Copper(II)-Assisted Degradation of Pheophytin a by Reactive Oxygen Species
Abstract
1. Introduction
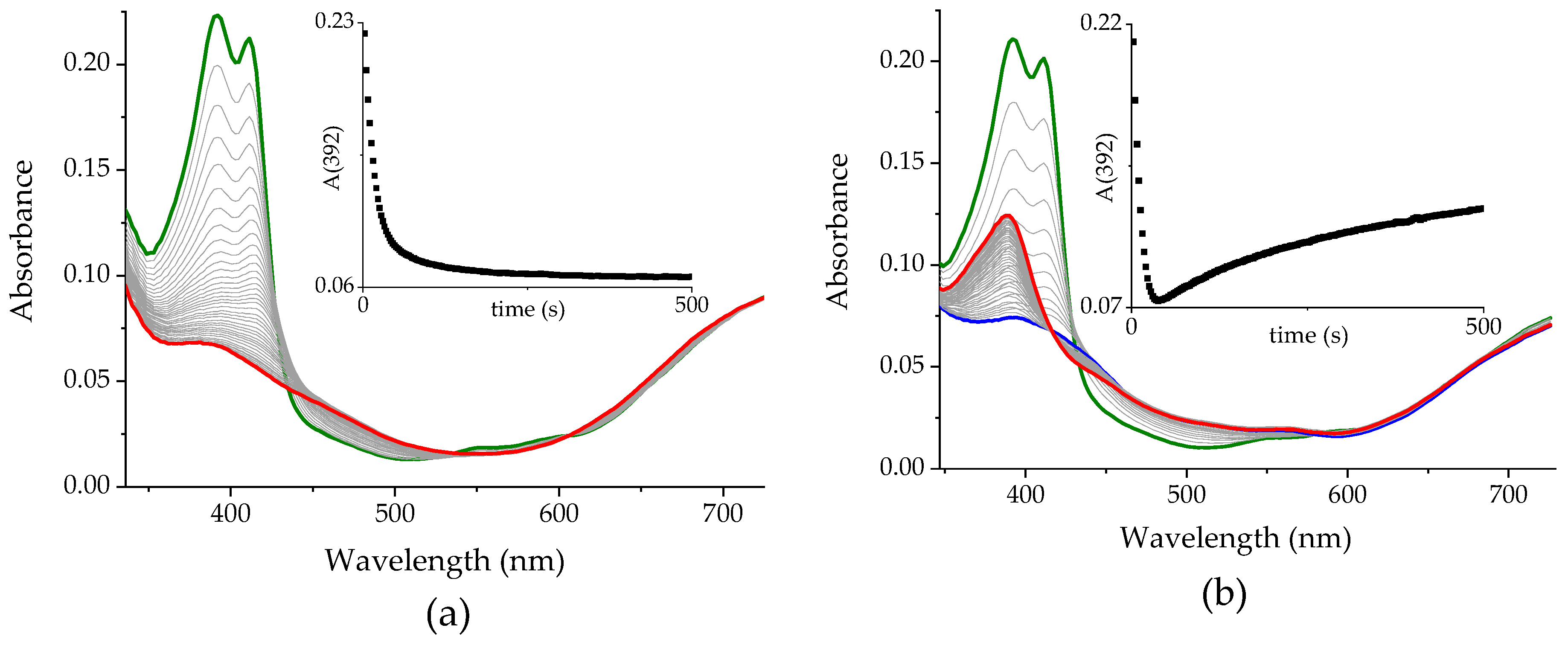
2. Results and Discussion
3. Materials and Methods
4. Conclusions
Author Contributions
Funding
Institutional Review Board Statement
Informed Consent Statement
Data Availability Statement
Conflicts of Interest
References
- Fiedor, L.; Zbyradowski, M.; Pilch, M. Tetrapyrrole pigments of photosynthetic antennae and reaction centers of higher plants: Structures, biophysicis, functions, biochemistry, mechanisms of regulation, applications. In Metabolism, Structure and Function of Plant Tetrapyrroles: Introduction, Microbial and Eukaryotic Chlorophyll Synthesis and Catabolism, 1st ed.; Grimm, B., Ed.; Advances in Botanical Research; Academic Press: London, UK, 2019; Volume 90, pp. 1–33. [Google Scholar]
- Masuda, T. Recent overview of the Mg branch of the tetrapyrrole biosynthesis leading to chlorophylls. Photosynth. Res. 2008, 96, 121–143. [Google Scholar] [CrossRef]
- Scheer, H. (Ed.) Chlorophylls; CRC Press: Boca Raton, FL, USA, 1991. [Google Scholar]
- Kotkowiak, M.; Dudkowiak, A.; Fiedor, L. Intrinsic photoprotective mechanisms in chlorophylls. Angew. Chem. Int. Ed. 2017, 56, 10457–10461. [Google Scholar] [CrossRef]
- Kania, A.; Pilch, M.; Rutkowska-Zbik, D.; Susz, A.; Heriyanto; Stochel, G.; Fiedor, L. High-pressure and theoretical studies reveal significant differences in the electronic structure and bonding of magnesium, zinc and nickel ions in metalloporphyrinoids. Inorg. Chem. 2014, 53, 8473–8484. [Google Scholar] [CrossRef] [PubMed]
- Küpper, H.; Küpper, F.; Spiller, M. Environmental relevance of heavy metal-substituted chlorophylls using the example of water plants. J. Exp. Bot. 1996, 47, 259–266. [Google Scholar] [CrossRef]
- Küpper, H.; Küpper, F.; Spiller, M. In situ detection of heavy metal substituted chlorophylls in water plants. Photosynth. Res. 1998, 58, 123–133. [Google Scholar] [CrossRef]
- Küpper, H.; Setlik, I.; Spiller, M.; Küpper, F.; Prasil, O. Heavy metal-induced inhibition of photosynthesis—Targets of in vivo heavy metal chlorophyll formation. J. Phycol. 2002, 38, 429–441. [Google Scholar]
- Orzeł, Ł.; van Eldik, R.; Fiedor, L.; Stochel, G. Mechanistic information on Cu(II) metalation and transmetalation of chlorophylls. Eur. J. Inorg. Chem. 2009, 2009, 2393–2406. [Google Scholar] [CrossRef]
- Brandis, A.S.; Salomon, Y.; Scherz, A. Chlorophyll sensitizers in photodynamic therapy. In Chlorophylls and Bacteriochlorophylls. Biochemistry, Biophysics, Functions and Applications; Grimm, B., Porra, R.J., Rudiger, W., Scheer, H., Eds.; Advances in Photosynthesis and Respiration; Springer: Dordrecht, The Netherlands, 2006; pp. 462–483. [Google Scholar]
- Lu, H.; Zada, S.; Tang, S.; Yaru, C.; Wei, W.; Yuchun, Q.; Yang, Q.; Du, J.; Fu, P.; Dong, H.; et al. Artificial photoactive chlorophyll conjugated vanadium carbide nanostructure for synergistic photothermal/photodynamic therapy of cancer. J. Nanobiotechnol. 2022, 20, 121. [Google Scholar] [CrossRef] [PubMed]
- Martins, T.; Barros, A.N.; Rosa, E.; Antunes, L. Enhancing health benefits through chlorophylls and chlorophyll-rich agro-food: A comprehensive review. Molecules 2023, 28, 5344. [Google Scholar] [CrossRef] [PubMed]
- Irodia, R.; Mîndroiu, M.; Bîru, J.; Ioniţă, G.; Mihai, G.V.; Enăchescu, M.; Orbeci, C.; Pîrvu, C. Double S-scheme polydopamine/TiO2/chlorophyll as stable and efficient green photoelectrocatalyst. ChemElectroChem 2023, 10, e202300277. [Google Scholar] [CrossRef]
- Krishnan, S.; Shriwastav, A. Application of TiO2 nanoparticles sensitized with natural chlorophyll pigments as catalyst for visible light photocatalytic degradation of methylene blue. J. Environ. Chem. Eng. 2021, 9, 104699. [Google Scholar] [CrossRef]
- Banua, S.; Yadav, P.P. Chlorophyll: The ubiquitous photocatalyst of nature and its potential as an organo-photocatalyst in organic syntheses. Org. Biomol. Chem. 2022, 20, 8584. [Google Scholar] [CrossRef]
- Orzeł, Ł.; Szmyd, B.; Rutkowska-Żbik, D.; Fiedor, L.; van Eldik, R.; Stochel, G. Fine tuning of copper(II)–chlorophyll interactions in organic media. Metalation versus oxidation of the macrocycle. Dalton Trans. 2015, 44, 6012–6022. [Google Scholar] [CrossRef]
- Orzeł, Ł.; Rutkowska-Zbik, D.; van Eldik, R.; Fiedor, L.; Stochel, G. Chlorophyll a π-cation radical as redox mediator in superoxide dismutase (SOD) mimetics. ChemPhysChem 2021, 22, 344–348. [Google Scholar] [CrossRef]
- Hynninen, P.H.; Hyvarinen, K. Tracing the Allomerization Pathways of Chlorophylls by 18O-Labeling and Mass Spectrometry. J. Org. Chem. 2002, 67, 4055–4061. [Google Scholar] [CrossRef] [PubMed]
- Hynninen, P.H.; Leppakases, T.S.; Mesilaakso, M. The enolate anions of chlorophylls a and b as ambident nucleophiles in oxidations with (−)- or (+)-(10-camphorsulfonyl)oxaziridine. Synthesis of 132(S/R)-hydroxychlorophylls a and b. Tetrahedron 2006, 62, 3412–3422. [Google Scholar] [CrossRef]
- Ulrich, M.; Moser, S.; Mueller, T.; Kräutler, B. How the colourless nonfluorescent chlorophyll catabolites rust. Chem. Eur. J. 2011, 17, 2330–2334. [Google Scholar] [CrossRef]
- Kräutler, B. Phyllobilins—The abundant bilin-type tetrapyrrolic catabolites of the green plant pigment chlorophyll. Chem. Soc. Rev. 2014, 43, 6227. [Google Scholar] [CrossRef]
- Oberhuber, M.; Berghold, J.; Breuker, K.; Hörtensteiner, S.; Kräutler, B. Breakdown of chlorophyll: A nonenzymatic reaction accounts for the formation of the colorless, “nonfluorescent” chlorophyll catabolites. Proc. Natl. Acad. Sci. USA 2003, 10, 6910–6915. [Google Scholar] [CrossRef] [PubMed]
- Kräutler, B. Unravelling chlorophyll catabolism in higher plants. Biochem. Soc. Trans. 2002, 30, 625–630. [Google Scholar] [CrossRef] [PubMed]
- Kräutler, B. Chlorophyll Breakdown—How Chemistry Has Helped to Decipher a Striking Biological Enigma. Synlett 2019, 30, 263–274. [Google Scholar] [CrossRef]
- Frankenberg-Dinkel, N.; Terry, M.J. Synthesis and Role of Bilins in Photosynthetic Organisms. In Tetrapyrroles: Birth, Life and Death; Warren, M.J., Smith, A.G., Eds.; Springer: New York, NY, USA, 2009; pp. 208–220. [Google Scholar]
- Becker, S.; Dürr, M.; Miska, A.; Becker, J.; Gawlig, C.; Behrens, U.; Ivanović-Burmazović, I.; Schindler, S. Copper Chloride Catalysis: Do μ4-Oxido Copper Clusters Play a Significant Role? Inorg. Chem. 2016, 55, 3759–3766. [Google Scholar] [CrossRef]
- Löw, S.; Becker, J.; Würtele, C.; Miska, A.; Kleeberg, C.; Behrens, U.; Walter, O.; Schindler, S. Reactions of Copper(II) Chloride in Solution: Facile Formation of Tetranuclear Copper Clusters and Other Complexes That Are Relevant in Catalytic Redox Processes. Chem. Eur. J. 2013, 19, 5342–5351. [Google Scholar] [CrossRef]
- Lesiów, M.K.; Pietrzyk, P.; Kyzioł, A.; Komarnicka, U.K. Cu(II) complexes with FomA protein fragments of Fusobacterium nucleatum increase oxidative stress and malondialdehyde level. Chem. Res. Toxical. 2019, 32, 2227–2237. [Google Scholar] [CrossRef]
- Thornalley, P.J.; Trotta, R.J.; Stern, A. Free radical involvement in the oxidative phenomena induced by tert-butyl hydroperoxide in erythrocytes. Biochim. Biophys. Acta 1983, 759, 13–22. [Google Scholar]
- Huang, Y.F.; Huang, Y.H. Behavioral evidence of the dominant radicals and intermediates involved in bisphenol A degradation using an efficient Co2+/PMS oxidation process. J. Hazard. Mater. 2009, 167, 418–426. [Google Scholar] [CrossRef]
- Bastos, E.L.; Farahani, P.; Bechara, E.J.H.; Baader, W.J. Four-membered cyclic peroxides: Carriers of chemical energy. J. Phys. Org. Chem. 2017, 30, 3725. [Google Scholar] [CrossRef]
- Iriyama, K.; Ogura, N.; Takamiya, A. A simple method for extraction and partial purification of chlorophyll from plant material, using dioxane. J. Biochem. 1974, 76, 901–904. [Google Scholar] [PubMed]
- Omata, T.; Murata, N. Preparation of chlorophyll a, chlorophyll b and bacteriochlorophyll a by column chromatography with DEAE-sepharose CL-6B and sepharose CL-6B. Plant Cell Physiol. 1983, 24, 1093–1100. [Google Scholar]
- Fiedor, L.; Rosenbach-Belkin, V.; Scherz, A. The stereospecific interaction between chlorophylls and chlorophyllase. J. Biol. Chem. 1992, 267, 22043–22047. [Google Scholar] [CrossRef] [PubMed]
- Spałek, T.; Pietrzyk, P.S.; Sojka, Z. Application of the Genetic Algorithm Joint with the Powell Method to Nonlinear Least-Squares Fitting of Powder EPR Spectra. J. Chem. Inf. Model. 2005, 45, 18–29. [Google Scholar] [CrossRef]
- TURBOMOLE V7.0.1 2015, a Development of University of Karlsruhe and Forschungszentrum Karlsruhe GmbH, 1989–2007, TURBOMOLE GmbH, Since 2007. Available online: http://www.turbomole.com (accessed on 9 August 2022).
- Becke, A.D. Density-functional exchange-energy approximation with correct asymptotic behavior. Phys. Rev. A 1988, 38, 3098–3100. [Google Scholar] [CrossRef] [PubMed]
- Dirac, P.A.M. Quantum Mechanics of Many-Electron Systems. Proc. R. Soc. Lond. Ser. A 1929, 123, 714–733. [Google Scholar] [CrossRef]
- Perdew, J.P. Density-functional approximation for the correlation energy of the inhomogeneous electron gas. Phys. Rev. B 1986, 33, 8822–8824. [Google Scholar] [CrossRef] [PubMed]
- Weigend, F.; Ahlrichs, R. Balanced basis sets of split valence, triple zeta valence and quadruple zeta valence quality for H to Rn: Design and assessment of accuracy. Phys. Chem. Chem. Phys. 2005, 7, 3297–3305. [Google Scholar] [CrossRef] [PubMed]
- Eichkorn, K.; Treutler, O.; Öhm, H.; Häser, M.; Ahlrichs, R. Auxiliary Basis Sets to Approximate Coulomb Potentials. Chem. Phys. Lett. 1995, 240, 283–289. [Google Scholar] [CrossRef]
- Eichkorn, K.; Weigend, F.; Treutler, O.; Ahlrichs, R. Auxiliary basis sets for main row atoms and transition metals and their use to approximate Coulomb potentials. Theor. Chem. Acc. 1997, 97, 119–124. [Google Scholar] [CrossRef]
- Reed, A.E.; Weinstock, R.B.; Weinhold, F. Natural population analysis. J. Chem. Phys. 1985, 83, 735–746. [Google Scholar] [CrossRef]
- Park, J.M.; Hong, K.I.; Lee, H.; Jang, W.D. Bioinspired applications of porphyrin derivatives. Acc. Chem. Res. 2021, 54, 2249–2260. [Google Scholar] [CrossRef]
- Lee, H.; Park, H.; Ryu, D.Y.; Jang, W.D. Porphyrin-based supramolecular polymers. Chem. Soc. Rev. 2023, 52, 1947–1974. [Google Scholar] [CrossRef]
- Wang, P.; Grimm, B. Connecting chlorophyll metabolism with accumulation of the photosynthetic apparatus. Trends Plant Sci. 2021, 26, 484–495. [Google Scholar] [CrossRef] [PubMed]
- Bechaieb, R.; Akacha, A.B.; Gerard, H. Quantum chemistry insight into Mg-substitution in chlorophyll by toxic heavy metals: Cd, Hg and Pb. Chem. Phys. Lett. 2016, 663, 27–32. [Google Scholar] [CrossRef]









| Bond | Pheoa | Pheoa2+ |
|---|---|---|
| C10–C27 | 1.392 | 1.375 |
| C27–C7 | 1.407 | 1.431 |
| C9–C68 | 1.402 | 1.410 |
| C68–C5 | 1.397 | 1.385 |
| C4–C26 | 1.391 | 1.445 |
| C2–C19 | 1.399 | 1.415 |
| C19–C6 | 1.403 | 1.385 |
| Parameter | k1 | k2 |
|---|---|---|
| k298K | (1.536 ± 0.318) × 103 M−1s−1 | 5.309 ± 1.049 s−1 |
| ΔH‡ (kJmol−1) | 58 ± 4 | 71 ± 2 |
| ΔS‡ (Jmol−1K−1) | +10 ± 12 | +7 ± 6 |
Disclaimer/Publisher’s Note: The statements, opinions and data contained in all publications are solely those of the individual author(s) and contributor(s) and not of MDPI and/or the editor(s). MDPI and/or the editor(s) disclaim responsibility for any injury to people or property resulting from any ideas, methods, instructions or products referred to in the content. |
© 2024 by the authors. Licensee MDPI, Basel, Switzerland. This article is an open access article distributed under the terms and conditions of the Creative Commons Attribution (CC BY) license (https://creativecommons.org/licenses/by/4.0/).
Share and Cite
Orzeł, Ł.; Drzewiecka-Matuszek, A.; Rutkowska-Zbik, D.; Krasowska, A.; Fiedor, L.; van Eldik, R.; Stochel, G. Copper(II)-Assisted Degradation of Pheophytin a by Reactive Oxygen Species. Int. J. Mol. Sci. 2024, 25, 1831. https://doi.org/10.3390/ijms25031831
Orzeł Ł, Drzewiecka-Matuszek A, Rutkowska-Zbik D, Krasowska A, Fiedor L, van Eldik R, Stochel G. Copper(II)-Assisted Degradation of Pheophytin a by Reactive Oxygen Species. International Journal of Molecular Sciences. 2024; 25(3):1831. https://doi.org/10.3390/ijms25031831
Chicago/Turabian StyleOrzeł, Łukasz, Agnieszka Drzewiecka-Matuszek, Dorota Rutkowska-Zbik, Aneta Krasowska, Leszek Fiedor, Rudi van Eldik, and Grażyna Stochel. 2024. "Copper(II)-Assisted Degradation of Pheophytin a by Reactive Oxygen Species" International Journal of Molecular Sciences 25, no. 3: 1831. https://doi.org/10.3390/ijms25031831
APA StyleOrzeł, Ł., Drzewiecka-Matuszek, A., Rutkowska-Zbik, D., Krasowska, A., Fiedor, L., van Eldik, R., & Stochel, G. (2024). Copper(II)-Assisted Degradation of Pheophytin a by Reactive Oxygen Species. International Journal of Molecular Sciences, 25(3), 1831. https://doi.org/10.3390/ijms25031831

