The Influence of Graphene Oxide-Fe3O4 Differently Conjugated with 10-Hydroxycampthotecin and a Rotating Magnetic Field on Adenocarcinoma Cells
Abstract
1. Introduction
2. Results and Discussion
2.1. Materials Characterization
2.2. The Stability of the Dispersions of nc-GO-Fe3O4-HCPT and c-GO-Fe3O4-HCPT Nanocomposites
2.3. HCPT Loading and Release
2.4. Morphology of MCF-7 Cells after Combined Exposure to Nanocomposites and Rotating Magnetic Field
2.5. The MCF-7 Cell Line Response to Graphene Oxide-Fe3O4 and Hydroxycamptothecin
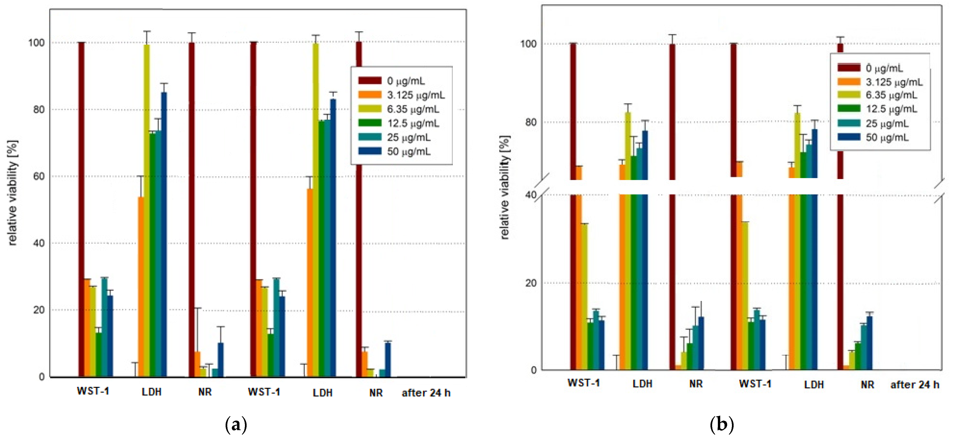
2.6. The Effect of the GO-Fe3O4 Loaded with HCPT on MCF-7 Cells
2.7. The Rotating Magnetic Field and Its Effect on the Cellular Activity of MCF-7
2.8. Potential Co-Effect of GO-Fe3O4 Nanoparticles Loaded with HCPT and RMF on the Viability of MCF-7 Cells
3. Materials and Methods
3.1. Synthesis of Graphene Oxide (GO)
3.2. Synthesis of Magnetite Nanospheres (Fe3O4)
3.3. Synthesis of Graphene Oxide Decorated with Magnetite (Fe3O4) Nanoparticles
3.4. Synthesis of Graphene Oxide-Fe3O4 Nanocomposites Covalently and Non-Covalently Conjugated with HCPT
3.5. Characterization of the Obtained Nanomaterials
3.6. Dispersion Stability of GO-Fe3O4-HCPT Covalently and Non-Covalently Conjugated with HCPT
3.7. Determination of HCPT Loading and Release
3.8. Cell Culture and Treatment Conditions
3.9. The Rotating Magnetic Field Effect on Cells Relative Viability
3.10. Observation of MCF-7 Cell Line Culture Morphology
3.11. WST-1 Cytotoxicity Assay
3.12. Lactate Dehydrogenase Leaking Assay
3.13. Neutral Red Uptake Assay
3.14. Statistical Analysis
4. Conclusions
Supplementary Materials
Author Contributions
Funding
Institutional Review Board Statement
Informed Consent Statement
Data Availability Statement
Conflicts of Interest
References
- Kocarnik, J.M.; Compton, K.; Dean, F.E.; Fu, W.; Gaw, B.L.; Harvey, J.D.; Henrikson, H.J.; Lu, D.; Pennini, A.; Xu, R.; et al. Cancer Incidence, Mortality, Years of Life Lost, Years Lived With Disability, and Disability-Adjusted Life Years for 29 Cancer Groups From 2010 to 2019. JAMA Oncol. 2022, 8, 420–444. [Google Scholar] [PubMed]
- Stewart, B.W.; Wild, C.P. World Cancer Report 2014, International Agency for Research on Cancer; World Health Organization: Geneva, Switzerland, 2014. [Google Scholar]
- Debela, D.T.; Muzazu, S.G.; Heraro, K.D.; Ndalama, M.T.; Mesele, B.W.; Haile, D.C.; Kitui, S.K.; Manyazewal, T. New approaches and procedures for cancer treatment: Current perspectives. SAGE Open Med. 2021, 9, 20503121211034366. [Google Scholar] [CrossRef] [PubMed]
- Mohammad, F.; Yusof, N.A. Doxorubicin-loaded magnetic gold nanoshells for a combination therapy of hyperthermia and drug delivery. J. Colloid Interface Sci. 2014, 434, 89–97. [Google Scholar] [CrossRef] [PubMed]
- Bai, L.Z.; Zhao, D.L.; Xu, Y.; Zhang, J.M.; Gao, T.L.; Zhao, L.Y.; Tang, J.T. Inductive heating property of graphene oxide-Fe3O4 nanoparticles hybrid in an AC magnetic field for localized hyperthermia. Mater. Lett. 2012, 68, 399–401. [Google Scholar] [CrossRef]
- Haghniaz, R.; Umrani, R.D.; Paknikar, K.M. Temperature-dependent and time-dependent effects of hyperthermia mediated by dextran-coated La0.7Sr0.3MnO3: In Vitro studies. Int. J. Nanomed. 2015, 10, 1609–1623. [Google Scholar]
- Mohammad, F.; Balaji, G.; Weber, A.; Uppu, R.M.; Kumar, C.S.S.R. Influence of gold nanoshell on hyperthermia of super paramagnetic iron oxide nanoparticles (SPIONs). J. Phys. Chem. C 2010, 114, 19194–19201. [Google Scholar] [CrossRef] [PubMed]
- Chen, Y.; Jiang, L.; Wang, R.; Lu, M.; Zhang, Q.; Zhou, Y.; Wang, Z.; Lu, G.; Liang, P.; Ran, H.; et al. Injectable smart phase-transformation implants for highly efficient in vivo magnetic-hyperthermia regression of tumors. Adv. Mater. 2014, 26, 7468–7473. [Google Scholar] [CrossRef]
- Liu, D.; Wang, L.; Wang, Z.; Cuschieri, A. Magnetoporation and magnetolysis of cancer cells via carbon nanotubes induced by rotating magnetic fields. Nano Lett. 2012, 12, 5117–5121. [Google Scholar] [CrossRef]
- Rakoczy, R. Mixing energy investigations in a liquid vessel that is mixed by using a rotating magnetic field. Chem. Eng. Process Process Intes. 2013, 66, 1–11. [Google Scholar] [CrossRef]
- Calvo, R.; Rodriguez Mariblanca, I.; Pini, V.; Dias, M.; Cebrian, V.; Thon, A.; Saad, A.; Salvador-Matar, A.; Ahumada, Ó.; Manso Silván, M.; et al. Novel characterization techniques for multifunctional plasmonic-magnetic nanoparticles in biomedical applications. Nanomaterials 2023, 13, 2929. [Google Scholar] [CrossRef]
- Winkler, R.; Ciria, M.; Ahmad, M.; Plank, H.; Marcuello, C. A Review of the current state of magnetic force microscopy to unravel the magnetic properties of nanomaterials applied in biological systems and future direction for quantum technologies. Nanomaterials 2023, 13, 2585. [Google Scholar] [CrossRef] [PubMed]
- Hekmat, A.; Saso, L.; Lather, V.; Pandita, D.; Kostova, I.; Saboury, A.A. Recent advances in nanomaterials of group XIV elements of periodic table in breast cancer treatment. Pharmaceutics 2022, 14, 2640. [Google Scholar] [CrossRef] [PubMed]
- Islam, F.; Khan, F.A.; Khan, N.M.; Ahmad, S.; Alsaiari, A.A.; Almehmadi, M.; Ahmad, N.; Ul-Haq, Z.; Jan, A.K.; Allahyani, M.; et al. PEGylated graphene oxide as a nanodrug delivery vehicle for podophyllotoxin (GO/PEG/PTOX) and in vitro α-amylase/α-glucosidase inhibition activities. ACS Omega 2023, 8, 20550–20560. [Google Scholar] [CrossRef] [PubMed]
- Wu, J.; Wang, Y.S.; Yang, X.Y.; Liu, Y.Y.; Yang, J.R.; Yang, R.; Zhang, N. Graphene oxide used as a carrier for adriamycin can reverse drug resistance in breast cancer cells. Nanotechnology 2012, 23, 355101. [Google Scholar] [CrossRef] [PubMed]
- Yang, X.Y.; Zhang, X.Y.; Liu, Z.F.; Ma, Y.; Huang, Y.; Chen, Y. High-efficiency loading and controlled release of doxorubicin hydrochloride on graphene oxide. J. Phys. Chem. C 2008, 112, 17554–17558. [Google Scholar] [CrossRef]
- Yan, Z.Q.; Zhang, W. The development of graphene-based devices for cell biology research. Front. Mater. Sci. 2014, 8, 107–122. [Google Scholar] [CrossRef]
- Liu, Z.; Robinson, J.T.; Sun, X.M.; Dai, H. PEGylated nanographene oxide for delivery of water-insoluble cancer drugs. J. Am. Chem. Soc. 2008, 130, 10876–10877. [Google Scholar] [CrossRef] [PubMed]
- Jin, R.; Ji, X.J.; Yang, X.Y.; Wang, H.; Cao, A. Self-assembled graphene-dextran nanohybrid for killing drug-resistant cancer cells. ACS Appl. Mater. Interfaces 2013, 5, 7181–7189. [Google Scholar] [CrossRef]
- Guo, X.M.; Guo, B.; Zhang, Q.; Sun, X. Absorption of 10-hydroxycamptothecin on Fe3O4 magnetite nanoparticles with layer-by-layer self-assembly and drug release response. Dalton Trans. 2011, 40, 3039–3046. [Google Scholar] [CrossRef]
- Jedrzejczak-Silicka, M.; Urbas, K.; Mijowska, E.; Rakoczy, R. The covalent and non-covalent conjugation of graphene oxide with hydroxycamptothecin in hyperthermia for its anticancer activity. J. Alloys Compd. 2017, 709, 112–124. [Google Scholar] [CrossRef]
- Ulbrich, K.; Hola, K.; Subr, V.; Bakandritsos, A.; Tucek, J.; Zboril, R. Targeted drug delivery with polymers and magnetic nanoparticles: Covalent and noncovalent approaches, release control, and clinical studies. Chem. Rev. 2016, 116, 5338–5431. [Google Scholar] [CrossRef]
- Patri, A.K.; Kukowska-Latallo, J.F.; Baker, J.R. Targeted drug delivery with dendrimers: Comparison of the release kinetics of covalently conjugated drug and non-covalent drug inclusion complex. Adv. Drug Deliv. Rev. 2005, 57, 2203–2214. [Google Scholar] [CrossRef] [PubMed]
- Yang, X.; Zhang, X.; Ma, Y.; Huang, Y.; Wang, Y.; Chen, Y. Superparamagnetic graphene oxide-Fe3O4 nanoparticles hybrid for controlled targeted drug carriers. J. Mater. Chem. 2009, 19, 2710–2714. [Google Scholar] [CrossRef]
- Yang, J.H.; Ramaraj, B.; Yoon, K.R. Preparation and characterization of superparamagnetic graphene oxide nanohybrids anchored with Fe3O4 nanoparticles. J. Alloys Compd. 2014, 583, 128–133. [Google Scholar] [CrossRef]
- Chen, Y.; Xu, P.; Shu, Z.; Wu, M.; Wang, L.; Zhang, S.; Zheng, Y.; Chen, H.; Wang, J.; Li, Y.; et al. Multifunctional graphene oxide-based triple stimuli-responsive nanotheranostics. Adv. Funct. Mater. 2014, 24, 4386–4396. [Google Scholar] [CrossRef]
- Chen, W.; Yi, P.; Zhang, Y.; Zhang, L.; Deng, Z.; Zhang, Z. Composites of aminodextran-coated Fe3O4 nanoparticles and graphene oxide for cellular magnetic resonance imaging. ACS Appl. Mater. Interfaces 2011, 3, 4085–4091. [Google Scholar] [CrossRef] [PubMed]
- Urbas, K.; Aleksandrzak, M.; Jedrzejczak, M.; Jedrzejczak, M.; Rakoczy, R.; Chen, X.; Mijowska, E. Chemical and magnetic functionalization of graphene oxide as a route to enhance its biocompatibility. Nanoscale Res. Lett. 2014, 9, 656. [Google Scholar] [CrossRef] [PubMed]
- Karthika, V.; AlSalhi, M.S.; Devanesan, S.; Gopinath, K.; Arumugam, A.; Govindarajan, M. Chitosan overlaid Fe3O4/rGO nanocomposite for targeted drug delivery, imaging, and biomedical applications. Sci. Rep. 2020, 10, 18912. [Google Scholar] [CrossRef]
- Chaudhari, N.S.; Pandey, A.P.; Patil, P.O.; Tekade, A.R.; Bari, S.B.; Deshmukh, P.K. Graphene oxide based magnetic nanocomposites for efficient treatment of breast cancer. Mater. Sci. Eng. C 2014, 37, 278–285. [Google Scholar] [CrossRef]
- Shen, J.M.; Huang, G.; Zhou, X.; Zou, J.; Yang, Y.; Chena, Y.F.; Mena, S.K. Safety evaluation of graphene oxide-based magnetic nanocomposites as MRI contrast agents and drug delivery vehicles. RSC Adv. 2014, 4, 50464. [Google Scholar] [CrossRef]
- Gade, N.E.; Dar, R.M.; Mishra, O.P.; Khan, J.R.; Kumar, V.; Patyal, A. Evaluation of dose-dependent cytotoxic effects of graphene oxide-iron oxide nanocomposite on caprine Wharton’s jelly derived mesenchymal stem cells. J. Anim. Res. 2015, 5, 415–421. [Google Scholar] [CrossRef]
- Legarza, K.; Yang, L.X. New molecular mechanisms of action of camptothecin-type drugs. Anticancer Res. 2006, 26, 3301–3305. [Google Scholar]
- Liu, L.F.; Desai, S.D.; Li, T.K.; Mao, Y.; Sun, M.; Sim, S.P. Mechanism of action of camptothecin. Ann. N. Y. Acad. Sci. 2000, 922, 1–10. [Google Scholar] [CrossRef] [PubMed]
- Li, K.; Li, Y.; Wang, L.; Yang, L.; Ye, B. Study the voltammetric behaviour of 10-hydroxycamptothecin and its sensitive determination at electrochemically reduced graphene oxide modified glass carbon electrode. Arab. J. Chem. 2015, 76, 2732–2739. [Google Scholar]
- Chu, C.; Xu, J.; Cheng, D.; Li, X.; Tong, S.; Yan, J.; Li, Q. Anti-proliferative and apoptosis-inducing effects ofcamptothecin-20(s)-O-(2-pyrazolyl-1)acetic ester in human breast tumor MCF-7 cells. Molecules 2014, 19, 4941–4955. [Google Scholar] [CrossRef] [PubMed]
- Yount, G.; Yang, Y.; Wong, B.; Wang, H.J.; Yang, L.X. A novel campthotecin analog with enhanced antitumor activity. Anticancer Res. 2007, 27, 3173–3178. [Google Scholar] [PubMed]
- Shen, J.M.; Gao, F.Y.; Guan, L.P.; Su, W.; Yang, Y.J.; Li, Q.R.; Jin, Z.C. Graphene oxide-Fe3O4 nanocomposite for combination of dual-drug chemotherapy with photothermal therapy. RSC Adv. 2014, 4, 18473–18484. [Google Scholar] [CrossRef]
- Camacho, K.M.; Kumar, S.; Menegatti, S.; Vogus, D.R.; Anselmo, A.C.; Mitragotri, S. Synergistic antitumor activity of camptothecin-doxorubicin combinations and their conjugates with hyaluronic acid. J. Control. Release 2015, 210, 198–207. [Google Scholar] [CrossRef]
- Zhao, Y.; Gao, J.; Sun, X.; Chen, H.; Wu, L.; Liang, W. Enhanced nuclear delivery and cytotoxic activity of hydroxycamptothecin using o/w emulsions. J. Pharm. Pharm. Sci. 2007, 10, 61–70. [Google Scholar]
- Bao, H.; Zhang, Q.; Xu, H.; Yan, Z. Effects of nanoparticle size on antitumor activity of 10-hydroxycamptothecin-conjugated gold nanoparticles: In Vitro and in vivo studies. Int. J. Nanomed. 2016, 11, 929–940. [Google Scholar]
- Siafaka, P.I.; Okur, N.Ü.; Karavas, E.; Bikiaris, D.N. Surface modified multifunctional and stimuli responsive nanoparticles for drug targeting: Current status and uses. Int. J. Mol. Sci. 2016, 17, 1440. [Google Scholar] [CrossRef] [PubMed]
- Qu, J.B.; Shao, H.H.; Jing, G.L.; Huang, F. PEG-chitosan-coated iron oxide nanoparticles with high saturated magnetization as carriers of 10-hydroxycamptothecin: Preparation, characterization and cytotoxicity studies. Colloids Surf. B 2013, 102, 37–44. [Google Scholar] [CrossRef] [PubMed]
- Zhang, G.; Ding, L.; Renegar, R.; Wang, X.M.; Lu, Q.; Huo, S.; Chen, Y.H. Hydroxycamptothecin-loaded Fe3O4 nanoparticles induce human lung cancer cell apoptosis through caspase-8 pathway activation and disrupt tight junctions. Cancer Sci. 2011, 102, 1216–1222. [Google Scholar] [CrossRef]
- Majeed, J.; Pradhan, L.; Ningthoujam, R.S.; Vatsa, R.K.; Bahadur, D.; Tyagi, A.K. Enhanced specific absorption rate in silanol functionalized Fe3O4 core-shell nanoparticles: Study of Fe leaching in Fe3O4 and hyperthermia in L929 and HeLa cells. J. Colloid Interface Sci. 2014, 122, 396–403. [Google Scholar]
- Chung, E.; Rylander, M.N. Response of preosteoblast to thermal stress condition and osteoinductive growth factors. Cell Stress Chaperones 2012, 17, 203–214. [Google Scholar] [CrossRef] [PubMed]
- Gkanas, E.I. In Vitro magnetic hyperthermia response of iron oxide MNP’s incorporated in DA3, MCF-7 and HeLa cancer cell lines. Cent. Eur. J. Chem. 2013, 11, 1042–1105. [Google Scholar] [CrossRef]
- Hristov, J.; Perez, H.V. Critical analysis of data concerning Saccharomyces cerevisiae free-cell proliferations and fermentations assisted by magnetic and electromagnetic fields. Int. Rev. Chem. Eng. 2011, 3, 3–20. [Google Scholar]
- Hildebrandt, B.; Wust, P.; Ahlers, O.; Dieing, A.; Sreenivasa, G.; Kerner, T.; Felix, R.; Reiss, H. The cellular and molecular basis of hyperthermia. Crit. Rev. Oncol. Hematol. 2002, 4, 33–56. [Google Scholar] [CrossRef]
- Tokalov, S.V.; Gutzeit, H.O. Weak electromagnetic fields (50 Hz) elicit a stress response in human cells. Environ. Res. 2004, 94, 145–151. [Google Scholar] [CrossRef]
- Marcano, D.C.; Kosynkin, D.V.; Berlin, J.M.; Sinitskii, A.; Sun, Z.; Slesarev, A.; Alemany, L.B.; Lu, W.; Tour, J.M. Improved synthesis of graphene oxide. ACS Nano 2010, 4, 4806–4814. [Google Scholar] [CrossRef]
- Urbas, K.; Jedrzejczak-Silicka, M.; Rakoczy, R.; Zaborski, D.; Mijowska, E. Effect of GO-Fe3O4 and rotating magnetic field on cellular metabolic activity of mammalian cells. J. Biomater. Appl. 2016, 30, 1392–1406. [Google Scholar] [CrossRef] [PubMed]
- Xu, Z.; Li, C.; Kang, X.; Yang, D.; Yang, P.; Hou, Z.; Lin, J. Synthesis of a multifunctional nanocomposite with magnetic, mesoporous, and near-IR absorption properties. Phys. Chem. C 2010, 114, 16343–16350. [Google Scholar] [CrossRef]
- Madrid, S.I.U.; Pal, U.; Jesús, F.S.-D. Controlling size and magnetic properties of Fe3O4 clusters in solvothermal process. Adv. Nano Res. 2014, 2, 187–198. [Google Scholar] [CrossRef]
- Barick, K.C.; Hassan, P.A. Glycine passivated Fe3O4 nanoparticles for thermal therapy. J. Colloid Interface Sci. 2012, 369, 96–102. [Google Scholar] [CrossRef] [PubMed]
- Feitoza, N.C.; Gonçalves, T.D.; Mesquita, J.J.; Menegucci, J.S.; Santos, M.-K.M.S.; Chaker, J.A.; Cunha, R.B.; Medeiros, A.M.M.; Rubim, J.C.; Sousa, M.H. Fabrication of glycine-functionalized maghemite nanoparticles for magnetic removal of copper from wastewater. J. Hazard. Mater. 2014, 264, 153–160. [Google Scholar] [CrossRef]
- Dreyer, D.R.; Park, S.; Bielawski, C.W.; Ruoff, R.S. The chemistry of graphene oxide. Chem. Soc. Rev. 2010, 39, 228. [Google Scholar] [CrossRef] [PubMed]
- Szabo, T.; Berkesi, O.; Forgo, P.; Josepovits, K.; Sanakis, Y.; Petridis, D.; Dekany, I. Evolution of Surface Functional Groups in a Series of Progressively Oxidized Graphite Oxides. Chem. Mater. 2006, 18, 2740. [Google Scholar] [CrossRef]
- Wu, W.; Li, R.; Bian, X.; Zhu, Z.; Ding, D.; Li, X.; Jia, Z.; Jiang, X.; Hu, Y. Covalently combining carbon nanotubes with anticancer agent: Preparation and antitumor activity. ACS Nano 2009, 3, 2740–2750. [Google Scholar] [CrossRef] [PubMed]
- Tyner, K.M.; Schiffman, S.R.; Giannelis, E.P. Nanobiohybrids as delivery vehicles for camptothecin. J. Control. Release 2004, 95, 501–514. [Google Scholar] [CrossRef]
- Verrax, J.; Buc, C.P. Comparison between the TC10™ automated cell counter and the lactate dehydrogenase (LDH) assay to assess cellular toxicity in vitro. Life Sci. Group 2011, 6087, 11-01230911. [Google Scholar]

















Disclaimer/Publisher’s Note: The statements, opinions and data contained in all publications are solely those of the individual author(s) and contributor(s) and not of MDPI and/or the editor(s). MDPI and/or the editor(s) disclaim responsibility for any injury to people or property resulting from any ideas, methods, instructions or products referred to in the content. |
© 2024 by the authors. Licensee MDPI, Basel, Switzerland. This article is an open access article distributed under the terms and conditions of the Creative Commons Attribution (CC BY) license (https://creativecommons.org/licenses/by/4.0/).
Share and Cite
Jedrzejczak-Silicka, M.; Szymańska, K.; Mijowska, E.; Rakoczy, R. The Influence of Graphene Oxide-Fe3O4 Differently Conjugated with 10-Hydroxycampthotecin and a Rotating Magnetic Field on Adenocarcinoma Cells. Int. J. Mol. Sci. 2024, 25, 930. https://doi.org/10.3390/ijms25020930
Jedrzejczak-Silicka M, Szymańska K, Mijowska E, Rakoczy R. The Influence of Graphene Oxide-Fe3O4 Differently Conjugated with 10-Hydroxycampthotecin and a Rotating Magnetic Field on Adenocarcinoma Cells. International Journal of Molecular Sciences. 2024; 25(2):930. https://doi.org/10.3390/ijms25020930
Chicago/Turabian StyleJedrzejczak-Silicka, Magdalena, Karolina Szymańska, Ewa Mijowska, and Rafał Rakoczy. 2024. "The Influence of Graphene Oxide-Fe3O4 Differently Conjugated with 10-Hydroxycampthotecin and a Rotating Magnetic Field on Adenocarcinoma Cells" International Journal of Molecular Sciences 25, no. 2: 930. https://doi.org/10.3390/ijms25020930
APA StyleJedrzejczak-Silicka, M., Szymańska, K., Mijowska, E., & Rakoczy, R. (2024). The Influence of Graphene Oxide-Fe3O4 Differently Conjugated with 10-Hydroxycampthotecin and a Rotating Magnetic Field on Adenocarcinoma Cells. International Journal of Molecular Sciences, 25(2), 930. https://doi.org/10.3390/ijms25020930

