TNFRSF1B Gene Variants in Clinicopathological Aspects and Prognosis of Patients with Cutaneous Melanoma
Abstract
1. Introduction
2. Results
2.1. Study Population
2.2. TNFRSF1B c.587T>G SNV at Age of Diagnosis
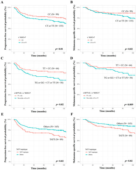
2.3. TNFRSF1B c.587T>G and c.*922C>T SNVs in Survival of Patients with CM
2.4. TNFRSF1B c.*922C>T SNV in Gene Expression
2.5. TNFRSF1B c.*922C>T SNV with miR-1271 in Luciferase Transcription
3. Discussion
4. Materials and Methods
4.1. Study Population
4.2. Clinical Aspects, Tumor Aspects, and Treatment
4.3. Selection of SNVs and Associated miRNAs
4.4. Complementary Functional Study of Modified SK-MEL-28 and A-375 Cell Lines
4.5. Determination of SNV Genotypes
4.6. TNFRSF1B Expression by Quantitative PCR (qPCR)
4.7. Plasmid Construction
4.8. Dual-Luciferase Reporter Assay
4.9. Statistical Analysis
5. Conclusions
Supplementary Materials
Author Contributions
Funding
Institutional Review Board Statement
Informed Consent Statement
Data Availability Statement
Conflicts of Interest
References
- Globocan Cancer Incidence and Mortality Worldwide Fast Stats; IARC Press: Lyon, France, 2020; Available online: http://gco.iarc.fr/ (accessed on 10 April 2021).
- Conforti, C.; Zalaudek, I. Epidemiology and risk factors of melanoma: A review. Dermatol. Pract. Concept. 2021, 11 (Suppl. 1), e2021161S. [Google Scholar] [CrossRef]
- Leonardi, G.C.; Candido, S.; Falzone, L.; Spandidos, D.A.; Libra, M. Cutaneous melanoma and the immunotherapy revolution (review). Int. J. Oncol. 2020, 57, 609–618. [Google Scholar] [CrossRef]
- Carron, J.; Torricelli, C.; Silva, J.K.; Coser, L.O.; Lima, C.S.P.; Lourenço, G.J. Intronic variants of MITF (rs7623610) and CREB1 (rs10932201) genes may enhance splicing efficiency in human melanoma cell line. Mutat. Res. 2021, 823, 111763. [Google Scholar] [CrossRef]
- Jacobs, J.F.; Nierkens, S.; Figdor, C.G.; de Vries, I.J.; Adema, G.J. Regulatory T cells in melanoma: The final hurdle towards effective immunotherapy? Lancet Oncol. 2012, 13, e32–e42. [Google Scholar] [CrossRef]
- Tucci, M.; Passarelli, A.; Mannavola, F.; Felici, C.; Stucci, L.S.; Cives, M.; Silvestris, F. Immune system evasion as hallmark of melanoma progression: The role of dendritic cells. Front. Oncol. 2019, 9, 1148. [Google Scholar] [CrossRef]
- Gomez, G.V.B.; Rinck-Junior, J.A.; Oliveira, C.; Silva, D.H.L.; Mamoni, R.; Lourenço, G.J.; Moraes, A.M.; Lima, C.S.P. Genetic polymorphisms on PDCD1 gene, regulator of T lymphocyte activity, in cutaneous melanoma risk and prognosis. Pigment Cell Melanoma Res. 2018, 31, 308–317. [Google Scholar] [CrossRef]
- Mukherji, B. Immunology of melanoma. Clin. Dermatol. 2013, 31, 156–165. [Google Scholar] [CrossRef]
- Ansell, S.M.; Vonderheide, R.H. Cellular composition of the tumor microenvironment. In American Society of Clinical Oncology Educational Book; Annual Meeting; American Society of Clinical Oncology: Alexandria, VA, USA, 2013. [Google Scholar] [CrossRef]
- Li, C.; Jiang, P.; Wei, S.; Xu, X.; Wang, J. Regulatory T cells in tumor microenvironment: New mechanisms, potential therapeutic strategies, and future prospects. Mol. Cancer 2020, 19, 116. [Google Scholar] [CrossRef]
- Balkwill, F. Tumour necrosis factor and cancer. Nat. Rev. Cancer. 2009, 9, 361–371. [Google Scholar] [CrossRef]
- Ohue, Y.; Nishikawa, H. Regulatory T (Treg) cells in cancer: Can Treg cells be a new therapeutic target? Cancer Sci. 2019, 110, 2080–2089. [Google Scholar] [CrossRef]
- Chen, X.; Oppennheim, J.J. The phenotypic and functional consequences of tumour necrosis factor receptor type 2 expression on CD4(+) FoxP3(+) regulatory T cells. Immunology 2011, 133, 426–433. [Google Scholar] [CrossRef]
- Fischer, F.; Kontermann, R.E.; Maier, O. Targeting sTNF/TNFR1 signaling as a new therapeutic strategy. Antibodies 2015, 4, 48–70. [Google Scholar] [CrossRef]
- Salomon, B.L.; Leclerc, M.; Tosello, J.; Ronin, E.; Piaggio, E.; Cohen, J.L. Tumor Necrosis Factor α and Regulatory T Cells in Oncoimmunology. Front. Immunol. 2018, 9, 444. [Google Scholar] [CrossRef]
- Chopra, M.; Riedel, S.S.; Biehl, M.; Krieger, S.; Von Krosigk, V.; Bäuerlein, C.A.; Brede, C.; Jordan Garrote, A.L.; Kraus, S.; Schäfer, V.; et al. Tumor necrosis factor receptor 2-dependent homeostasis of regulatory T cells as a player in TNF-induced experimental metastasis. Carcinogenesis 2013, 34, 1296–1303. [Google Scholar] [CrossRef] [PubMed]
- Tarhini, A.A.; Lin, Y.; Yeku, O.; La Framboise, W.A.; Ashraf, M.; Sander, C.; Lee, S.; Kirkwood, J.M. A four-marker signature of TNF-RII, TGF-α, TIMP-1 and CRP is prognostic of worse survival in high-risk surgically resected melanoma. J. Transl. Med. 2014, 12, 19. [Google Scholar] [CrossRef]
- Williams, G.S.; Mistry, B.; Guillard, S.; Ulrichsen, J.C.; Sandercock, A.M.; Wang, J.; González-Muñoz, A.; Parmentier, J.; Black, C.; Soden, J.; et al. Phenotypic screening reveals TNFR2 as a promising target for cancer immunotherapy. Oncotarget 2016, 7, 68278–68291. [Google Scholar] [CrossRef] [PubMed]
- Chen, X.; Oppenheim, J.J. Targeting TNFR2, an immune checkpoint stimulator and oncoprotein, is a promising treatment for cancer. Sci. Signal. 2017, 10, eaal2328. [Google Scholar] [CrossRef] [PubMed]
- Vanamee, E.S.; Faustman, D.L. TNFR2: A novel target for cancer immunotherapy. Trends Mol. Med. 2017, 23, 1037–1046. [Google Scholar] [CrossRef] [PubMed]
- Shaikh, F.; He, J.; Bhadra, P.; Chen, X.; Siu, S.W.I. TNF Receptor Type II as an emerging drug target for the treatment of cancer, autoimmune diseases, and graft-versus-host disease: Current perspectives and in silico search for small molecule binders. Front. Immunol. 2018, 9, 1382. [Google Scholar] [CrossRef] [PubMed]
- Zou, H.; Li, R.; Hu, H.; Hu, Y.; Chen, X. Modulation of regulatory T cell activity by TNF receptor type II-Targeting pharmacological agents. Front. Immunol. 2018, 9, 59. [Google Scholar] [CrossRef] [PubMed]
- Kaufman, B.A.; White, P.S.; Steinbrueck, T.; Donis-Keller, H.; Brodeur, G.M. Linkage mapping of the tumor necrosis factor receptor 2 (TNFR2) gene to 1p36.2 using the single-strand conformation polymorphism technique. Hum. Genet. 1994, 94, 418–422. [Google Scholar] [CrossRef]
- Pantelidis, P.; Lympany, P.A.; Foley, P.J.; Fanning, G.C.; Welsh, K.I.; Du Bois, R.M. Polymorphic analysis of the high-affinity tumor necrosis factor receptor 2. Tissue Antigens 1999, 54, 585–591. [Google Scholar] [CrossRef]
- Till, A.; Rosenstiel, P.; Krippner-Heidenreich, A.; Mascheretti-Croucher, S.; Croucher, P.J.; Schäfer, H.; Scheurich, P.; Seegert, D.; Schreiber, S. The Met-196→Arg variation of human tumor necrosis factor receptor 2 (TNFR2) affects TNF-alpha-induced apoptosis by impaired NF-kappaB signaling and target gene expression. J. Biol. Chem. 2005, 280, 5994–6004. [Google Scholar] [CrossRef] [PubMed]
- Peral, B.; Millán, J.L.S.; Castello, R.; Moghetti, P.; Escobar-Morreale, H.F. Comment: The methionine 196 arginine polymorphism in exon 6 of the TNF receptor 2 gene (TNFRSF1B) is associated with the polycystic ovary syndrome and hyperandrogenism. J. Clin. Endocrinol. Metab. 2002, 87, 3977–3983. [Google Scholar] [CrossRef]
- Ryckman, K.K.; Williams, S.M.; Krohn, M.A.; Simhan, H.N. Interaction between interleukin-1 receptor 2 and Toll-like receptor 4, and cervical cytokines. J. Reprod. Immunol. 2011, 90, 220–226. [Google Scholar] [CrossRef]
- Bonazzi, V.F.; Stark, M.S.; Hayward, N.K. MicroRNA regulation of melanoma progression. Melanoma Res. 2012, 22, 101–113. [Google Scholar] [CrossRef]
- Guan, X.; Liao, Z.; Ma, H.; Qian, J.; Liu, Z.; Yuan, X.; Gomez, D.; Komaki, R.; Wang, L.E.; Wei, Q. TNFRSF1B +676 T>G polymorphism predicts survival of non-small cell lung cancer patients treated with chemoradiotherapy. BMC Cancer 2011, 11, 447. [Google Scholar] [CrossRef]
- Nielsen, K.R.; Steffensen, R.; Bendtsen, M.D.; Rodrigo-Domingo, M.; Baech, J.; Haunstrup, T.M.; Bergkvist, K.S.; Schmitz, A.; Boedker, J.S.; Johansen, P.; et al. Inherited inflammatory response genes are associated with B-cell non-Hodgkin’s lymphoma risk and survival. PLoS ONE 2015, 10, e0139329. [Google Scholar] [CrossRef] [PubMed]
- Kuwahara, A.; Yamamori, M.; Fujita, M.; Okuno, T.; Tamura, T.; Kadoyama, K.; Okamura, N.; Nakamura, T.; Sakaeda, T. TNFRSF1B A1466G genotype is predictive of clinical efficacy after treatment with a definitive 5-fluorouracil/cisplatin-based chemoradiotherapy in Japanese patients with esophageal squamous cell carcinoma. J. Exp. Clin. Cancer Res. 2010, 29, 100. [Google Scholar] [CrossRef] [PubMed]
- Bartel, D.P. MicroRNAs: Genomics, biogenesis, mechanism, and function. Cell 2004, 116, 281–297. [Google Scholar] [CrossRef]
- Xuan, Y.; Yang, H.; Zhao, L.; Lau, W.B.; Lau, B.; Ren, N.; Hu, Y.; Yi, T.; Zhao, X.; Zhou, S.; et al. MicroRNAs in colorectal cancer: Small molecules with big functions. Cancer Lett. 2015, 360, 89–105. [Google Scholar] [CrossRef]
- Ghafouri-Fard, S.; Gholipour, M.; Taheri, M. MicroRNA Signature in Melanoma: Biomarkers and Therapeutic Targets. Front. Oncol. 2021, 11, 608987. [Google Scholar] [CrossRef]
- Marzagalli, M.; Ebelt, N.D.; Manuel, E.R. Unraveling the crosstalk between melanoma and immune cells in the tumor microenvironment. Semin. Cancer Biol. 2019, 59, 236–250. [Google Scholar] [CrossRef]
- Rossi, A.F.T.; Contiero, J.C.; Manoel-Caetano, F.D.S.; Severino, F.E.; Silva, A.E. Up-regulation of tumor necrosis factor-α pathway survival genes and of the receptor TNFR2 in gastric cancer. World J. Gastrointest. Oncol. 2019, 11, 281–294. [Google Scholar] [CrossRef]
- Wang, L.L.; Dong, J.J.; An, B.Z.; Liang, J.; Cai, K.R.; Jin, Z.S.; Jin, H.S.; Hu, J.P. Has-miR-17 increases the malignancy of gastric lymphoma by HSP60/TNFR2 pathway. J. Biol. Regul. Homeost. 2020, 34, 1317–1324. [Google Scholar] [CrossRef]
- Zhu, Y.; Gu, L.; Li, Y.; Lin, X.; Shen, H.; Cui, K.; Chen, L.; Zhou, F.; Zhao, Q.; Zhang, J.; et al. miR-148a inhibits colitis and colitis-associated tumorigenesis in mice. Cell Death Differ. 2017, 24, 2199–2209. [Google Scholar] [CrossRef]
- Mueller, D.W.; Bosserhoff, A.K. Role of miRNAs in the progression of malignant melanoma. Br. J. Cancer 2009, 101, 551–556. [Google Scholar] [CrossRef][Green Version]
- Mueller, D.W.; Bosserhoff, A.K. The evolving concept of ‘melano-miRs’-microRNAs in melanomagenesis. Pigment Cell Melanoma Res. 2010, 23, 620–626. [Google Scholar] [CrossRef] [PubMed]
- Moreno, M.; Schmitt, R.L.; Lang, M.G.; Gheno, V. Epidemiological profile of patients with cutaneous melanoma in a region of southern Brazil. J. Skin Cancer. 2012, 2012, 917346. [Google Scholar] [CrossRef] [PubMed]
- Vazquez, V.L.; Silva, T.B.; Vieira, M.A.; Oliveira, A.T.; Lisboa, M.V.; Andrade, D.A.P.; Fregnani, J.T.G.; Carneseca, E.C. Melanoma characteristics in Brazil: Demographics, treatment, and survival analysis. BMC Res. Notes 2015, 16, 8–14. [Google Scholar] [CrossRef] [PubMed]
- Melo, A.C.; Wainstein, A.J.A.; Buzaid, A.C.; Thuler, L.C.S. Melanoma signature in Brazil: Epidemiology, incidence, mortality, and trend lessons from a continental mixed population country in the past 15 years. Melanoma Res. 2018, 28, 629–636. [Google Scholar] [CrossRef]
- Costa, L.M.M.; Crovador, C.S.; Carvalho, C.E.B.; Vazquez, V.L. Characteristics of Brazilian melanomas: Real world results before and after the introduction of new therapies. BMC Res. Notes 2019, 12, 296. [Google Scholar] [CrossRef]
- Nagore, E.; Hueso, L.; Botella-Estrada, R.; Alfaro-Rubio, A.; Serna, I.; Guallar, J.; Gonzáles, I.; Ribes, I.; Guillen, C. Smoking, sun exposure, number of nevi and previous neoplasias are risk factors for melanoma in older patients (60 years and over). J. Eur. Acad. Dermatol. Venereol. 2010, 24, 50–57. [Google Scholar] [CrossRef]
- Gupta, A.K.; Bharadwaj, M.; Mehrotra, R. Skin cancer concerns in people of color: Risk factors and prevention. Asian Pac. J. Cancer Prev. 2016, 17, 5257–5264. [Google Scholar] [CrossRef] [PubMed]
- Ghiasvand, R.; Robsahm, T.E.; Green, A.C.; Rueegg, C.S.; Weiderpass, E.; Lund, E.; Veierod, M.B. Association of phenotypic characteristics and UV radiation exposure with risk of melanoma on different body sites. JAMA Dermatol. 2019, 155, 39–49. [Google Scholar] [CrossRef] [PubMed]
- Carr, S.; Smith, C.; Wernberg, J. Epidemiology and risk factors of melanoma. Surg. Clin. N. Am. 2020, 1, 12. [Google Scholar] [CrossRef] [PubMed]
- Bolick, N.L.; Geller, A.C. Epidemiology of melanoma. Hematol. Oncol. Clin. N. Am. 2021, 35, 57–72. [Google Scholar] [CrossRef]
- Viana, D.V.; Góes, J.R.N.; Coy, C.S.R.; Ayrizono, M.L.S.; Lima, C.S.P.; Lopes-Cendes, I. Family history of cancer in Brazil: Is it being used? Fam. Cancer 2008, 7, 229–232. [Google Scholar] [CrossRef]
- Toussi, A.; Mans, N.; Welborn, J.; Kiuru, M. Germline mutations predisposing to melanoma. J. Cutan. Pathol. 2020, 47, 606–616. [Google Scholar] [CrossRef]
- Guimarães, J.L.; Ayrizono, M.L.; Coy, C.S.; Lima, C.S. Gene polymorphisms involved in folate and methionine metabolism and increased risk of sporadic colorectal adenocarcinoma. Tumour Biol. 2011, 32, 853–861. [Google Scholar] [CrossRef]
- Costa, E.F.D.; Lopes-Aguiar, L.; Nogueira, G.S.; Lima, T.R.P.; Rinck-Junior, J.A.; Lourenço, G.J.; Lima, C.S.P. CASP9 c.-1339A>G and CASP3 c.-1191A>G polymorphisms alter susceptibility and clinical aspects of head and neck squamous cell carcinoma. Head Neck 2019, 41, 2665–2670. [Google Scholar] [CrossRef] [PubMed]
- Elias, E.G.; Hasskamp, J.H.; Sharma, B.K. Cytokines and growth factors expressed by human cutaneous melanoma. Cancers 2010, 2, 794–808. [Google Scholar] [CrossRef] [PubMed]
- Zhou, Z.; Niu, X.; Li, C.; Sheng, S.; Lu, S. Inhibition of the growth of non-small cell lung cancer by miRNA-1271. Am. J. Transl. Res. 2015, 7, 1917–1924. [Google Scholar]
- Sun, X.; Zhai, H.; Chen, X.; Kong, R.; Zhang, X. MicroRNA-1271 suppresses the proliferation and invasion of colorectal cancer cells by regulating metadherin/Wnt signaling. J. Biochem. Mol. Toxicol. 2018, 32, e22028. [Google Scholar] [CrossRef] [PubMed]
- Wang, M.; Gao, W.; Lu, D.; Teng, L. MiR-1271 inhibits cell growth in prostate cancer by targeting ERG. Pathol. Oncol. Res. 2018, 24, 385–391. [Google Scholar] [CrossRef]
- Yang, Y.; Islam, M.S.; Hu, Y.; Chen, X. TNFR2: Role in Cancer Immunology and Immunotherapy. Immunotargets Ther. 2021, 10, 103–122. [Google Scholar] [CrossRef]
- Zhao, T.; Li, H.; Liu, Z. Tumor necrosis factor receptor 2 promotes growth of colorectal cancer via the PI3K/AKT signaling pathway. Oncol. Lett. 2017, 13, 342–346. [Google Scholar] [CrossRef]
- Yang, F.; Zhao, N.; Wu, N. TNFR2 promotes adriamycin resistance in breast cancer cells by repairing DNA damage. Mol. Med. Rep. 2017, 16, 2962–2968. [Google Scholar] [CrossRef][Green Version]
- English, D.R.; MacLennan, R.; Rivers, J.; Kelly, J.; Armstrong, B.K. Epidemiological Studies of Melanocytic Naevi: Protocol for Identifying and Recording Naevi; IARC Internal Report no 90/002; International Agency for Research on Cancer: Lyon, France, 1990. [Google Scholar]
- Fitzpatrick, T.B. The validity and practicality of sun-reactive skin types I through VI. Arch. Dermatol. 1988, 124, 869–871. [Google Scholar] [CrossRef]
- Rigel, D.S.; Friedman, R.J.; Levenstein, M.J.; Greenwald, D.I. Relationship of fluorescent lights to malignant melanoma: Another view. J. Dermatol. Surg. Oncol. 1983, 9, 836–938. [Google Scholar] [CrossRef]
- Fortes, C.; Mastroeni, S.; Boffetta, P.; Innocenzi, L.; Antonelli, G.; Giovinazzo, R.; Anzidei, P.; Melchi, F.; D’Atri, S.; Pasquini, P.; et al. Polymorphisms of GSTM1 and GSTT1, sun exposure and the risk of melanoma: A case-control study. Acta Derm. Venereol. 2011, 91, 284–289. [Google Scholar] [CrossRef]
- Stierner, U.; Augustsson, A.; Rosdahl, I.; Suurküla, M. Regional distribution of common and dysplastic naevi in relation to melanoma site and sun exposure. A case-control study. Melanoma Res. 1992, 1, 367–375. [Google Scholar] [CrossRef] [PubMed]
- American Joint Committee on Cancer (AJCC). AJCC Cancer Stating Manual, 7th ed.; Springer: New York, NY, USA, 2010. [Google Scholar]
- Lourenço, G.J.; Oliveira, C.; Carvalho, B.S.; Torricelli, C.; Silva, J.K.; Gomez, G.V.B.; Rinck-Junior, J.A.; Oliveira, W.L.; Vazquez, V.L.; Serrano, S.V.; et al. Inherited variations in human pigmentation-related genes modulate cutaneous melanoma risk and clinicopathological features in Brazilian population. Sci. Rep. 2020, 10, 12129. [Google Scholar] [CrossRef] [PubMed]
- Adzhubei, A.I.; Schmidt, S.; Peshkin, L.; Ramensky, V.E.; Gerasimova, A.; Bork, P.; Kondrashov, A.S.; Sunyaev, S.R. A method and server for predicting damaging missense mutations. Nat. Methods 2010, 7, 248–249. [Google Scholar] [CrossRef] [PubMed]
- Kumar, P.; Henikoff, S.; Pauline, C.N.G. Predicting the effects of coding non-synonymous variants on protein function using the SIFT algorithm. Nat. Protoc. 2009, 4, 1073–1081. [Google Scholar] [CrossRef] [PubMed]
- Yue, P.; Melamud, E.; Moult, J. SNPs3D: Candidate gene and SNP selection for association studies. BMC Bioinform. 2006, 7, 166. [Google Scholar] [CrossRef] [PubMed]
- Xu, Z.; Taylor, J.A. SNPinfo: Integrating GWAS and candidate gene information into functional SNP selection for genetic association studies. Nucleic Acids Res. 2009, 37, W600–W605. [Google Scholar] [CrossRef] [PubMed]
- Barenboim, M.; Zoltick, B.J.; Guo, Y.; Weinberger, D.R. MicroSNiPer: A web tool for prediction of SNP effects on putative microRNA targets. Hum. Mutat. 2010, 31, 1223–1232. [Google Scholar] [CrossRef] [PubMed]
- Thomas, L.F.; Saito, T.; Sætrom, P. Inferring causative variants in microRNA target sites. Nucleic Acids Res. 2011, 39, e109. [Google Scholar] [CrossRef]
- Bartel, D.P. MicroRNAs: Target recognition and regulatory functions. Cell 2009, 136, 215–233. [Google Scholar] [CrossRef]
- Bladbjerg, E.M.; Gram, J.; Jespersen, J.; De Maat, M.P. Internal quality control of PCR-based genotyping methods: Practical experiences. Vascul. Pharmacol. 2002, 39, 127–129. [Google Scholar] [CrossRef]
- Livak, K.J.; Schmittgen, T.D. Analysis of relative gene expression data using real-time quantitative PCR and the 2(-Delta Delta C(T)) Method. Methods 2001, 25, 402–408. [Google Scholar] [CrossRef]
- Sennikov, S.V.; Vasilyev, F.F.; Lopatnikova, J.A.; Shkaruba, N.S.; Silkov, A.N. Polymorphisms in the tumor necrosis factor receptor genes affect the expression levels of membrane-bound type I and type II receptors. Mediators Inflamm. 2014, 745909. [Google Scholar] [CrossRef]
- Dong, W.; Jia, S.; Ye, X.; Ni, J. Association analysis of TNFRSF1B polymorphism with susceptibility for migraine in the Chinese Han population. J. Clin. Neurosci. 2012, 19, 750–752. [Google Scholar] [CrossRef]
- Potter, C.; Gibbons, L.J.; Bowes, J.D.; Cordell, H.J.; Hyrich, K.; Isaacs, J.D.; Morgan, A.W.; Wilson, A.G.; Barton, A. Polymorphisms spanning the TNFR2 and TACE genes do not contribute towards variable anti-TNF treatment response. Pharmacogenet. Genom. 2010, 20, 338–341. [Google Scholar] [CrossRef]
- Tabassum, R.; Chavali, S.; Mahajan, A.; Ghosh, A.; Madhu, S.V.; Tandon, N.; Bharadwaj, D. Association analysis of TNFRSF1B polymorphisms with type 2 diabetes and its related traits in North India. Genome Med. 2008, 2, 93–100. [Google Scholar] [CrossRef] [PubMed]
- Mokrousov, I.; Wu, X.R.; Vyazovaya, A.; Feng, W.X.; Sun, L.; Xiao, J.; Miao, Q.; Jiao, W.W.; Shen, A. Polymorphism of 3′UTR region of TNFR2 coding gene and its role in clinical tuberculosis in Han Chinese pediatric population. Infect. Genet. Evol. 2011, 11, 1312–1318. [Google Scholar] [CrossRef] [PubMed]
- Welsh, M.M.; Karagas, M.R.; Kuriger, J.K.; Houseman, A.; Spencer, S.K.; Perry, A.E.; Nelson, H.H. Genetic determinants of UV-susceptibility in non-melanoma skin cancer. PLoS ONE 2011, 6, e20019. [Google Scholar] [CrossRef] [PubMed]
- Criado, L.; Flórez, O.; Martín, J.; González, C.I. Genetic polymorphisms in TNFA/TNFR2 genes and Chagas disease in a Colombian endemic population. Cytokine 2012, 7, 398–401. [Google Scholar] [CrossRef] [PubMed]
- Heemann, C.; Kreuz, M.; Stoller, I.; Schoof, N.; Bonin, F.V.; Ziepert, M.; Löffler, M.; Jung, W.; Pfreundschuh, M.; Trümper, L.; et al. Circulating levels of TNF receptor II are prognostic for patients with peripheral T-cell non-Hodgkin lymphoma. Clin. Cancer Res. 2012, 18, 3637–3647. [Google Scholar] [CrossRef] [PubMed]
- McTiernan, C.F.; Ramani, R.; Burkhead, B.; McNamara, D. The methionine 196 arginine polymorphism of the TNF receptor 2 gene (TNFRSF1B) is not associated with worse outcomes in heart failure. Cytokine 2012, 60, 838–842. [Google Scholar] [CrossRef]
- Reyes-Gibby, C.C.; Swartz, M.D.; Yu, X.; Wu, X.; Yennurajalingam, S.; Anderson, K.O.; Spitz, M.R.; Shete, S. Symptom clusters of pain, depressed mood, and fatigue in lung cancer: Assessing the role of cytokine genes. Support Care Cancer 2013, 21, 3117–3125. [Google Scholar] [CrossRef]
- Said, L.; Faleh, R.; Smida, S.; Laajili, H.; Sakouhi, M.; Jrad, B.B.H. Maternal tumor necrosis factor receptor 2 gene variants associated with pre-eclampsia in Tunisian women. J. Obstet. Gynaecol. 2013, 39, 1301–1307. [Google Scholar] [CrossRef]
- Medrano, L.M.; Taxonera, C.; Márquez, A.; Acosta, M.B.; Gómez-García, M.; González-Artacho, C.; Pérez-Calle, J.L.; Bermejo, F.; Lopez-Sanromán, A.; Arranz, M.D.M.; et al. Role of TNFRSF1B polymorphisms in the response of Crohn’s disease patients to infliximab. Hum. Immunol. 2014, 75, 71–75. [Google Scholar] [CrossRef]
- Song, G.G.; Bae, S.C.; Lee, Y.H. Associations between functional TNFR2 196 M/R polymorphisms and susceptibility to rheumatoid arthritis: A meta-analysis. Rheumatol. Int. 2014, 34, 1529–1537. [Google Scholar] [CrossRef]
- Inoue, N.; Watanabe, M.; Ishido, N.; Kodu, A.; Maruoka, H.; Katsumata, Y.; Hidaka, Y.; Iwatani, Y. Involvement of genes encoding apoptosis regulatory factors (FAS, FASL, TRAIL, BCL2, TNFR1 and TNFR2) in the pathogenesis of autoimmune thyroid diseases. Hum. Immunol. 2016, 77, 944–951. [Google Scholar] [CrossRef]
- Singhal, P.; Sharma, U.; Hussain, S.; Nag, A.; Bharadwaj, M. Identification of genetic variants in TNF receptor 2 which are associated with the development of cervical carcinoma. Biomarkers 2016, 21, 665–672. [Google Scholar] [CrossRef] [PubMed]
- Ma, L.; Chen, S.; Mao, X.; Lu, Y.; Zhang, X.; Lao, X.; Qin, X.; Li, S. The association between TNFR gene polymorphisms and the risk of hepatitis B virus-related liver diseases in Chinese population. Sci. Rep. 2018, 8, 9240. [Google Scholar] [CrossRef] [PubMed]
- Suchanek-Raif, R.; Raif, P.; Kowalczyk, M.; Paul-Samojedny, M.; Kucia, K.; Merk, W.; Kowalski, J. Polymorphic variants of TNFR2 gene in schizophrenia and its interaction with -308G/A TNF-α Gene polymorphism. Mediat. Inflamm. 2018, 8741249. [Google Scholar] [CrossRef] [PubMed]
- Tabassum, R.; Mahajan, A.; Chauhan, G.; Dwivedi, O.P.; Dubey, H.; Sharma, V.; Kundu, B.; Ghosh, S.; Tandon, N.; Bharadwaj, D. No association of TNFRSF1B variants with type 2 diabetes in Indians of Indo-European origin. BMC Med. Genet. 2011, 12, 110. [Google Scholar] [CrossRef] [PubMed]
- Cohen-Woods, S.; Fisher, H.L.; Ahmetspahic, D.; Douroudis, K.; Stacey, D.; Hosang, G.M.; Korszun, A.; Owen, M.; Craddock, N.; Arolt, V.; et al. Interaction between childhood maltreatment on immunogenetic risk in depression: Discovery and replication in clinical case-control samples. Brain Behav. Immun. 2018, 67, 203–210. [Google Scholar] [CrossRef]
- Steenholdt, C.; Enevold, C.; Ainsworth, M.A.; Brynskov, J.; Thomsen, O.O.; Bendtzen, K. Genetic polymorphisms of tumour necrosis factor receptor superfamily 1b and fas ligand are associated with clinical efficacy and/or acute severe infusion reactions to infliximab in Crohn’s disease. Aliment Pharmacol. Ther. 2012, 36, 650–659. [Google Scholar] [CrossRef]
- Huang, Q.Y.; Li, G.H.Y.; Kung, A.W.C. Multiple osteoporosis susceptibility genes on chromosome 1p36 in Chinese. Bone 2009, 44, 984–988. [Google Scholar] [CrossRef] [PubMed]
- Zhao, L.J.; Xiong, D.H.; Pan, F.; Liu, X.G.; Recker, R.R.; Deng, H.W. Polymorphisms of the tumor necrosis factor-alpha receptor 2 gene are associated with obesity phenotypes among 405 Caucasian nuclear families. Hum. Genet. 2008, 124, 171–177. [Google Scholar] [CrossRef]
- Mullin, B.H.; Prince, R.L.; Dick, I.M.; Islam, F.M.A.; Hart, D.J.; Spector, T.D.; Devine, A.; Dudbridge, F.; Wilson, S.G. Bone structural effects of variation in the TNFRSF1B gene encoding the tumor necrosis factor receptor 2. Osteoporos. Int. 2008, 19, 961–968. [Google Scholar] [CrossRef]
- Möller, M.; Flachsbart, F.; Till, A.; Thye, T.; Horstmann, R.D.; Meyer, C.G.; Osei, I.; Helden, P.D.V.; Hoal, E.G.; Schreiber, S.; et al. A functional haplotype in the 3′untranslated region of TNFRSF1B is associated with tuberculosis in two African populations. Am. J. Respir. Crit. Care Med. 2010, 181, 388–393. [Google Scholar] [CrossRef]
- Yu, Y.; Zheng, S.; Zhang, S.; Jin, W.; Liu, H.; Jin, M.; Chen, Z.; Ding, Z.; Wang, L.; Chen, K. Polymorphisms of inflammation-related genes and colorectal cancer risk: A population-based case-control study in China. Int. J. Immunogenet. 2014, 41, 289–297. [Google Scholar] [CrossRef]
- Jones, N.M.; Holzman, C.; Tian, T.; Witkin, S.S.; Genc, M.; Friderici, K.; Fisher, R.; Sezen, D.; Babula, O.; Jernigan, K.A.; et al. Innate immune system gene polymorphisms in maternal and child genotype and risk of preterm delivery. J. Matern.-Fetal Neonatal Med. 2012, 25, 240–247. [Google Scholar] [CrossRef][Green Version]
- Stachura, A.; Brym, P.; Bojarojć-Nosowicz, B.; Kaczmarczyk, E. Polymorphism and expression of the tumor necrosis factor receptor II gene in cows infected with the bovine leukemia virus. Pol. J. Vet. Sci. 2016, 19, 125–131. [Google Scholar] [CrossRef]
- Stachura, A.; Kaczmarczyk, E.; Bojarojć-Nosowicz, B. Sequence analysis of the regulatory region of the TNF-RII gene in Polish Holstein-Friesian cows. Genet. Mol. Res. 2013, 12, 1028–1034. [Google Scholar] [CrossRef]
- Shi, J.; Chen, P.; Sun, J.; Song, Y.; Ma, B.; Gao, P.; Chen, X.; Wang, Z. MicroRNA-1258: An invasion and metastasis regulator that targets heparanase in gastric cancer. Oncol. Lett. 2017, 13, 3739–3745. [Google Scholar] [CrossRef][Green Version]
- Tsai, T.F.; Lin, J.F.; Chou, K.Y.; Lin, Y.C.; Chen, H.E.; Hwang, T.I. miR-99a-5p acts as tumor suppressor via targeting to mTOR and enhances RAD001-induced apoptosis in human urinary bladder urothelial carcinoma cells. Onco Targets Ther. 2018, 11, 239–252. [Google Scholar] [CrossRef]
- Qin, X.; Yu, S.; Zhou, L.; Shi, M.; Hu, Y.; Xu, X.; Shen, B.; Liu, S.; Yan, D.; Feng, J. Cisplatin-resistant lung cancer cell-derived exosomes increase cisplatin resistance of recipient cells in exosomal miR-100-5p-dependent manner. Int. J. Nanomed. 2017, 12, 3721–3733. [Google Scholar] [CrossRef]
- Lei, S.T.; Shen, F.; Chen, J.W.; Feng, J.H.; Cai, W.S.; Shen, L.; Hu, Z.W.; Xu, B. MiR-639 promoted cell proliferation and cell cycle in human thyroid cancer by suppressing CDKN1A expression. Biomed. Pharmacother. 2016, 84, 1834–1840. [Google Scholar] [CrossRef]
- Li, L.; Qiu, X.G.; Lv, P.W.; Wang, F. miR-639 promotes the proliferation and invasion of breast cancer cell in vitro. Cancer Cell Int. 2014, 14, 39. [Google Scholar] [CrossRef][Green Version]
- Wu, Q.; Liu, H.O.; Liu, Y.D.; Liu, W.S.; Pan, D.; Zhang, W.J.; Yang, L.; Fu, Q.; Xu, J.J.; Gu, J.X. Decreased expression of hepatocyte nuclear factor 4α (Hnf4α)/microRNA-122 (miR-122) axis in hepatitis B virus-associated hepatocellular carcinoma enhances potential oncogenic GALNT10 protein activity. J. Biol. Chem. 2015, 290, 1170–1185. [Google Scholar] [CrossRef]
- Chang, Y.H.; Yin, F.; Fan, G.F.; Zhao, M. Down-regulation of miR-329-3p is associated with worse prognosis in patients with cervical cancer. Eur. Rev. Med. Pharmacol. Sci. 2017, 21, 4045–4049. [Google Scholar] [PubMed]
- Shen, H.; Li, W.; Tian, Y.; Xu, P.; Wang, H.; Zhang, J.; Li, Y. Upregulation of miR-362-3p modulates proliferation and anchorage-independent growth by directly targeting Tob2 in hepatocellular carcinoma. J. Cell. Biochem. 2015, 116, 1563–1573. [Google Scholar] [CrossRef] [PubMed]
- Ge, J.; Zhu, J.; Xia, B.; Cao, H.; Peng, Y.; Li, X.; Yu, T.; Chu, G.; Yang, G.; Shi, X. miR-423-5p inhibits myoblast proliferation and differentiation by targeting Sufu. J. Cell Biochem. 2018, 119, 7610–7620. [Google Scholar] [CrossRef] [PubMed]
- Tang, X.; Zeng, X.; Huang, Y.; Chen, S.; Lin, F.; Yang, G.; Yang, N. miR-423-5p serves as a diagnostic indicator and inhibits the proliferation and invasion of ovarian cancer. Exp. Ther. Med. 2018, 15, 4723–4730. [Google Scholar] [CrossRef]
- Wang, X.; Peng, L.; Gong, X.; Zhang, X.; Sun, R.; Du, J. miR-423-5p inhibits osteosarcoma proliferation and invasion through directly targeting STMN1. Cell. Physiol. Biochem. 2018, 50, 2249–2259. [Google Scholar] [CrossRef] [PubMed]
- Bayraktar, R.; Pichler, M.; Kanlikilicer, P.; Ivan, C.; Bayraktar, E.; Kahraman, N.; Aslan, B.; Oguztuzun, S.; Ulasli, M.; Arslan, A.; et al. MicroRNA 603 acts as a tumor suppressor and inhibits triple-negative breast cancer tumorigenesis by targeting elongation factor 2 kinase. Oncotarget 2017, 8, 11641–11658. [Google Scholar] [CrossRef] [PubMed]
- Guo, M.; Zhang, X.; Wang, G.; Sun, J.; Jiang, Z.; Khadarian, K.; Yu, S.; Zhao, Y.; Xie, C.; Zhang, K.; et al. miR-603 promotes glioma cell growth via Wnt/β-catenin pathway by inhibiting WIF1 and CTNNBIP1. Cancer Lett. 2015, 360, 76–86. [Google Scholar] [CrossRef] [PubMed]
- Lin, L.; Liu, D.; Liang, H.; Xue, L.; Su, C.; Liu, M. MiR-1228 promotes breast cancer cell growth and metastasis through targeting SCAI protein. Int. J. Clin. Exp. Pathol. 2015, 8, 6646–6655. [Google Scholar] [PubMed]
- Wang, Y.; Yao, X.; Li, S.N.; Suo, A.L.; Tian, T.; Ruan, Z.P.; Guo, H.; Yao, Y. Detection of prostate cancer related copy number variations with SNP genotyping array. Eur. Rev. Med. Pharmacol. Sci. 2013, 17, 2916–2922. [Google Scholar] [PubMed]
- Yan, Z.; Wang, J.; Wang, C.; Jiao, Y.; Qi, W.; Che, S. miR-96/HBP1/Wnt/β-catenin regulatory circuitry promotes glioma growth. FEBS Lett. 2014, 588, 3038–3046. [Google Scholar] [CrossRef] [PubMed]
- Leung, W.K.; He, M.; Chan, A.W.; Law, P.T.; Wong, N. Wnt/β-Catenin activates MiR-183/96/182 expression in hepatocellular carcinoma that promotes cell invasion. Cancer Lett. 2015, 362, 97–105. [Google Scholar] [CrossRef]
- Xu, L.; Zhong, J.; Guo, B.; Zhu, Q.; Liang, H.; Wen, N.; Yun, W.; Zhang, L. miR-96 promotes the growth of prostate carcinoma cells by suppressing MTSS1. Tumor Biol. 2016, 37, 12023–12032. [Google Scholar] [CrossRef]
- Guo, Y.; Liu, H.; Zhang, H.; Shang, C.; Song, Y. miR-96 regulates FOXO1-mediated cell apoptosis in bladder cancer. Oncol. Lett. 2012, 4, 561–565. [Google Scholar] [CrossRef]
- Xia, H.; Chen, S.; Chen, K.; Huang, H.; Ma, H. MiR-96 promotes proliferation and chemo- or radioresistance by down-regulating RECK in esophageal cancer. Biomed. Pharmacother. 2014, 68, 951–958. [Google Scholar] [CrossRef]
- Huang, Y.X.; Nie, X.G.; Li, G.D.; Fan, D.S.; Song, L.L.; Zhang, X.L. Downregulation of microRNA-182 inhibits cell viability, invasion and angiogenesis in retinoblastoma through inhibition of the PI3K/AKT pathway and CADM2 upregulation. Int. J. Oncol. 2018, 3, 2615–2626. [Google Scholar] [CrossRef] [PubMed]
- Chen, G.; Yu, L.; Dong, H.; Liu, Z.; Sun, Y. MiR-182 enhances radioresistance in non-small cell lung cancer cells by regulating FOXO3. Clin. Exp. Pharmacol. Physiol. 2018, 46, 137–143. [Google Scholar] [CrossRef] [PubMed]
- Xie, J.; Tan, Z.H.; Tang, X.; Mo, M.S.; Liu, Y.P.; Gan, R.L.; Li, Y.; Zhang, L.; Li, G.Q. MiR-374b-5p suppresses RECK expression and promotes gastric cancer cell invasion and metastasis. World J. Gastroenterol. 2016, 20, 17439–17447. [Google Scholar] [CrossRef] [PubMed]
- Qu, R.; Hao, S.; Jin, X.; Shi, G.; Yu, Q.; Tong, X.; Guo, D. MicroRNA-374b reduces the proliferation and invasion of colon cancer cells by regulation of LRH-1/Wnt signaling. Gene 2018, 642, 354–361. [Google Scholar] [CrossRef]
- Ho, J.Y.; Hsu, R.J.; Liu, J.M.; Chen, S.C.; Liao, G.S.; Gao, H.W.; Yu, C.P. MicroRNA-382-5p aggravates breast cancer progression by regulating the RERG/Ras/ERK signaling axis. Oncotarget 2017, 8, 22443–22459. [Google Scholar] [CrossRef] [PubMed]
- Xu, X.; Cai, N.; Zhi, T.; Bao, Z.; Wang, D.; Liu, Y.; Jiang, K.; Fan, L.; Ji, J.; Liu, N. MicroRNA-1179 inhibits glioblastoma cell proliferation and cell cycle progression via directly targeting E2F transcription factor 5. Am. J. Cancer Res. 2017, 7, 1680–1692. [Google Scholar]
- Song, L.; Dai, Z.; Zhang, S.; Zhang, H.; Liu, C.; Ma, X.; Liu, D.; Zan, Y.; Yin, X. MicroRNA-1179 suppresses cell growth and invasion by targeting sperm-associated antigen 5-mediated Akt signaling in human non-small cell lung cancer. Biochem. Biophys. Res. Commun. 2018, 504, 164–170. [Google Scholar] [CrossRef]
- Liu, W.; Wan, X.; Mu, Z.; Li, F.; Wang, L.; Zhao, J.; Huang, X. MiR-1256 suppresses proliferation and migration of non-small cell lung cancer via regulating TCTN1. Oncol. Lett. 2018, 16, 1708–1714. [Google Scholar] [CrossRef]
- Hu, M.; Wang, M.; Lu, H.; Wang, X.; Fang, X.; Wang, J.; Ma, C.; Chen, X.; Xia, H. Loss of miR-1258 contributes to carcinogenesis and progression of liver cancer through targeting CDC28 protein kinase regulatory subunit 1B. Oncotarget 2016, 7, 43419–43431. [Google Scholar] [CrossRef]
- Braga, E.A.; Loginov, V.I.; Burdennyi, A.M.; Filippova, E.A.; Pronina, I.V.; Kurevlev, S.V.; Kazubskaya, T.P.; Kushlinskii, D.N.; Utkin, D.O.; Ermilova, V.D.; et al. Five hypermethylated microRNA genes as potential markers of ovarian cancer. Bull. Exp. Biol. Med. 2018, 164, 351–355. [Google Scholar] [CrossRef]
- Jiang, W.; Wei, K.; Pan, C.; Li, H.; Cao, J.; Han, X.; Tang, Y.; Zhu, S.; Yuan, W.; He, Y.; et al. MicroRNA-1258 suppresses tumour progression via GRB2/Ras/Erk pathway in non-small-cell lung cancer. Cell Prolif. 2018, 51, e12502. [Google Scholar] [CrossRef] [PubMed]
- Liu, H.; Wang, H.; Liu, X.; Yu, T. miR-1271 inhibits migration, invasion and epithelial-mesenchymal transition by targeting ZEB1 and TWIST1 in pancreatic cancer cells. Biochem. Biophys. Res. Commun. 2016, 472, 346–352. [Google Scholar] [CrossRef] [PubMed]
- He, Z.J.; Li, W.; Chen, H.; Wen, J.; Gao, Y.F.; Liu, Y.J. miR-1306-3p targets FBXL5 to promote metastasis of hepatocellular carcinoma through suppressing snail degradation. Biochem. Biophys. Res. Commun. 2018, 504, 820–826. [Google Scholar] [CrossRef] [PubMed]



| Variables | Patients N (%) or Median (Range) |
|---|---|
| Median age (years) | |
| ≤54 | 226 (52.2) |
| >54 | 207 (47.8) |
| Gender | |
| Male | 201 (46.4) |
| Female | 232 (53.6) |
| Skin color | |
| White | 403 (93.1) |
| Non-white | 30 (6.9) |
| Nevi * | |
| <20 | 167 (38.6) |
| ≥20 | 260 (60.1) |
| Not obtained | 6 (1.3) |
| Sun exposure * | |
| Yes | 349 (80.6) |
| No | 73 (16.9) |
| Not obtained | 11 (2.5) |
| Tumor location * | |
| Head or neck | 77 (17.8) |
| Upper limb | 64 (14.8) |
| Lower limb | 78 (18.0) |
| Trunk | 194 (44.8) |
| Not obtained | 20 (4.6) |
| Clinical stage * | |
| 0 | 36 (8.3) |
| I | 193 (44.6) |
| II | 131 (30.3) |
| III | 53 (12.2) |
| IV | 14 (3.2) |
| Not obtained | 6 (1.4) |
| Histological type * | |
| Superficial spreading | 254 (58.7) |
| Nodular | 103 (23.8) |
| Malignant lentigo | 34 (7.9) |
| No specification | 42 (9.7) |
| Breslow thickness * | |
| T1 | 188 (43.4) |
| T2 | 71 (16.4) |
| T3 | 72 (16.6) |
| T4 | 85 (19.6) |
| Not obtained | 17 (4.0) |
| Clark level * | |
| I | 38 (8.8) |
| II | 71 (16.4) |
| III | 130 (30.0) |
| IV | 161 (37.2) |
| V | 19 (4.4) |
| Not obtained | 14 (3.2) |
| Follow-up time ** | 96 (5–251) |
| Patient’s final status ** | |
| Alive without melanoma | 162 |
| Alive with melanoma | 15 |
| Died from melanoma | 55 |
| Died from other causes | 23 |
| Genotypes | N | Median Age (Years) | Gender | Skin Color | Number of Nevi * | Sun Exposure * | |||||
|---|---|---|---|---|---|---|---|---|---|---|---|
| ≤54 N (%) | >54 N (%) | Male N (%) | Female N (%) | White N (%) | Non-White N (%) | <20 N (%) | ≥20 N (%) | Yes N (%) | No N (%) | ||
| c.587T>G | |||||||||||
| TT | 275 | 157 (69.5) | 118 (57.0) | 127 (63.2) | 148 (63.8) | 252 (62.5) | 23 (76.7) | 102 (61.1) | 169 (65.0) | 222 (63.6) | 48 (65.8) |
| TG or GG | 158 | 69 (30.5) | 89 (43.0) | 74 (36.8) | 84 (36.2) | 151 (37.5) | 7 (23.3) | 65 (38.9) | 91 (35.0) | 127 (36.4) | 25 (34.2) |
| p-value | 0.007 | 0.89 | 0.16 | 0.41 | 0.72 | ||||||
| TT or TG | 413 | 214 (94.7) | 199 (96.1) | 188 (93.5) | 225 (97.0) | 385 (95.5) | 28 (93.3) | 160 (95.8) | 247 (95.0) | 334 (95.7) | 69 (94.5) |
| GG | 20 | 12 (5.3) | 8 (3.9) | 13 (6.5) | 7 (3.0) | 18 (4.5) | 2 (6.6) | 7 (4.2) | 13 (5.0) | 15 (4.3) | 4 (5.5) |
| p-value | 0.50 | 0.10 | 0.64 | 0.81 | 0.75 | ||||||
| c.*188G>A * | |||||||||||
| GG | 142 | 75 (52.8) | 67 (47.2) | 75 (37.5) | 67 (28.9) | 130 (32.3) | 12 (40.0) | 53 (31.7) | 87 (33.6) | 118 (33.9) | 20 (27.4) |
| GA or AA | 290 | 151 (52.1) | 139 (47.9) | 125 (62.5) | 165 (71.1) | 272 (67.7) | 18 (60.0) | 114 (68.3) | 172 (66.4) | 230 (66.1) | 53 (72.6) |
| p-value | 0.88 | 0.05 | 0.38 | 0.69 | 0.28 | ||||||
| GG or GA | 344 | 182 (52.9) | 162 (47.1) | 159 (79.5) | 185 (79.7) | 322 (80.1) | 22 (73.3) | 132 (79.0) | 208 (80.3) | 278 (79.9) | 59 (80.8) |
| AA | 88 | 44 (50.0) | 44 (50.0) | 41 (20.5) | 47 (20.3) | 80 (19.9) | 8 (26.7) | 35 (21.0) | 51 (19.7) | 70 (20.1) | 14 (19.2) |
| p-value | 0.62 | 0.95 | 0.35 | 0.75 | 0.85 | ||||||
| c.*215T>C | |||||||||||
| TT | 178 | 88 (38.9) | 90 (43.7) | 81 (40.3) | 97 (41.8) | 169 (41.9) | 9 (30.0) | 70 (41.9) | 106 (40.8) | 141 (40.4) | 31 (42.5) |
| TC or CC | 255 | 138 (61.1) | 117 (56.5) | 120 (59.7) | 135 (58.2) | 234 (58.1) | 21 (70.0) | 97 (58.1) | 154 (59.2) | 208 (59.6) | 42 (57.5) |
| p-value | 0.33 | 0.75 | 0.20 | 0.81 | 0.74 | ||||||
| TT or TC | 384 | 195 (86.3) | 189 (91.3) | 176 (87.6) | 208 (89.7) | 358 (88.8) | 26 (86.7) | 149 (89.2) | 230 (88.5) | 309 (88.5) | 65 (89.0) |
| CC | 49 | 31 (13.7) | 18 (8.7) | 25 (12.4) | 24 (10.3) | 45 (11.2) | 4 (13.3) | 18 (10.8) | 30 (11.5) | 40 (11.5) | 8 (11.0) |
| p-value | 0.09 | 0.49 | 0.71 | 0.80 | 0.90 | ||||||
| c.*922C>T * | |||||||||||
| CC | 164 | 86 (38.2) | 78 (37.7) | 76 (37.8) | 88 (38.1) | 153 (38.1) | 11 (36.7) | 58 (34.7) | 102 (39.4) | 135 (38.7) | 27 (37.0) |
| CT or TT | 268 | 139 (61.8) | 129 (62.3) | 125 (62.2) | 143 (61.9) | 249 (61.9) | 19 (63.3) | 109 (65.3) | 157 (60.6) | 214 (61.3) | 46 (63.0) |
| p-value | 0.90 | 0.95 | 0.87 | 0.33 | 0.78 | ||||||
| CC or CT | 379 | 199 (88.4) | 180 (87.0) | 179 (89.1) | 200 (86.6) | 353 (87.8) | 26 (86.7) | 148 (88.6) | 225 (86.9) | 307 (88.0) | 65 (89.0) |
| TT | 53 | 26 (11.6) | 27 (13.0) | 22 (10.9) | 31 (13.4) | 49 (12.2) | 4 (13.3) | 19 (11.4) | 34 (13.1) | 42 (12.0) | 8 (11.0) |
| p-value | 0.63 | 0.43 | 0.77 | 0.59 | 1.00 | ||||||
| Variable | Univariate Cox Regression | Multivariate Cox Regression | ||||||||
|---|---|---|---|---|---|---|---|---|---|---|
| N Total/ N Event | PFS HR (95% CI) | p-Value | N Total/ N Event | MSS HR (95% CI) | p-Value | PFS Adjusted HR (95% CI) | p-Value | MSS Adjusted HR (95% CI) | p-Value | |
| Median age (years) | ||||||||||
| ≤54 | 125/38 | Reference | 0.15 | 125/22 | Reference | 0.009 | Reference | 0.74 | Reference | 0.03 |
| >54 | 130/49 | 1.36 (0.89–2.08) | 130/39 | 2.01 (1.18–3.39) | 1.08 (0.65–1.81) | 2.02 (1.06–3.84) | ||||
| Gender | ||||||||||
| Male | 129/52 | 1.58 (1.03–2.43) | 0.03 | 129/43 | 2.61 (1.50–4.53) | 0.0006 | 1.05 (0.56–1.58) | 0.82 | 1.72 (0.91–3.27) | 0.09 |
| Female | 126/35 | Reference | 126/18 | Reference | Reference | Reference | ||||
| TNM stage | ||||||||||
| 0-II | 206/53 | Reference | <0.0001 | 206/36 | Reference | <0.0001 | Reference | 0.0001 | Reference | <0.0001 |
| III or IV | 43/31 | 4.65 (2.96–7.30) | 43/25 | 5.47 (3.27–9.15) | 2.99 (1.68–5.31) | 4.71 (2.42–9.15) | ||||
| Type of tumor spread | ||||||||||
| Superficial spreading | 128/20 | Reference | <0.0001 | 128/11 | Reference | <0.0001 | Reference | 0.01 | Reference | 0.0004 |
| Others | 93/48 | 4.22 (2.50–7.13) | 93/37 | 5.77 (2.94–11.33) | 2.17 (1.19–3.96) | 3.70 (1.77–7.72) | ||||
| Breslow thickness | ||||||||||
| T1 or T2 | 147/23 | Reference | <0.0001 | 147/16 | Reference | <0.0001 | Reference | Reference | ||
| T3 or T4 | 94/54 | 5.19 (3.18–8.48) | 94/39 | 4.65 (2.59–8.33) | 2.19 (1.08–4.42) | 0.02 | 1.15 (0.51–2.58) | 0.73 | ||
| Clark level | ||||||||||
| I or II | 77/8 | Reference | <0.0001 | 77/4 | Reference | 0.0001 | Reference | Reference | ||
| III-V | 165/72 | 5.33 (2.56–11.08) | 165/53 | 7.35 (2.65–20.33) | 2.06 (0.85–5.00) | 0.10 | 3.65 (1.00–13.29) | 0.05 | ||
| c.*922C>T | ||||||||||
| CC | 99/29 | Reference | 0.16 | 99/19 | Reference | 0.13 | Reference | 0.01 | Reference | 0.02 |
| CT or TT | 155/58 | 1.36 (0.87–2.13) | 155/42 | 1.51 (0.87–2.59) | 2.00 (1.16–3.44) | 2.09 (1.09–3.99) | ||||
| CC or CT | 226/77 | Reference | 0.99 | 226/54 | Reference | 0.83 | NA | NA | ||
| TT | 28/10 | 1.00 (0.51–1.92) | 28/7 | 1.08 (0.49–2.38) | ||||||
| c.587T>G + c.*922C>T | ||||||||||
| TT + CC | 64/18 | Reference | 0.13 | 64/12 | Reference | 0.16 | Reference | 0.02 | Reference | 0.009 |
| TG or GG + CT or TT | 58/23 | 1.59 (0.85–2.95) | 58/16 | 1.71 (0.80–3.62) | 2.48 (1.10–5.61) | 3.68 (1.37–9.92) | ||||
| TT or TG + CC or CT | 219/74 | Reference | 0.68 | 219/52 | Reference | 0.25 | ||||
| GG + TT | 4/2 | 1.34 (0.32–5.48) | 4/2 | 2.26 (0.54–9.32) | NA | NA | ||||
| c.*215T>C + c.*922C>T | ||||||||||
| TT + CC | 28/6 | Reference | 0.20 | 28/2 | Reference | 0.09 | Reference | 0.17 | Reference | 0.17 |
| TC or CC + CT or TT | 81/30 | 1.73 (0.72–4.17) | 81/21 | 3.50 (0.81–14.99) | 2.16 (0.71–6.56) | 3.11 (0.59–16.35) | ||||
| TT or TC + CC or CT | 198/68 | Reference | NC | 198/47 | Reference | NC | NA | NA | ||
| CC + TT | 1/0 | NC | 1/0 | NC | ||||||
| Haplotype | ||||||||||
| TATT | 89/36 | 1.49 (0.43–1.02) | 0.06 | 89/28 | 1.77 (1.08–2.97) | 0.02 | 1.75 (1.09–2.99) | 0.02 | 1.98 (1.08–3.50) | 0.02 |
| Others | 165/51 | Reference | 165/33 | Reference | Reference | Reference | ||||
Disclaimer/Publisher’s Note: The statements, opinions and data contained in all publications are solely those of the individual author(s) and contributor(s) and not of MDPI and/or the editor(s). MDPI and/or the editor(s) disclaim responsibility for any injury to people or property resulting from any ideas, methods, instructions or products referred to in the content. |
© 2024 by the authors. Licensee MDPI, Basel, Switzerland. This article is an open access article distributed under the terms and conditions of the Creative Commons Attribution (CC BY) license (https://creativecommons.org/licenses/by/4.0/).
Share and Cite
Carvalho, B.F.; Gomez, G.V.B.; Carron, J.; Macedo, L.T.; Gonçalves, G.M.; Vazquez, V.d.L.; Serrano, S.V.; Lourenço, G.J.; Lima, C.S.P. TNFRSF1B Gene Variants in Clinicopathological Aspects and Prognosis of Patients with Cutaneous Melanoma. Int. J. Mol. Sci. 2024, 25, 2868. https://doi.org/10.3390/ijms25052868
Carvalho BF, Gomez GVB, Carron J, Macedo LT, Gonçalves GM, Vazquez VdL, Serrano SV, Lourenço GJ, Lima CSP. TNFRSF1B Gene Variants in Clinicopathological Aspects and Prognosis of Patients with Cutaneous Melanoma. International Journal of Molecular Sciences. 2024; 25(5):2868. https://doi.org/10.3390/ijms25052868
Chicago/Turabian StyleCarvalho, Bruna Fernandes, Gabriela Vilas Bôas Gomez, Juliana Carron, Ligia Traldi Macedo, Gisele Melo Gonçalves, Vinicius de Lima Vazquez, Sergio Vicente Serrano, Gustavo Jacob Lourenço, and Carmen Silvia Passos Lima. 2024. "TNFRSF1B Gene Variants in Clinicopathological Aspects and Prognosis of Patients with Cutaneous Melanoma" International Journal of Molecular Sciences 25, no. 5: 2868. https://doi.org/10.3390/ijms25052868
APA StyleCarvalho, B. F., Gomez, G. V. B., Carron, J., Macedo, L. T., Gonçalves, G. M., Vazquez, V. d. L., Serrano, S. V., Lourenço, G. J., & Lima, C. S. P. (2024). TNFRSF1B Gene Variants in Clinicopathological Aspects and Prognosis of Patients with Cutaneous Melanoma. International Journal of Molecular Sciences, 25(5), 2868. https://doi.org/10.3390/ijms25052868

