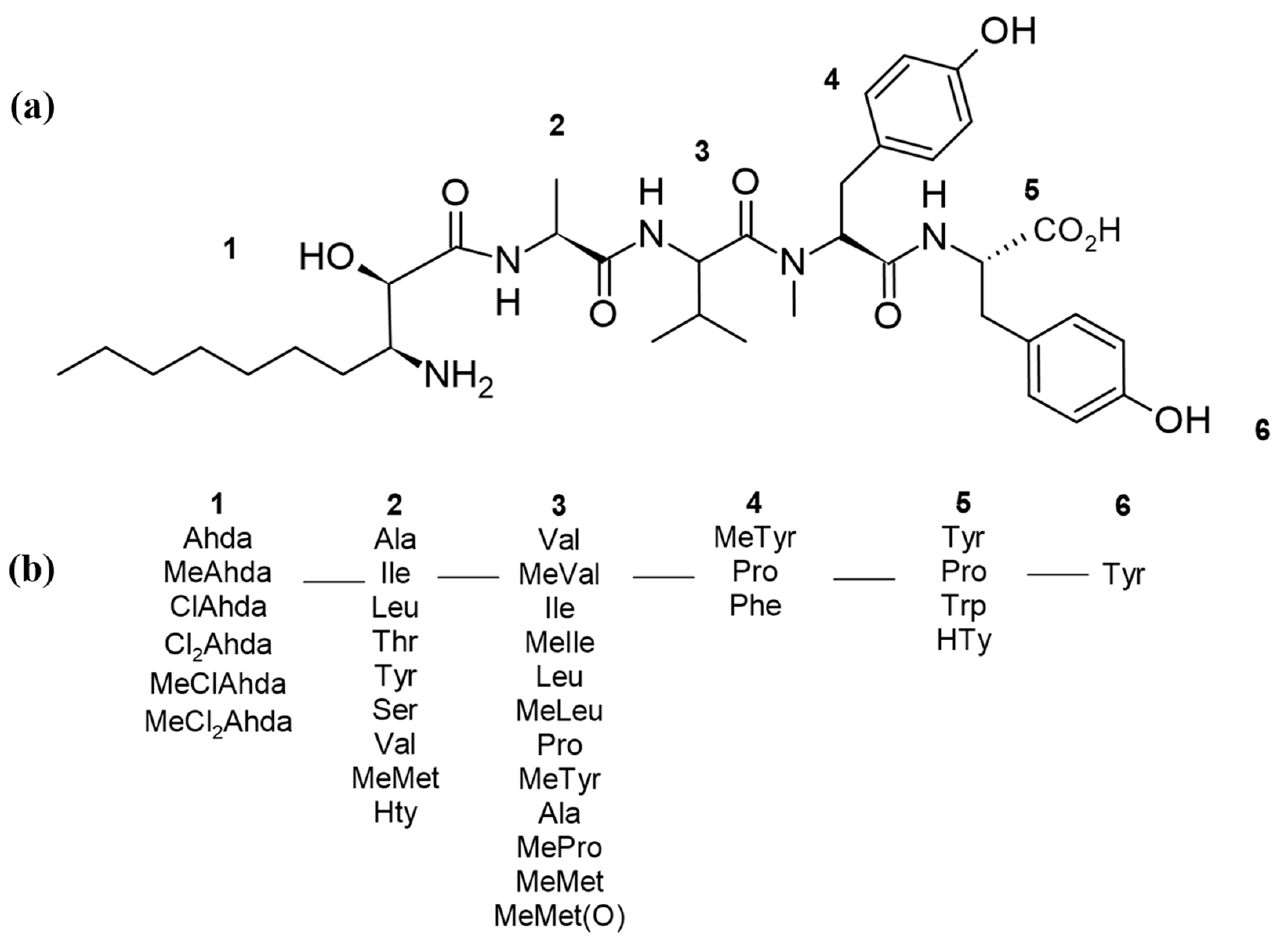
2. Structural Diversity of Microginins
3. Occurrence and Ecology
| N. | Mass (Da) | Microginin | Sequence of Amino Acid | Species | Isolation Source | Ref. | |||||
|---|---|---|---|---|---|---|---|---|---|---|---|
| 1 | 2 | 3 | 4 | 5 | 6 | ||||||
| 1 | 714.40 | 1 | Ahda | Ala | Val | MeTyr | Tyr | - | M. aeruginosa (NIES-100) | Lake Suwa (Japan) | [7] | 
| 2 | 727.0 | FR1 | Ahda | Ala | MeLeu | Tyr | Tyr | - | Microcystis sp. water bloom | Lake Waltershofen (Germany) | [37] | 
| 3 | 887.50 | 299-A | ClAhda | Val | MeVal | MeTyr | Pro | Tyr | M. aeruginosa (NIES-299) | Lake Kasumigaura (Japan) | [21] | 
| 4 | 921.94 | 299-B | Cl2Ahda | Val | MeVal | MeTyr | Pro | Tyr | M. aeruginosa (NIES-299) | Lake Kasumigaura (Japan) | [21] | 
| 5 | 853.05 | 299-C | Ahda | Val | MeVal | MeTyr | Pro | Tyr | M. aeruginosa (NIES-299) | Lake Kasumigaura (Japan) | [17] | 
| 6 | 757.76 | 299-D | Cl2Ahda | Val | MeVal | MeTyr | Pro | - | M. aeruginosa (NIES-299) | Lake Kasumigaura (Japan) | [17] | 
| 7 | 772.37 | 99-A | ClAhda | Tyr | Leu | MeTyr | Pro | - | M. aeruginosa (NIES-99) | Lake Suwa (Japan) | [17] | 
| 8 | 806.81 | 99-B | Cl2Ahda | Tyr | Leu | MeTyr | Pro | - | M. aeruginosa (NIES-99) | Lake Suwa (Japan) | [17] | 
| 9 | 769.96 | 478 | MeAhda | Val | MeVal | MeTyr | Tyr | - | M. aeruginosa (NIES-478) | Lake Kasumigaura (Japan) | [16] | 
| 10 | 917.10 | 51-A | Ahda | Tyr | MeVal | MeTyr | Pro | Tyr | M. aeruginosa TAC-51 | Lake Suwa (Japan) | [16] | 
| 11 | 931.12 | 51-B | MeAhda | Tyr | MeVal | MeTyr | Pro | Tyr | M. aeruginosa TAC-51 | Lake Suwa (Japan) | [16] | 
| 12 | 732.34 | T1 | ClAhda | Ala | Pro | Tyr | Tyr | - | Microcystis sp. water bloom | Lake Teganuma (Japan) | [23] | 
| 13 | 698.38 | T2 | Ahda | Ala | Pro | Tyr | Tyr | - | Microcystis sp. water bloom | Lake Teganuma (Japan) | [23] | 
| 14 | 585.30 | AL584 | ClAhda | Ala | MeVal | MeTyr | - | - | Microcystis sp. TAU-IL306 | Water reservoir Kibbutz (Israel) | [15] | 
| 15 | 575.19 | 91-A | ClAhda | Ile | MeIle | Pro | - | - | M. aeruginosa (NIES-478) | Lake Kasumigaura (Japan) | [16] | 
| 16 | 609.63 | 91-B | Cl2Ahda | Ile | MeIle | Pro | - | - | M. aeruginosa (NIES-478) | Lake Kasumigaura (Japan) | [16] | 
| 17 | 703.92 | 91-C | Ahda | Ile | MeIle | Pro | Tyr | - | M. aeruginosa (NIES-478) | Lake Kasumigaura (Japan) | [16] | 
| 18 | 738.36 | 91-D | ClAhda | Ile | MeIle | Pro | Tyr | - | M. aeruginosa (NIES-478) | Lake Kasumigaura (Japan) | [16] | 
| 19 | 772.81 | 91-E | Cl2Ahda | Ile | MeIle | Pro | Tyr | - | M. aeruginosa (NIES-478) | Lake Kasumigaura (Japan) | [16] | 
| 20 | 774.34 | 773 | Cl2Ada | Pro | Phe | Pro | Tyr | - | M. aeruginosa LEGE 91341 | Lake Braças (Portugal) | [8] | 
4. Biosynthesis
5. Isolation and Characterization Methods
6. Biotechnological Potential
| Microginin | Organism | Source | Ecosystem | Target | Activity (IC50) | Ref. | 
|---|---|---|---|---|---|---|
| 1 | M. aeruginosa (NIES-100). | NIES-collection (Japan) | Freshwater | Inhibits angiotensin-converting enzyme | 7.0 µg·mL−1 | [7] | 
| FR1 | Microcystis sp. | Lake Waltershofen/Freiburg (Germany) | Freshwater | Inhibits angiotensin-converting enzyme | 1.6 × 10−5 | [37] | 
| 299 A | M. aeruginosa (NIES-299). | Lake Kasumigaura (Japan) | Freshwater | Inhibit leucine aminopeptidase, | 4.6 µg·mL−1 | [21] | 
| T1 | Field sample | Lake Teganuma (Japan) | Freshwater bloom | Leucine aminopeptidase/angiotensin-converting enzyme; | 2.0 µg·mL−1/5.0 µg·mL−1 | [23] | 
| T2 | Field sample | Lake Teganuma (Japan) | Freshwater bloom | Leucine aminopeptidase/angiotensin-converting enzyme; | 2.0 µg·mL−1/7.0 µg·mL−1 | [23] | 
| 51-A | M. aeruginosa (TAC-51) | Japan | Freshwater | Inhibits aminopeptidase M | 4.5 (4.9 µM) | [16] | 
| GH787 | Microcystis spp. | Fishpond (Kibbutz Giva’at Haim—Israel) | Freshwater bloom | Inhibits bovine aminopeptidase N | 7.7 mM. | [57] | 
| 756 | Microcystis sp. LTPNA08/09 | Salto Grande Reservoir | Freshwater bloom | aminopeptidase M | 3.26 ± 0.5 μM | [49] | 
| 770 | Microcystis sp. LTPNA08/09 | Salto Grande Reservoir | Freshwater bloom | aminopeptidase M | 1.20 ± 0.1 μM | [49] | 
7. Conclusions
Supplementary Materials
Author Contributions
Funding
Acknowledgments
Conflicts of Interest
References
- Mundt, S.; Kreitlow, S.; Nowotny, A.; Effmert, U. Biochemical and pharmacological investigations of selected cyanobacteria. Int. J. Hyg. Environ. Health 2001, 203, 327–334. [Google Scholar] [CrossRef] [PubMed]
- Kulasooriya, S. Cyanobacteria: Pioneers of Planet Earth. Ceylon J. Sci. 2012, 40, 71–88. [Google Scholar] [CrossRef]
- Yusof, T.N.; Rafatullah, M.; Mohamad, R.; Ismail, N.; Zainuddin, Z.; Lalung, J. Cyanobacteria Characteristics and Methods for Isolation and Accurate Identification of Cyanotoxins: A Review Article. Avicenna J. Environ. Health Eng. 2017, 4, 10051. [Google Scholar] [CrossRef][Green Version]
- Jeong, Y.; Cho, S.-H.; Lee, H.; Choi, H.-K.; Kim, D.-M.; Lee, C.-G.; Cho, S.; Cho, B.-K. Current status and future strategies to increase secondary metabolite production from Cyanobacteria. Microorganisms 2020, 8, 1849. [Google Scholar] [CrossRef] [PubMed]
- Drummond, A.K.; Schuster, T.; Wright, J.L.C. Toxins Workgroup Poster Abstracts. In Cyanobacterial Harmful Algal Blooms: State of the Science and Research Needs; Advances in Experimental Medicine and Biology; Hudnell, H.K., Ed.; Springer: New York, NY, USA, 2008; pp. 465–468. [Google Scholar] [CrossRef]
- Berry, J.; Gantar, M.; Perez, M.; Berry, G.; Noriega, F. Cyanobacterial Toxins as Allelochemicals with Potential Applications as Algaecides, Herbicides and Insecticides. Mar. Drugs 2008, 6, 117–146. [Google Scholar] [CrossRef] [PubMed]
- Okino, T.; Matsuda, H.; Murakami, M.; Yamaguchi, K. Microginin, an angiotensin-converting enzyme inhibitor from the blue-green alga Microcystis aeruginosa. Tetrahedron Lett. 1993, 34, 501–504. [Google Scholar] [CrossRef]
- Eusébio, N.; Castelo-Branco, R.; Sousa, D.; Preto, M.; D’Agostino, P.; Gulder, T.A.M.; Leão, P.N. Discovery and Heterologous Expression of Microginins from Microcystis aeruginosa LEGE 91341. ACS Synth. Biol. 2022, 11, 3493–3503. [Google Scholar] [CrossRef] [PubMed]
- Piepho, R.W. Overview of the angiotensin-converting-enzyme inhibitors. Am. J. Health Syst. Pharm. 2000, 57, S3–S7. [Google Scholar] [CrossRef] [PubMed]
- Zervou, S.-K.; Kaloudis, T.; Hiskia, A.; Mazur-Marzec, H. Fragmentation mass spectra dataset of linear cyanopeptides—Microginins. Data Brief 2020, 31, 105825. [Google Scholar] [CrossRef]
- Ujvárosi, A.Z.; Hercog, K.; Riba, M.; Gonda, S.; Filipič, M.; Vasas, G.; Žegura, B. The cyanobacterial oligopeptides microginins induce DNA damage in the human hepatocellular carcinoma (HepG2) cell line. Chemosphere 2020, 240, 124880. [Google Scholar] [CrossRef]
- Bownik, A.; Adamczuk, M.; Pawlik-Skowrońska, B. Behavioral disturbances induced by cyanobacterial oligopeptides microginin-FR1, anabaenopeptin-A and microcystin-LR are associated with neuromotoric and cytotoxic changes in Brachionus calyciflorus. J. Hazard. Mater. 2022, 438, 129472. [Google Scholar] [CrossRef] [PubMed]
- Jones, M.R.; Pinto, E.; Torres, M.A.; Dörr, F.; Mazur-Marzec, H.; Szubert, K.; Tartaglione, L.; Dell’Aversano, C.; Miles, C.O.; Beach, D.G.; et al. CyanoMetDB, a comprehensive public database of secondary metabolites from cyanobacteria. Water Res. 2021, 196, 117017. [Google Scholar] [CrossRef] [PubMed]
- Janssen, E.M.-L. Cyanobacterial peptides beyond microcystins—A review on co-occurrence, toxicity, and challenges for risk assessment. Water Res. 2019, 151, 488–499. [Google Scholar] [CrossRef]
- Gesner-Apter, S.; Carmeli, S. Three novel metabolites from a bloom of the cyanobacterium Microcystis sp. Tetrahedron 2008, 64, 6628–6634. [Google Scholar] [CrossRef]
- Ishida, K.; Kato, T.; Murakami, M.; Watanabe, M.; Watanabe, M.F. Microginins, Zinc Metalloproteases Inhibitors from the Cyanobacterium Microcystis aeruginosa. Tetrahedron 2000, 56, 8643–8656. [Google Scholar] [CrossRef]
- Ishida, K.; Matsuda, H.; Murakami, M. Four new microginins, linear peptides from the cyanobacterium Microcystis aeruginosa. Tetrahedron 1998, 54, 13475–13484. [Google Scholar] [CrossRef]
- Stewart, A.K.; Ravindra, R.; Van Wagoner, R.M.; Wright, J.L.C. Metabolomics-Guided Discovery of Microginin Peptides from Cultures of the Cyanobacterium Microcystis aeruginosa. J. Nat. Prod. 2018, 81, 349–355. [Google Scholar] [CrossRef] [PubMed]
- Schreidah, C.M.; Ratnayake, K.; Senarath, K.; Karunarathne, A. Microcystins: Biogenesis, Toxicity, Analysis, and Control. Chem. Res. Toxicol. 2020, 33, 2225–2246. [Google Scholar] [CrossRef] [PubMed]
- Bunnage, M.E.; Burke, A.J.; Davies, S.G.; Goodwin, C.J. Asymmetric synthesis of the N-terminal component of microginin: (2S,3R)-3-amino-2-hydroxydecanoic acid, its (2R,3R)-epimer and (3R)-3-aminodecanoic acid. Tetrahedron Asymmetry 1995, 6, 165–176. [Google Scholar] [CrossRef]
- Ishida, K.; Matsuda, H.; Murakami, M.; Yamaguchi, K. Microginins 299-A and -B, leucine aminopeptidase inhibitors from the cyanobacterium Microcystis aeruginosa (NIES-299). Tetrahedron 1997, 53, 10281–10288. [Google Scholar] [CrossRef]
- Watanabe, M.F.; Park, H.-D.; Kondo, F.; Harada, K.; Hayashi, H.; Okino, T. Identification and estimation of microcystins in freshwater mussels. Nat. Toxins 2006, 5, 31–35. [Google Scholar] [CrossRef]
- Kodani, S.; Suzuki, S.; Ishida, K.; Murakami, M. Five new cyanobacterial peptides from water bloom materials of lake Teganuma (Japan). FEMS Microbiol. Lett. 1999, 178, 343–348. [Google Scholar] [CrossRef]
- Sano, T.; Takagi, H.; Morrison, L.F.; Metcalf, J.S.; Codd, G.A.; Kaya, K. Leucine aminopeptidase M inhibitors, cyanostatin A and B, isolated from cyanobacterial water blooms in Scotland. Phytochemistry 2005, 66, 543–548. [Google Scholar] [CrossRef] [PubMed]
- Ploutno, A.; Carmeli, S. Modified peptides from a water bloom of the cyanobacterium Nostoc sp. Tetrahedron 2002, 58, 9949–9957. [Google Scholar] [CrossRef]
- Rounge, T.B.; Rohrlack, T.; Nederbragt, A.J.; Kristensen, T.; Jakobsen, K.S. A genome-wide analysis of nonribosomal peptide synthetase gene clusters and their peptides in a Planktothrix rubescens strain. BMC Genom. 2009, 10, 396. [Google Scholar] [CrossRef] [PubMed]
- Teramoto, K.; Dorr, F.; Sanz, M.; Pinto, E. MÉTODO DE TRIAGEM DE MICROGININAS EM CIANOBACTÉRIAS POR LC-MS/MS. Quím. Nova 2020, 43, 1385–1392. [Google Scholar] [CrossRef]
- Welker, M.; Von Döhren, H. Cyanobacterial peptides—Nature’s own combinatorial biosynthesis. FEMS Microbiol. Rev. 2006, 30, 530–563. [Google Scholar] [CrossRef] [PubMed]
- Zervou, S.-K.; Gkelis, S.; Kaloudis, T.; Hiskia, A.; Mazur-Marzec, H. New microginins from cyanobacteria of Greek freshwaters. Chemosphere 2020, 248, 125961. [Google Scholar] [CrossRef] [PubMed]
- Chen, S.; He, H.; Zong, R.; Liu, K.; Miao, Y.; Yan, M.; Xu, L. Geographical Patterns of Algal Communities Associated with Different Urban Lakes in China. Int. J. Environ. Res. Public Health 2020, 17, 1009. [Google Scholar] [CrossRef]
- Carvalho, L.R.D.; Pipole, F.; Werner, V.R.; Laughinghouse Iv, H.D.; Camargo, A.C.M.D.; Rangel, M.; Konno, K.; Sant’ Anna, C.L. A toxic cyanobacterial bloom in an urban coastal lake, Rio Grande do Sul state, Southern Brazil. Braz. J. Microbiol. 2008, 39, 761–769. [Google Scholar] [CrossRef]
- Wiedner, C.; Visser, P.M.; Fastner, J.; Metcalf, J.S.; Codd, G.A.; Mur, L.R. Effects of Light on the Microcystin Content of Microcystis Strain PCC 7806. Appl. Environ. Microbiol. 2003, 69, 1475–1481. [Google Scholar] [CrossRef] [PubMed]
- Carneiro, R.L.; Dörr, F.A.; Dörr, F.; Bortoli, S.; Delherbe, N.; Vásquez, M.; Pinto, E. Co-occurrence of microcystin and microginin congeners in Brazilian strains of Microcystis sp. FEMS Microbiol. Ecol. 2012, 82, 692–702. [Google Scholar] [CrossRef] [PubMed]
- Rohrlack, T.; Dittmann, E.; Börner, T.; Christoffersen, K. Effects of Cell-Bound Microcystins on Survival and Feeding of Daphnia spp. Appl. Environ. Microbiol. 2001, 67, 3523–3529. [Google Scholar] [CrossRef] [PubMed]
- Welker, M.; Maršálek, B.; Šejnohová, L.; Von Döhren, H. Detection and identification of oligopeptides in Microcystis (cyanobacteria) colonies: Toward an understanding of metabolic diversity. Peptides 2006, 27, 2090–2103. [Google Scholar] [CrossRef] [PubMed]
- Pawlik-Skowrońska, B.; Bownik, A.; Pogorzelec, M.; Kulczycka, J.; Sumińska, A. First report on adverse effects of cyanobacterial anabaenopeptins, aeruginosins, microginin and their mixtures with microcystin and cylindrospermopsin on aquatic plant physiology: An experimental approach. Toxicon 2023, 236, 107333. [Google Scholar] [CrossRef]
- Neumann, U.; Forchert, A.; Flury, T.; Weckesser, J. Microginin FR1, a linear peptide from a water bloom of Microcystis species. FEMS Microbiol. Lett. 2006, 153, 475–478. [Google Scholar] [CrossRef]
- Martins, J.; Saker, M.L.; Moreira, C.; Welker, M.; Fastner, J.; Vasconcelos, V.M. Peptide diversity in strains of the cyanobacterium Microcystis aeruginosa isolated from Portuguese water supplies. Appl. Microbiol. Biotechnol. 2009, 82, 951–961. [Google Scholar] [CrossRef]
- Kramer, D. Microginin Producing Proteins and Nucleic Acids Encoding a Microginin Gene Cluster as Well as Methods for Creating Microginins. WO Patent 2007/062867, 7 June 2007. [Google Scholar]
- Strangman, W.K.; Wright, J.L.C. Microginins 680, 646, and 612—New chlorinated Ahoa-containing peptides from a strain of cultured Microcystis aeruginosa. Tetrahedron Lett. 2016, 57, 1801–1803. [Google Scholar] [CrossRef]
- Lodin-Friedman, A.; Carmeli, S. Microginins from a Microcystis sp. Bloom Material Collected from the Kishon Reservoir, Israel. Mar. Drugs 2018, 16, 78. [Google Scholar] [CrossRef]
- Calabro, K.; Genta-Jouve, G.; Thomas, O.P. Structure Revision of Microginins 674 and 690 from the Cultured Cyanobacterium Microcystis aeruginosa. J. Nat. Prod. 2019, 82, 1040–1044. [Google Scholar] [CrossRef]
- Brown, N.J.; Vaughan, D.E. Angiotensin-Converting Enzyme Inhibitors. Circulation 1998, 97, 1411–1420. [Google Scholar] [CrossRef] [PubMed]
- Wu, Z.; Yao, T.; Wang, Z.; Liu, B.; Wu, N.; Lu, M.; Shen, N. Association between angiotensin-converting enzyme inhibitors and the risk of lung cancer: A systematic review and meta-analysis. Br. J. Cancer 2023, 128, 168–176. [Google Scholar] [CrossRef] [PubMed]
- Bicket, D.P. Using ACE inhibitors appropriately. Am. Fam. Phys. 2002, 66, 461–468. [Google Scholar]
- Mucha, A.; Drag, M.; Dalton, J.P.; Kafarski, P. Metallo-aminopeptidase inhibitors. Biochimie 2010, 92, 1509–1529. [Google Scholar] [CrossRef] [PubMed]
- Nandan, A.; Nampoothiri, K.M. Therapeutic and biotechnological applications of substrate specific microbial aminopeptidases. Appl. Microbiol. Biotechnol. 2020, 104, 5243–5257. [Google Scholar] [CrossRef] [PubMed]
- Sanz, Y. Aminopeptidases. In Industrial Enzymes; Polaina, J., MacCabe, A.P., Eds.; Springer: Dordrecht, The Netherlands, 2007; pp. 243–260. [Google Scholar] [CrossRef]
- Ferreira, G.M.; Kronenberger, T.; De Almeida, É.C.; Sampaio, J.; Terra, C.F.; Pinto, E.; Trossini, G.H.G. Inhibition of Porcine Aminopeptidase M (pAMP) by the Pentapeptide Microginins. Molecules 2019, 24, 4369. [Google Scholar] [CrossRef] [PubMed]
- Hur, B.; Wong, V.; Lee, E.D. A Comparative Review of Pregnancy and Cancer and Their Association with Endoplasmic Reticulum Aminopeptidase 1 and 2. Int. J. Mol. Sci. 2023, 24, 3454. [Google Scholar] [CrossRef] [PubMed]
- Bauvois, B.; Dauzonne, D. Aminopeptidase-N/CD13 (EC 3.4.11.2) inhibitors: Chemistry, biological evaluations, and therapeutic prospects. Med. Res. Rev. 2006, 26, 88–130. [Google Scholar] [CrossRef]
- Turner, A.J. Aminopeptidase N. In Handbook of Proteolytic Enzymes; Elsevier: Amsterdam, The Netherlands, 2013; pp. 397–403. [Google Scholar] [CrossRef]
- Wickström, M.; Larsson, R.; Nygren, P.; Gullbo, J. Aminopeptidase N (CD13) as a target for cancer chemotherapy. Cancer Sci. 2011, 102, 501–508. [Google Scholar] [CrossRef]
- Santiago, C.; Mudgal, G.; Reguera, J.; Recacha, R.; Albrecht, S.; Enjuanes, L.; Casasnovas, J.M. Allosteric inhibition of aminopeptidase N functions related to tumor growth and virus infection. Sci. Rep. 2017, 7, 46045. [Google Scholar] [CrossRef]
- Silva, C.; Ribeiro, A.; Ferreira, D.; Veiga, F. Administração oral de peptídios e proteínas: I. Estratégias gerais para aumento da biodisponibilidade oral. Rev. Bras. Cienc. Farm. 2002, 38, 125–140. [Google Scholar] [CrossRef]
- Paiva, F.; Ferreira, G.; Trossini, G.; Pinto, E. Identification, In Vitro Testing and Molecular Docking Studies of Microginins’ Mechanism of Angiotensin-Converting Enzyme Inhibition. Molecules 2017, 22, 1884. [Google Scholar] [CrossRef] [PubMed]
- Lifshits, M.; Zafrir-Ilan, E.; Raveh, A.; Carmeli, S. Protease inhibitors from three fishpond water blooms of Microcystis spp. Tetrahedron 2011, 67, 4017–4024. [Google Scholar] [CrossRef]
- Riba, M.; Kiss-Szikszai, A.; Gonda, S.; Boros, G.; Vitál, Z.; Borsodi, A.K.; Krett, G.; Borics, G.; Ujvárosi, A.Z.; Vasas, G. Microcystis Chemotype Diversity in the Alimentary Tract of Bigheaded Carp. Toxins 2019, 11, 288. [Google Scholar] [CrossRef] [PubMed]
- McDonald, K.; DesRochers, N.; Renaud, J.B.; Sumarah, M.W.; McMullin, D.R. Metabolomics Reveals Strain-Specific Cyanopeptide Profiles and Their Production Dynamics in Microcystis aeruginosa and M. flos-aquae. Toxins 2023, 15, 254. [Google Scholar] [CrossRef]
- Bagchi, S.N.; Sondhia, S.; Agrawal, M.K.; Banerjee, S. An angiotensin-converting enzyme-inhibitory metabolite with partial structure of microginin in a cyanobacterium Anabaena fertilissima CCC597, producing fibrinolytic protease. J. Appl. Phycol. 2016, 28, 177–180. [Google Scholar] [CrossRef]
- Fernandes, K.; Gomes, A.; Calado, L.; Yasui, G.; Assis, D.; Henry, T.; Fonseca, A.; Pinto, E. Toxicity of Cyanopeptides from Two Microcystis Strains on Larval Development of Astyanax Altiparanae. Toxins 2019, 11, 220. [Google Scholar] [CrossRef]





| Gene | Products | Function | 
|---|---|---|
| micA | Fatty acid AMP-ligase | Activate the fatty acid as acyl adenylate. | 
| micB | Acyl carrier protein | Bind the fatty acid adenylate as a thioester. | 
| micC | Di-metal carboxylate halogenase | Halogenation of Ahda residues | 
| micD | Type I PKS/NRPS hybrid. | Elongation of the Ahda fragment and modification of the peptide | 
| micE | NRPS | Select and activate a specific amino acid for incorporation into the growing peptide chain. | 
| micF | NRPS | Selecting and activating a specific amino acid for incorporation into the growing peptide chain | 
| micG | ABC transporter | Transporting the peptide | 
| micH | SAM-dependent methyl transferase | Transfer methyl groups to the peptide. | 
| Disclaimer/Publisher’s Note: The statements, opinions and data contained in all publications are solely those of the individual author(s) and contributor(s) and not of MDPI and/or the editor(s). MDPI and/or the editor(s) disclaim responsibility for any injury to people or property resulting from any ideas, methods, instructions or products referred to in the content. | 
© 2025 by the authors. Licensee MDPI, Basel, Switzerland. This article is an open access article distributed under the terms and conditions of the Creative Commons Attribution (CC BY) license (https://creativecommons.org/licenses/by/4.0/).
Share and Cite
da Silva Pinto Neto, J.; Serra, G.M.; Xavier, L.P.; Santos, A.V. Chemodiversity and Biotechnological Potential of Microginins. Int. J. Mol. Sci. 2025, 26, 6117. https://doi.org/10.3390/ijms26136117
da Silva Pinto Neto J, Serra GM, Xavier LP, Santos AV. Chemodiversity and Biotechnological Potential of Microginins. International Journal of Molecular Sciences. 2025; 26(13):6117. https://doi.org/10.3390/ijms26136117
Chicago/Turabian Styleda Silva Pinto Neto, Joaquim, Gustavo Marques Serra, Luciana Pereira Xavier, and Agenor Valadares Santos. 2025. "Chemodiversity and Biotechnological Potential of Microginins" International Journal of Molecular Sciences 26, no. 13: 6117. https://doi.org/10.3390/ijms26136117
APA Styleda Silva Pinto Neto, J., Serra, G. M., Xavier, L. P., & Santos, A. V. (2025). Chemodiversity and Biotechnological Potential of Microginins. International Journal of Molecular Sciences, 26(13), 6117. https://doi.org/10.3390/ijms26136117
 
        


 
       