Optimization of a Pressurized Extraction Process Based on a Ternary Solvent System for the Recovery of Neuroprotective Compounds from Eucalyptus marginata Leaves
Abstract
1. Introduction
2. Results and Discussion
2.1. Yields and Kinetic Extraction Study
2.2. Phenolic Compound and Flavonoid Quantification
2.3. Biological Activity Evaluation
2.3.1. Antioxidant Activities
2.3.2. Anticholinergic Activity (AChE)
2.3.3. Anti-Inflammatory Activity (LOX Inhibition)
2.4. Optimization of Extraction Conditions
2.5. Chemical Analysis by GC-MS of Optimal Extract
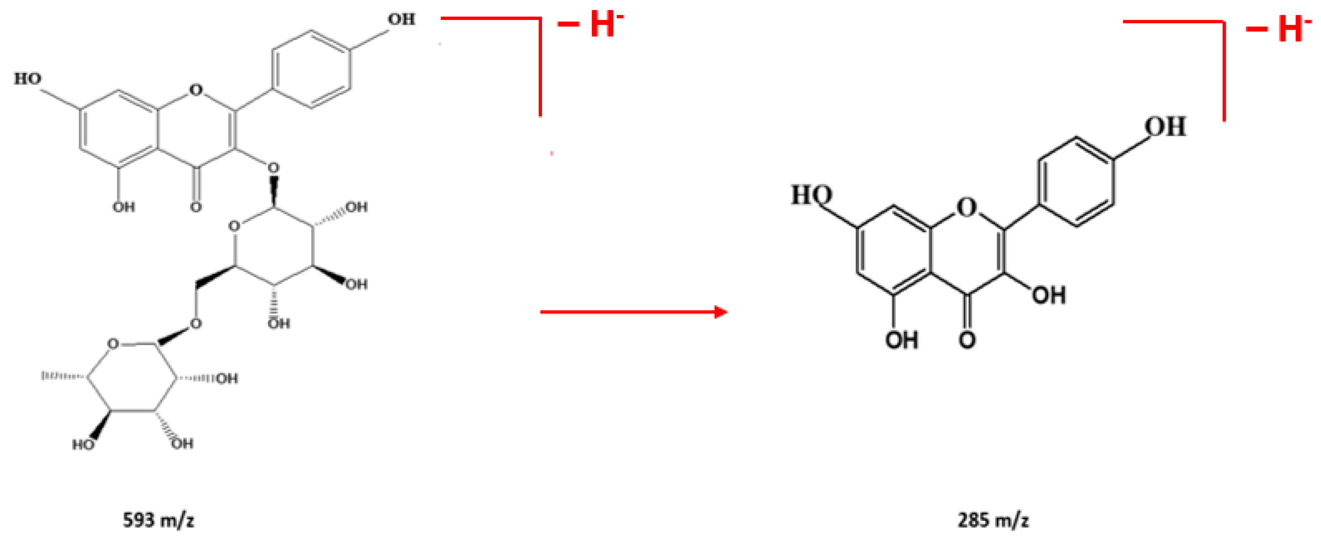
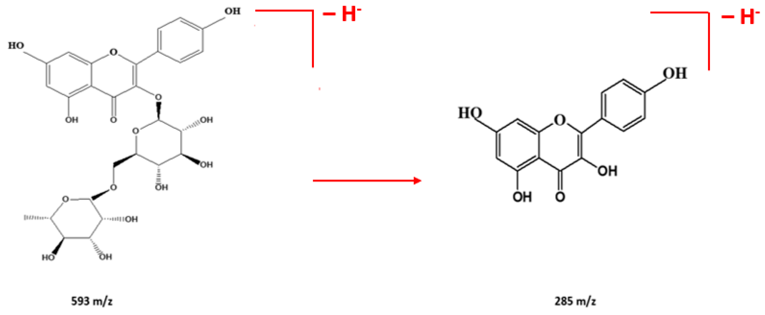
2.6. Chemical Screening of Phenolic Compounds by HPLC-ESI-MS/MS
3. Materials and Methods
3.1. Plant Material
3.2. Extraction Process and Experimental Design
3.3. Phytochemical Screening and Extract Characterization
3.3.1. Total Phenolic Content (TPC)
3.3.2. Total Flavonoid Content (TFC)
3.4. In Vitro Bioactivity
3.4.1. DPPH Radical-Scavenging Assay
3.4.2. Antioxidant Capacity of ABTS-TEAC
3.4.3. Oxygen Radical Absorbance Capacity (ORAC)
3.4.4. Acetylcholinesterase Inhibitory Capacity
3.4.5. Lipoxygenase (LOX) Inhibitory Capacity
3.5. Chemical Characterization of E. marginata Leaf Extracts
3.5.1. GC-MS Analysis
3.5.2. LC-ESI-MS/MS Analysis
4. Conclusions
Author Contributions
Funding
Data Availability Statement
Conflicts of Interest
Abbreviations
References
- Moges, G.W.; Manahelohe, G.M.; Asegie, M.A. Phenolic, Flavonoid Contents, Antioxidant, and Antibacterial Activity of Selected Eucalyptus Species: Review. Biol. Med. Nat. Prod. Chem. 2024, 13, 147–157. [Google Scholar] [CrossRef]
- Hasni, S.; Rigane, G.; Ghazghazi, H.; Riguene, H.; Bouallegue, A.; Khedher, O.; Oueslati, M.A.; Ben Salem, R. Optimum Conditions and LC-ESI-MS Analysis of Phenolic Rich Extract from Eucalyptus marginata L. Under Maceration and Ultrasound-Assisted Extraction Methods Using Response Surface Methodology. J. Food Qual. 2021, 2021, 5591022. [Google Scholar] [CrossRef]
- Islam, M.K.; Barbour, E.; Locher, C. Authentication of Jarrah (Eucalyptus Marginata) Honey through Its Nectar Signature and Assessment of Its Typical Physicochemical Characteristics. PeerJ Anal. Chem. 2024, 6, e33. [Google Scholar] [CrossRef]
- Wu, J.; Wang, Z.; Cheng, X.; Lian, Y.; An, X.; Wu, D. Preliminary Study on Total Component Analysis and In Vitro Antitumor Activity of Eucalyptus Leaf Residues. Molecules 2024, 29, 280. [Google Scholar] [CrossRef]
- Basha, A.N.; Subramanian, R.; Chithan, K.; Vincent, G.G.; Murugesan, K.; Ramachandran, A.; Jayakumararaj, R. Properties and mechanism of antimicrobial agents from plant-derived essential oils. In Bioprospecting of Tropical Medicinal Plants; Springer Nature: Cham, Switzerland, 2023; pp. 1347–1363. [Google Scholar] [CrossRef]
- González-Burgos, E.; Liaudanskas, M.; Viškelis, J.; Žvikas, V.; Janulis, V.; Gómez-Serranillos, M.P. Antioxidant Activity, Neuroprotective Properties and Bioactive Constituents Analysis of Varying Polarity Extracts from Eucalyptus Globulus Leaves. J. Food Drug Anal. 2018, 26, 1293–1302. [Google Scholar] [CrossRef] [PubMed]
- Herzyk, F.; Piłakowska-Pietras, D.; Korzeniowska, M. Supercritical Extraction Techniques for Obtaining Biologically Active Substances from a Variety of Plant Byproducts. Foods 2024, 13, 1713. [Google Scholar] [CrossRef]
- Lefebvre, T.; Destandau, E.; Lesellier, E. Selective extraction of bioactive compounds from plants using recent extraction techniques: A review. J. Chromatogr. A 2021, 1635, 461770. [Google Scholar] [CrossRef]
- Joradon, P.; Rungsardthong, V.; Ruktanonchai, U.; Suttisintong, K.; Thumthanaruk, B.; Vatanyoopaisarn, S.; Uttapap, D.; Mendes, A.C. Extraction of Bioactive Compounds from Lion’s Mane Mushroom By-Product Using Supercritical CO2 Extraction. J. Supercrit. Fluids 2024, 206, 106162. [Google Scholar] [CrossRef]
- Alvarez-Rivera, G.; Bueno, M.; Ballesteros-Vivas, D.; Mendiola, J.A.; Ibañez, E. Pressurized Liquid Extraction. Liq. Extr. 2019, 375–398. [Google Scholar] [CrossRef]
- Sánchez-Martínez, J.D.; Alvarez-Rivera, G.; Gallego, R.; Fagundes, M.B.; Valdés, A.; Mendiola, J.A.; Ibañez, E.; Cifuentes, A. Neuroprotective Potential of Terpenoid-Rich Extracts from Orange Juice by-Products Obtained by Pressurized Liquid Extraction. Food Chem. X 2022, 13, 100242. [Google Scholar] [CrossRef] [PubMed]
- Sánchez-Camargo, A.d.P.; Mendiola, J.A.; Ibáñez, E. Gas Expanded-Liquids. In Supercritical and Other High-Pressure Solvent Systems: For Extraction, Reaction and Material Processing; Hunt, A.J., Attard, T.M., Eds.; Royal Society of Chemistry: London, UK, 2018. [Google Scholar] [CrossRef]
- Seabra, I.J.; Braga, M.E.M.; Batista, M.T.; De Sousa, H.C. Effect of Solvent (CO2/Ethanol/H2O) on the Fractionated Enhanced Solvent Extraction of Anthocyanins from Elderberry Pomace. J. Supercrit. Fluids 2010, 54, 145–152. [Google Scholar] [CrossRef]
- Paula, J.T.; Paviani, L.C.; Foglio, M.A.; Sousa, I.M.O.; Cabral, F.A. Extraction of Anthocyanins from Arrabidaea Chica in Fixed Bed Using CO2 and CO2/Ethanol/Water Mixtures as Solvents. J. Supercrit. Fluids 2013, 81, 33–41. [Google Scholar] [CrossRef]
- Da Porto, C.; Decorti, D.; Natolino, A. Water and Ethanol as Co-Solvent in Supercritical Fluid Extraction of Proanthocyanidins from Grape Marc: A Comparison and a Proposal. J. Supercrit. Fluids 2014, 87, 1–8. [Google Scholar] [CrossRef]
- Solana, M.; Boschiero, I.; Dall’Acqua, S.; Bertucco, A. A Comparison between Supercritical Fluid and Pressurized Liquid Extraction Methods for Obtaining Phenolic Compounds from Asparagus officinalis L. J. Supercrit. Fluids 2015, 100, 201–208. [Google Scholar] [CrossRef]
- Ouattara, B.; Semay, I.; Ouédraogo, J.C.W.; Gerbaux, P.; Ouédraogo, I.W. Optimization of the Extraction of Phenolic Compounds from Eucalyptus camaldulensis Dehnh Leaves Using Response Surface Methodology. Chem. Afr. 2024, 7, 1251–1267. [Google Scholar] [CrossRef]
- Grichi, A.; Khammassi, M.; Khouja, M.; Amri, I.; Khouja, M.L. Phytochemical screening and herbicidal properties of aqueous extract of Eucalyptus cinerea F. Muell. Ex Benth.: Source of phenolic molecules with allelopathic potential. Vegetos 2024. [Google Scholar] [CrossRef]
- Nagappan, D.; Sivaraj, M.; Periyasamy, S.; Kamalanathan, A.; Gnanavel, B.; Chinnappan, B. Phytochemical Analysis and Evaluation of Antifungal Properties of Eucalyptus Oil against Candida Species. Shanlax Int. J. Arts Sci. Humanit. 2024, 12, 1–15. [Google Scholar] [CrossRef]
- Alcoléa, M.; Junior, M.B.S.; de Moura Oliveira, K.A.; Tussolini, L.; Leite, M.A.G.; Honorio-França, A.C.; Pertuzatti, P.B. Bioactive compounds of honey from different regions of Brazil: The effect of simulated gastrointestinal digestion on antioxidant and antimicrobial properties. Food Funct. 2024, 15, 1310–1322. [Google Scholar] [CrossRef] [PubMed]
- Park, J.Y.; Kim, J.Y.; Son, Y.G.; Kang, S.D.; Lee, S.W.; Kim, K.D.; Kim, J.Y. Characterization of Chemical Composition and Antioxidant Activity of Eucalyptus Globulus Leaves under Different Extraction Conditions. Appl. Sci. 2023, 13, 9984. [Google Scholar] [CrossRef]
- Wahid, M.; Ali, A.; Saqib, F.; Aleem, A.; Bibi, S.; Afzal, K.; Ali, A.; Baig, A.; Khan, S.A.; Bin Asad, M.H.H. Pharmacological Exploration of Traditional Plants for the Treatment of Neurodegenerative Disorders. Phyther. Res. 2020, 34, 3089–3112. [Google Scholar] [CrossRef]
- Amessis-Ouchemoukh, N.; Madani, K.; Falé, P.L.V.; Serralheiro, M.L.; Araújo, M.E.M. Antioxidant Capacity and Phenolic Contents of Some Mediterranean Medicinal Plants and Their Potential Role in the Inhibition of Cyclooxygenase-1 and Acetylcholinesterase Activities. Ind. Crops Prod. 2014, 53, 6–15. [Google Scholar] [CrossRef]
- Manga, E.; Brostaux, Y.; Ngondi, J.L.; Sindic, M. Optimisation of Phenolic Compounds and Antioxidant Activity Extraction Conditions of a Roasted Mix of Tetrapleura tetraptera (Schumach & Thonn.) and Aframomum citratum (C. Pereira) Fruits Using Response Surface Methodology (RSM). Saudi J. Biol. Sci. 2020, 27, 2054–2064. [Google Scholar] [CrossRef] [PubMed]
- Hassine, D.B.; Rahmani, R.; Souchard, J.P.; Abderrabba, M.; Bouajila, J. Eucalyptus brevifolia F. Muell and Eucalyptus stricklandii Maiden Leaves Extracts: HPLC-DAD, GC-MS Analysis and In Vitro Biological Activities, Combined with the Principal Component Analysis. S. Afr. J. Bot. 2022, 147, 826–839. [Google Scholar] [CrossRef]
- Kühn, S.; Temelli, F. Recovery of Bioactive Compounds from Cranberry Pomace Using Ternary Mixtures of CO2 + Ethanol + Water. J. Supercrit. Fluids 2017, 130, 147–155. [Google Scholar] [CrossRef]
- Radzali, S.A.; Markom, M.; Saleh, N.M. Co-Solvent Selection for Supercritical Fluid Extraction (SFE) of Phenolic Compounds from Labisia pumila. Molecules 2020, 25, 5859. [Google Scholar] [CrossRef]
- Hassim, N.; Markom, M.; Rosli, M.I.; Harun, S. Scale-up Approach for Supercritical Fluid Extraction with Ethanol–Water Modified Carbon Dioxide on Phyllanthus niruri for Safe Enriched Herbal Extracts. Sci. Rep. 2021, 11, 15818. [Google Scholar] [CrossRef]
- Solana, M.; Boschiero, I.; Dall’Acqua, S.; Bertucco, A. Extraction of Bioactive Enriched Fractions from Eruca sativa Leaves by Supercritical CO2 Technology Using Different Co-Solvents. J. Supercrit. Fluids 2014, 94, 245–251. [Google Scholar] [CrossRef]
- Marzoug, H.N.B.; Romdhane, M.; Lebrihi, A.; Lebrihi, F.; Couderc, F.; Abderraba, M.; Abderraba, M.L.; Bouajila, J. Eucalyptus oleosa Essential Oils: Chemical Composition and Antimicrobial and Antioxidant Activities of the Oils from Different Plant Parts (Stems, Leaves, Flowers and Fruits). Molecules 2011, 16, 1695–1709. [Google Scholar] [CrossRef] [PubMed]
- Masyita, A.; Mustika Sari, R.; Dwi Astuti, A.; Yasir, B.; Rahma Rumata, N.; Emran, T.B.; Nainu, F.; Simal-Gandara, J. Terpenes and Terpenoids as Main Bioactive Compounds of Essential Oils, Their Roles in Human Health and Potential Application as Natural Food Preservatives. Food Chem. X 2022, 13, 100217. [Google Scholar] [CrossRef] [PubMed]
- Sun, W.; Shahrajabian, M.H. Potencial Terapêutico de Compostos Fenólicos Em Plantas Medicinais—Produtos Naturais de Saúde Para a Saúde Humana. Molecules 2023, 28, 1845. [Google Scholar] [CrossRef]
- Wojtunik-kulesza, K.; Rudkowska, M.; Kasprzak-drozd, K.; Oniszczuk, A.; Borowicz-reutt, K. Activity of Selected Group of Monoterpenes in Alzheimer’s Disease Symptoms in Experimental Model Studies—A Non-Systematic Review. Int. J. Mol. Sci. 2021, 22, 7366. [Google Scholar] [CrossRef] [PubMed]
- Khedhri, S.; Polito, F.; Caputo, L.; De Feo, V.; Khamassi, M.; Kochti, O.; Hamrouni, L.; Mabrouk, Y.; Nazzaro, F.; Fratianni, F.; et al. Chemical Composition, Antibacterial Properties, and Anti-Enzymatic Effects of Eucalyptus Essential Oils Sourced from Tunisia. Molecules. 2023, 28, 7211. [Google Scholar] [CrossRef] [PubMed]
- Polito, F.; Fratianni, F.; Nazzaro, F.; Amri, I.; Kouki, H.; Khammassi, M.; Hamrouni, L.; Malaspina, P.; Cornara, L.; Khedhri, S.; et al. Essential Oil Composition, Antioxidant Activity and Leaf Micromorphology of Five Tunisian Eucalyptus Species. Antioxidants 2023, 12, 867. [Google Scholar] [CrossRef] [PubMed]
- Maurya, A.K.; Aggarwal, G.; Vashisath, S.; Kumar, V.; Agnihotri, V.K. Chemodiversity and α Glucosidase Activity of Eucalyptus Species from North western Himalaya, India. Chem. Biodivers. 2023, 20, e202300223. [Google Scholar] [CrossRef] [PubMed]
- Ghazghazi, H.; Essghaier, B.; Riguene, H.; Rigane, G.; El Aloui, M.; Oueslati, M.A.; Ben Salem, R.; Sadfi Zouaoui, N.; Naser, Z.; Laarbi Khouja, M. Phytochemical Analysis, Antioxidant and Antimicrobial Activities of Eucalyptus Essential Oil: A Comparative Study between Eucalyptus marginata L. and Eucalyptus paucilora L. Rev. Roum. Chim. 2019, 64, 1055–1062. [Google Scholar] [CrossRef]
- Zaa, C.A.; Marcelo, Á.J.; An, Z.; Medina-Franco, J.L.; Velasco-Velázquez, M.A. Anthocyanins: Molecular Aspects on Their Neuroprotective Activity. Biomolecules 2023, 13, 1598. [Google Scholar] [CrossRef]
- Gonçalves, A.C.; Rodrigues, S.; Fonseca, R.; Silva, L.R. Potential Role of Dietary Phenolic Compounds in the Prevention and Treatment of Rheumatoid Arthritis: Current Reports. Pharmaceuticals 2024, 17, 590. [Google Scholar] [CrossRef]
- Zeng, K. Discovery of Quinic Acid Derivatives as Oral Anti-Inflammatory Agents. Ph.D. Thesis, University of Tennessee Health Science Center, Memphis, TN, USA, 2010. [Google Scholar]
- Ferreira, C.; Vieira, P.; Sá, H.; Malva, J.; Castelo-Branco, M.; Reis, F.; Viana, S. Polyphenols: Immunonutrients Tipping the Balance of Immunometabolism in Chronic Diseases. Front. Immunol. 2024, 15, 1360065. [Google Scholar] [CrossRef] [PubMed]
- Cadena-Iñiguez, J.; Santiago-Osorio, E.; Sánchez-Flores, N.; Salazar-Aguilar, S.; Soto-Hernández, R.M.; Riviello-Flores, M.d.l.L.; Macías-Zaragoza, V.M.; Aguiñiga-Sánchez, I. The Cancer-Protective Potential of Protocatechuic Acid: A Narrative Review. Molecules 2024, 29, 1439. [Google Scholar] [CrossRef]
- Singab, A.N.; Ayoub, N.; Al-Sayed, E.; Martiskainen, O.; Sinkkonen, J.; Pihlaja, K. Phenolic constituents of Eucalyptus camaldulensis Dehnh, with potential antioxidant and cytotoxic activities. Rec. Nat. Prod. 2011, 5, 271–280. [Google Scholar]
- Tir, M.; Mufti, A.; Feriani, A.; Saadaoui, E.; El Cafsi, M.H.; Tlili, N. Eucalyptus camaldulensis Seeds as a Potential Source of Beneficial Compounds: High Performance Liquidchromatography–Photodiode Array–Mass Spectrometry (HPLC-PDAMS/MS) Profiling of Secondary Metabolites and the Assessment of the Biological Effects. Anal. Lett. 2023, 56, 1607–1618. [Google Scholar] [CrossRef]
- Kumar, A.; Nirmal, P.; Kumar, M.; Jose, A.; Tomer, V.; Oz, E.; Proestos, C.; Zeng, M.; Elobeid, T.; Sneha, V.; et al. Major Phytochemicals: Recent Advances in Health Benefits and Extraction Method. Molecules 2023, 28, 887. [Google Scholar] [CrossRef] [PubMed]
- Polito, F.; Kouki, H.; Khedhri, S.; Hamrouni, L.; Mabrouk, Y.; Amri, I.; Nazzaro, F.; Fratianni, F.; De Feo, V. Chemical Composition and Phytotoxic and Antibiofilm Activity of the Essential Oils of Eucalyptus bicostata, E. gigantea, E. intertexta, E. obliqua, E. pauciflora and E. tereticornis. Plants 2022, 11, 3017. [Google Scholar] [CrossRef]
- Bali, Y.; Kriker, A.; Abimouloud, Y.; Bouzouaid, S. Improving Thermal Insulation of Fired Earth Bricks with Alfa Plant and Glass Powder Additives: Effects on Thermo-Physical and Mechanical Properties. Case Stud. Therm. Eng. 2024, 53, 103778. [Google Scholar] [CrossRef]
- Yıldırım, M.; Erşatır, M.; Poyraz, S.; Amangeldinova, M.; Kudrina, N.O.; Terletskaya, N.V. Green Extraction of Plant Materials Using Supercritical CO2: Insights into Methods, Analysis, and Bioactivity. Plants 2024, 13, 2295. [Google Scholar] [CrossRef] [PubMed]
- Abderrezag, N.; Montenegro, Z.J.S.; Louaer, O.; Meniai, A.H.; Cifuentes, A.; Ibáñez, E.; Mendiola, J.A. One-Step Sustainable Extraction of Silymarin Compounds of Wild Algerian Milk Thistle (Silybum marianum) Seeds Using Gas Expanded Liquids. J. Chromatogr. A 2022, 1675, 463147. [Google Scholar] [CrossRef] [PubMed]
- Abderrezag, N.; Bragagnolo, F.S.; Louaer, O.; Meniai, A.H.; Cifuentes, A.; Ibáñez, E.; Mendiola, J.A. Optimization of Supercritical Fluid Extraction of Bioactive Compounds from Ammodaucus Leucotrichus Fruits by Using Multivariate Response Surface Methodology. J. Supercrit. Fluids 2024, 207, 106211. [Google Scholar] [CrossRef]
- Tripodo, G.; Ibáñez, E.; Cifuentes, A.; Gilbert-López, B.; Fanali, C. Optimization of Pressurized Liquid Extraction by Response Surface Methodology of Goji Berry (Lycium barbarum L.) Phenolic Bioactive Compounds. Electrophoresis 2018, 39, 1673–1682. [Google Scholar] [CrossRef]
- Ruiz-Domínguez, M.C.; Mendiola, J.A.; Sánchez-Martínez, J.D.; Bueno, M.; Cerezal-Mezquita, P.; Ibáñez, E. Evaluation of the antioxidant and neuroprotective activity of the seaweed Durvillaea antarctica (cochayuyo) extracts using pressurized liquids. J. Appl. Phycol. 2023, 35, 835–847. [Google Scholar] [CrossRef]
- Palma, A.; Díaz, M.J.; Ruiz-Montoya, M.; Morales, E.; Giráldez, I. Ultrasound Extraction Optimization for Bioactive Molecules from Eucalyptus Globulus Leaves through Antioxidant Activity. Ultrason. Sonochem. 2021, 76, 105654. [Google Scholar] [CrossRef] [PubMed]
- Sanchez-Martinez, J.D.; Bueno, M.; Alvarez-Rivera, G.; Tudela, J.; Ibanez, E.; Cifuentes, A. In vitro neuroprotective potential of terpenes from industrial orange juice by-products. Food Funct. 2021, 12, 302–314. [Google Scholar] [CrossRef]
- Di Loreto, A.; Bosi, S.; Montero, L.; Bregola, V.; Marotti, I.; Sferrazza, R.E.; Dinelli, G.; Herrero, M.; Cifuentes, A. Determination of Phenolic Compounds in Ancient and Modern Durum Wheat Genotypes. Electrophoresis 2018, 39, 2001–2010. [Google Scholar] [CrossRef] [PubMed]
- Gallego, R.; Valdés, A.; Sánchez-Martínez, J.D.; Suárez-Montenegro, Z.J.; Ibáñez, E.; Cifuentes, A.; Herrero, M. Study of the Potential Neuroprotective Effect of Dunaliella Salina Extract in SH-SY5Y Cell Model. Anal. Bioanal. Chem. 2022, 414, 5357–5371. [Google Scholar] [CrossRef]





| Extraction | CO2 (%) | EtOH (%) | H2O (%) |
|---|---|---|---|
| 1 | 100 | 0 | 0 |
| 2 | 0 | 100 | 0 |
| 3 | 0 | 0 | 100 |
| 4 | 0 | 50 | 50 |
| 5 | 50 | 50 | 0 |
| 6 | 0 | 50 | 50 |
| 7 | 50 | 25 | 25 |
| 8 | 25 | 50 | 25 |
| 9 | 25 | 25 | 50 |
| 10 | 33.3 | 33.3 | 33.3 |
| M1 | 100% Acetone | ||
| M2 | ---- | 100 | ---- |
| M3 | ---- | ---- | 100 |
| # | Conditions | Yield (%) | TPC mg GAE/g Extract | TFC mg QE/g Extract | DPPH/IC50 * (μg/mL Extract) | ABTS (mmol Trolox/g Extract) | ORAC/IC50 * (μg/mL Extract) | AChE/IC50 * (μg/mL Extract) | LOX/IC50 * (μg/mL Extract) |
|---|---|---|---|---|---|---|---|---|---|
| 0 | 100% CO2—350 bar | 2.2 ± 0.4 | 51 ± 1 | 19.3 ± 0.3 | 56 ± 5 | 0.91 ± 0.16 | 6.48 ± 0.09 | 107 ± 4 | 140 ± 1 |
| 1 | 100% CO2—100 bar | 1.1 ± 0.1 | 42 ± 3 | 13.9 ± 0.3 | 80 ± 9 | 0.66 ± 0.03 | 7.9 ± 0.2 | 140.2 ± 0.8 | 147.1 ± 0.6 |
| 2 | 100% EtOH | 22.4 ± 0.3 | 407 ± 6 | 194 ± 1 | 10.9 ± 0.1 | 5.0 ± 0.1 | 3.4 ± 0.3 | 66 ± 4 | 82.8 ± 0.6 |
| 3 | 100% water | 18.6 ± 0.2 | 306.1 ± 0.5 | 141.3 ± 0.7 | 14.6 ± 0.6 | 3.6 ± 0.1 | 4.5 ± 0.3 | 108 ± 4 | 92.9 ± 0.5 |
| 4 | 50% EtOH; 50% water | 42 ± 1 | 633 ± 2 | 256 ± 7 | 9.5 ± 0.2 | 11 ± 1 | 3.05 ± 0.08 | 75.06 ± 0.02 | 65 ± 2 |
| 5 | 50% CO2 50% EtOH | 20.6 ± 0.6 | 502.2 ± 0.5 | 241 ± 6 | 6.8 ± 0.5 | 13.9 ± 0.3 | 3.4 ± 0.5 | 43 ± 4 | 51.3 ± 0.5 |
| 6 | 50% CO2 50% water | 20.8 ± 0.7 | 466 ± 5 | 186 ± 3 | 15 ± 2 | 8.5 ± 0.2 | 4.56 ± 0.02 | 78 ± 1 | 80 ± 5 |
| 7 | 50% CO2; 25% EtOH; 25% water | 38 ± 3 | 629 ± 1 | 267 ± 7 | 8.5 ± 0.6 | 15.9 ± 0.1 | 3.45 ± 0.04 | 62 ± 1 | 44 ± 1 |
| 8 | 25% CO2; 50% EtOH; 25% water | 54 ± 2 | 660 ± 3 | 289 ± 7 | 7.1 ± 0.3 | 17 ± 2 | 2.7 ± 0.1 | 45 ± 1 | 41 ± 3 |
| 9 | 25% CO2; 25% EtOH; 50% water | 32 ± 4 | 376 ± 5 | 122 ± 3 | 12 ± 2 | 9 ± 2 | 5.79 ± 0.06 | 97 ± 4 | 66 ± 5 |
| 10 | 33.3% CO2; 33.3% EtOH; 33.3% water | 35 ± 4 | 440 ± 2 | 204 ± 4 | 8.5 ± 0.6 | 12.5 ± 0.7 | 4.7 ± 0.3 | 57 ± 1 | 46 ± 2 |
| M1 | EM—100% Acetone | 10 ± 1 | 334 ± 22 | 128 ± 4 | 17.2 ± 0.9 | 4.4 ± 0.1 | 6.2 ± 0.5 | 75 ± 3 | 94 ± 4 |
| M2 | EM—100% EtOH | 15.4 ± 0.1 | 386 ± 8 | 143 ± 3 | 10.3 ± 0.3 | 3 ± 0.9 | 3.8 ± 0.2 | 63 ± 1 | 89 ± 4 |
| M3 | EM—100% water | 18 ± 3 | 203 ± 5 | 86 ± 2 | 20 ± 2 | 2.7 ± 0.2 | 7.5 ± 0.2 | 85 ± 2 | 112.7 ± 8.229 |
| Response | Predicted Value | Experimental Value |
|---|---|---|
| Yield (%) | 38.2371 | 40 ± 4 |
| TPC mg GAE/g | 580.116 | 607 ± 13 |
| TFC mg QuE/g | 257.143 | 274 ± 4 |
| DPPH/IC50 (μg/mL) | 3.0407 | 3.6 ± 0.3 |
| ABTS-TEAC (mmol/g) | 43.497 | 37.94 ± 1.8 |
| ORAC/IC50 (μg/mL) | 3.2486 | 3.2 ± 0.8 |
| AChE/IC50 (μg/mL) | 46.623 | 41 ± 2 |
| LOX/IC50 (μg/mL) | 43.497 | 49 ± 3 |
| Peak | Retention Time (min) | Peak Area | Family | Name | Molecular Ion (m/z) | Main Fragments (m/z) |
|---|---|---|---|---|---|---|
| 1 | 9.654 | 109097 | Ketones | 5-Hexen-2-one | 98 | 43, 53, 55, 83, 126 |
| 2 | 12.094 | 158391 | Terpenoids | p-Cymen-8-ol | 150 | 43, 51, 61, 61, 77, 91, 103, 105, 135 |
| 3 | 12.851 | 692104 | Aldehyde | 5-Hydroxymethylfurfural | 126 | 41, 53, 69, 81, 95, 97, 125, 126 |
| 4 | 13.134 | 75246 | Aldehyde | Cuminaldehyde | 148 | 51, 53, 63, 65, 77, 79, 87, 91, 103, 105, 115, 119, 137, 148 |
| 5 | 14.240 | 134261 | Alcohols | 4-Isopropylbenzyl alcohol (cuminol) | 150 | 41, 51, 65, 89, 105, 119, 121, 133, 135, 150 |
| 6 | 15.703 | 78845 | Monoterpene | Alpha-pinene | 136 | 41, 55, 57, 65, 70, 81, 84, 91, 93, 95, 109 |
| 7 | 15.818 | 442417 | Phenols | Pyrogallic acid | 126 | 52, 63, 80, 97, 108, 126 |
| 8 | 15.962 | 181490 | Terpenoids | Cis-beta-terpineol | 154 | 43, 51, 55, 65, 69, 77, 83, 93, 105, 121, 139 |
| 9 | 16.215 | 280557 | Monoterpene | Isopinocampheol | 154 | 43, 51, 55, 81, 84, 95, 107 |
| 10 | 16.740 | 427622 | Phenols | 2,3-Dihydroxy-3-phenylpropanoic acid | 182 | 51, 58, 63, 65 77, 79, 86, 89, 91, 105, 107 |
| 11 | 16.834 | 462529 | Hydrocarbons | 7-Tetradecene | 196 | 41, 53, 55, 67, 69, 71, 111, 126 |
| 12 | 16.900 | 77975 | Carboxylic acid | Spiro[2.2]pentane-1-carboxylic acid, 2-cyclopropyl-2-methyl- | 166 | 43, 53, 55, 65, 67, 77, 79, 105, 107, 121, 125 |
| 13 | 17.116 | 230775 | Monoterpene | Ascaridole | 168 | 41, 55, 57, 69, 79, 81, 95, 97, 107, 119, 125, 135, 139 |
| 14 | 17.688 | 381086 | Sugar | 1,6-Anhydro-beta-d-glucopyranose | 162 | 43, 47, 55, 60, 61, 70, 73, 98 |
| 15 | 17.993 | 97693 | Hydrocarbons | 1-Dodecyne | 166 | 43, 55, 81, 91, 95 |
| 16 | 19.684 | 111528 | Sesquiterpenes | Spathulenol | 220 | 43, 55, 67, 79, 81, 91, 93, 105, 109, 121, 147 |
| 17 | 20.427 | 90074 | Monoterpene | 2-Oxabicyclo[2.2.2]octan-6-ol, 1,3,3-trimethyl-, acetate | 212 | 43, 53, 55, 65, 71, 79, 83, 97, 111, 126, 137, 152 |
| 18 | 22.952 | 86454 | Sesquiterpenes | Longipinene epoxide | 220 | 43, 51, 55, 57, 65, 67, 82, 91, 95, 105, 107, 135 |
| 19 | 23.566 | 122678 | Hydrocarbons | Octadecyne | 250 | 43, 53, 55, 67, 95, 109, 123, 137 |
| 20 | 25.257 | 280319 | Carboxylic acid | Palmitic acid | 256 | 41, 43, 55, 57, 57, 60, 67, 69, 73, 83, 85, 87, 115, 129, 143, 157, 171, 185, 213 |
| 21 | 25.644 | 81342 | Terpenoid | 1,2,8,9-Diepoxylimonene | 168 | 43, 44, 53, 55, 71, 79, 95, 107 |
| 22 | 26.878 | 88571 | Monoterpenes | p-Menthane-1,8-diol monohydrate | 190 | 43, 51, 55, 59, 65, 72, 91 |
| 23 | 27.618 | 272678 | Ester | Methyl linoleate | 294 | 41, 45, 55, 67, 79, 81, 91, 95, 109, 123 |
| 24 | 31.801 | 1032336 | Alcohols | 2,2-Dimethyl-1-hexanol | 130 | 43, 55, 57, 67, 73, 99 |
| 25 | 35.603 | 152684 | Alcohols | trans-2-tetradecenol | 212 | 43, 55, 57, 71, 85, 96, 99, 109, 123, 137 |
| 26 | 36.223 | 122311 | Alcohols | 2-Butyl-1-octanol | 186 | 43, 57, 67, 71, 83, 85, 96, 97, 111, 113 |
| 27 | 38.327 | 233784 | Alcohols | Lignoceric alcohol | 354 | 43, 55, 57, 66, 69, 81, 83, 96, 97, 111, 112, 125 |
| 28 | 38.848 | 371904 | Tocopherols | Alpha-tocopherol | 430 | 43, 57, 58, 69, 71, 81, 107, 121, 136, 149, 165, 177, 205 |
| Peak | Retention Time (min) | Molecular Ion [M-H]− m/z | Compound |
|---|---|---|---|
| 1 | 1.8 | 169 | Gallic acid |
| 2 | 2.2 | 191 | Quinic acid |
| 3 | 7.8 | ND | ND |
| 4 | 8.6 | 153 | Protocatechuic acid |
| 5 | 10.5 | ND | ND |
| 6 | 11.7 | 301 | Ellagic acid |
| 7 | 13.8 | 289 | Catechin |
| 8 | 14.6 | 207 | Sinapaldehyde |
| 9 | 16.7 | 593 | Kaempherol-3-O-rutinoiside |
| 10 | 17.7 | 163 | p-Coumaric acid |
| 11 | 19.7 | ND | ND |
| 12 | 21.2 | 609 | Quercetin-7-O-rutinoside |
| 13 | 23.1 | 447 | Quercetin-3-O-rhamnoside |
| 14 | 24.6 | 285 | Luteolin |
| 15 | 26.6 | 193 | Ferulic acid |
| 16 | 28.5 | 271 | Naringenin |
| 17 | 30.4 | 179 | Caffeic acid |
| 18 | 31.8 | 315 | Isorhamnetin |
| 19 | 32.4 | 311 | Desmethyleucalyptin |
| 20 | 35.6 | ND | ND |
| 21 | 38.6 | ND | ND |
| 22 | 40.5 | ND | ND |
Disclaimer/Publisher’s Note: The statements, opinions and data contained in all publications are solely those of the individual author(s) and contributor(s) and not of MDPI and/or the editor(s). MDPI and/or the editor(s) disclaim responsibility for any injury to people or property resulting from any ideas, methods, instructions or products referred to in the content. |
© 2024 by the authors. Licensee MDPI, Basel, Switzerland. This article is an open access article distributed under the terms and conditions of the Creative Commons Attribution (CC BY) license (https://creativecommons.org/licenses/by/4.0/).
Share and Cite
Hasni, S.; Riguene, H.; Mendiola, J.A.; Ibáñez, E.; Montero, L.; Domínguez-Rodríguez, G.; Ghazghazi, H.; Rigane, G.; Salem, R.B. Optimization of a Pressurized Extraction Process Based on a Ternary Solvent System for the Recovery of Neuroprotective Compounds from Eucalyptus marginata Leaves. Int. J. Mol. Sci. 2025, 26, 94. https://doi.org/10.3390/ijms26010094
Hasni S, Riguene H, Mendiola JA, Ibáñez E, Montero L, Domínguez-Rodríguez G, Ghazghazi H, Rigane G, Salem RB. Optimization of a Pressurized Extraction Process Based on a Ternary Solvent System for the Recovery of Neuroprotective Compounds from Eucalyptus marginata Leaves. International Journal of Molecular Sciences. 2025; 26(1):94. https://doi.org/10.3390/ijms26010094
Chicago/Turabian StyleHasni, Soumaya, Hajer Riguene, Jose A. Mendiola, Elena Ibáñez, Lidia Montero, Gloria Domínguez-Rodríguez, Hanene Ghazghazi, Ghayth Rigane, and Ridha Ben Salem. 2025. "Optimization of a Pressurized Extraction Process Based on a Ternary Solvent System for the Recovery of Neuroprotective Compounds from Eucalyptus marginata Leaves" International Journal of Molecular Sciences 26, no. 1: 94. https://doi.org/10.3390/ijms26010094
APA StyleHasni, S., Riguene, H., Mendiola, J. A., Ibáñez, E., Montero, L., Domínguez-Rodríguez, G., Ghazghazi, H., Rigane, G., & Salem, R. B. (2025). Optimization of a Pressurized Extraction Process Based on a Ternary Solvent System for the Recovery of Neuroprotective Compounds from Eucalyptus marginata Leaves. International Journal of Molecular Sciences, 26(1), 94. https://doi.org/10.3390/ijms26010094

