Interaction of Tri-Cyclic Nucleobase Analogs with Enzymes of Purine Metabolism: Xanthine Oxidase and Purine Nucleoside Phosphorylase
Abstract
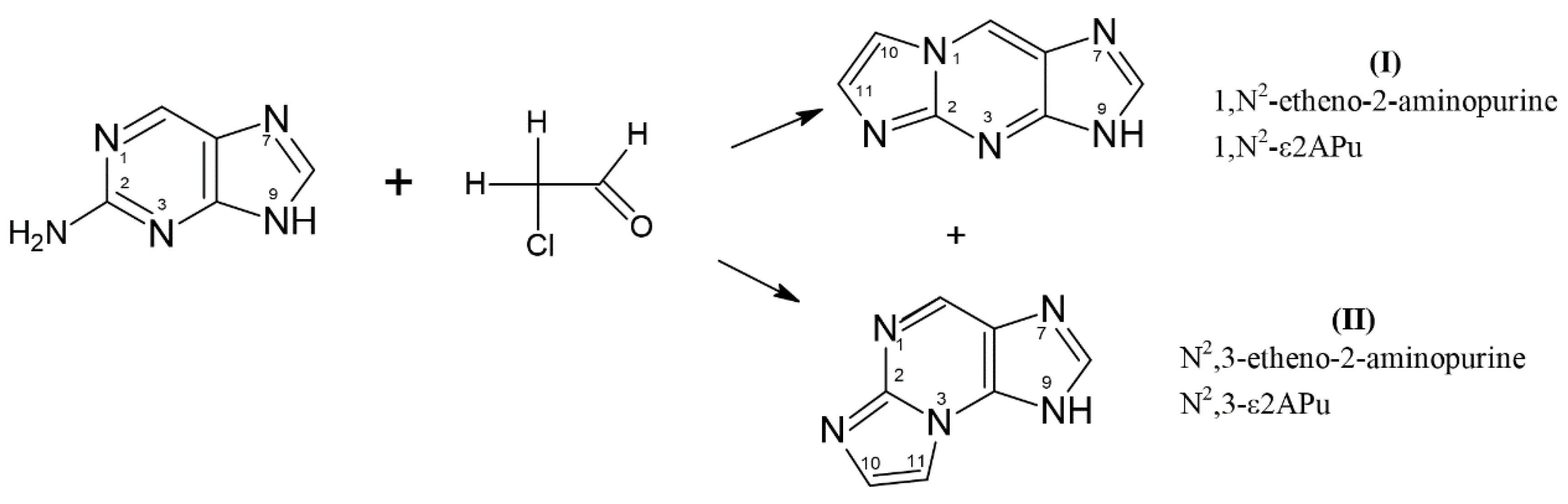
1. Introduction
2. Results
2.1. Purine Nucleoside Phosphorylase

2.1.1. Interaction of WT PNP and D204N-PNP with Etheno Derivatives of 2APu
2.1.2. Interaction of 1,N2-ε2APu with WT PNP and D204N-PNP from X-ray Diffraction
2.1.3. Interaction of N2,3-ε2APu with WT PNP and D204N-PNP from X-ray Diffraction
2.1.4. Interaction of 1,N2-ε2APu and N2,3-ε2APu with WT PNP by Isothermal Titration Calorimetry
2.2. Xanthine Oxidase
2.2.1. Attempt to Crystallize Xanthine Oxidase
2.2.2. Isothermal Titration Calorimetry
2.2.3. Purified Enzyme Reactions—Spectral Effects and Reaction Kinetics
2.2.4. Identification of the Product of the 1,N2-ε2APu Oxidation
2.2.5. Optimization of Oxidation Reaction Conditions
2.2.6. XO Activity in Milk
2.2.7. Enzyme Inhibition and Competition with Xanthine
3. Discussion
4. Materials and Methods
4.1. Enzymes, Chemicals, and Food Samples
4.2. Crystallization, Data Collection and Structure Determination
4.3. Enzyme Kinetics, Inhibition and Competition with Xanthine
4.4. Calorimetric Titrations
Supplementary Materials
Author Contributions
Funding
Institutional Review Board Statement
Informed Consent Statement
Data Availability Statement
Acknowledgments
Conflicts of Interest
Appendix A
Linearity of the Proposed Assay of XO

Appendix B
Substrate I Oxidation by Liver Homogenate

Appendix C
Data Collection and Refinement Parameters for the Crystal Structures of WT PNP and D204N-PNP with N2,3-ε2APu
| PDB ID | WT | D204N |
| 9FPE | 9FXE | |
| Data collection | ||
| Space group | P 61 2 2 | P 61 2 2 |
| Cell dimensions | ||
| a, b, c (Å) | 120.28, 120.28, 239.41 | 120.53, 120.53, 239.21 |
| α, β, γ (°) | 90.0 90.0 120.0 | 90.0 90.0 120.0 |
| Resolution (Å) | 48.03–1.60 (1.63–1.60) * | 47.9–2.12 (2.196–2.12) |
| No. of observations | 5,469,130 (275,823) | 2,391,009 (201,004) |
| No. unique reflections | 134,561(6595) | 59,360 (5825) |
| Rmerge | 0.170 (3.915) | 0.29 (3.43) |
| Rmeas | 0.172 (3.963) | 0.299 (3.481) |
| Rpim | 0.037 (0.831) | 0.0455 (0.587) |
| CC1/2 | 1.000 (0.840) | 0.999 (0.589) |
| Mean I/σ(I) | 16.8 (1.3) | 15.24 (1.15) |
| Completeness (%) | 100.0 (100.0) | 97.46 (100.00) |
| Multiplicity | 40.6 (34.7) | 40.3 (34.5) |
| Wilson B-factor | 23.33 | 38.38 |
| Refinement | ||
| Resolution (Å) | 48.03–1.6 (1.657–1.6) | 47.9–2.12 (2.196–2.12) |
| Rwork/Rfree | 0.18/0.20 | 0.21/0.23 |
| No. reflections all/free | 134,438/6675 | 57,889/2794 |
| Protein residues | 711 | 711 |
| Number of nonhydrogen atoms | ||
| protein | 5406 | 5391 |
| ligands (N2,3-ε2APu, SO4, glycerol) | 78 | 51 |
| water | 504 | 180 |
| Ramachandran | ||
| favored (%) | 97.73 | 96.03 |
| allowed (%) | 2.27 | 3.40 |
| outliers (%) | 0.00 | 0.57 |
| Clashscore | 1.55 | 2.30 |
| RMSD bonds (Å) | 0.007 | 0.007 |
| RMSD angles (°) | 0.95 | 0.88 |
References
- Leonard, N.J. Etheno-substituted nucleotides and coenzymes: Fluorescence and biological activity. Crit. Rev. Biochem. 1984, 15, 125–199. [Google Scholar] [CrossRef] [PubMed]
- Leonard, N.J. Adenylates: Bound and unbound. Biopolymers 1985, 24, 9–28. [Google Scholar] [CrossRef] [PubMed]
- Sinkeldam, R.W.; Greco, N.J.; Tor, Y. Fluorescent analogs of biomolecular building blocks: Design, properties, and applications. Chem. Rev. 2010, 110, 2579–2619. [Google Scholar] [CrossRef]
- Wilhelmsson, M.; Tor, Y. Fluorescent Analogues of Biomolecular Building Blocks: Design and Applications; John Wiley & Sons: New York, NY, USA, 2016. [Google Scholar]
- Jahnz-Wechmann, Z.; Framski, G.R.; Januszczyk, P.A.; Boryski, J. Bioactive fused heterocycles: Nucleoside analogs with an additional ring. Eur. J. Med. Chem. 2015, 97, 388–396. [Google Scholar] [CrossRef] [PubMed]
- Jahnz-Wechmann, Z.; Framski, G.R.; Januszczyk, P.A.; Boryski, J. Base-modified nucleosides: Etheno derivatives. Front. Chem. 2016, 4, 19–29. [Google Scholar] [CrossRef]
- Wang, D.; Shalamberidze, A.; Arguello, A.E.; Purse, B.W.; Kleiner, R.E. Live-cell RNA imaging with metabolically incorporated fluorescent nucleosides. J. Am. Chem. Soc. 2022, 144, 14647–14656. [Google Scholar] [CrossRef]
- Xu, W.; Ke Min, C.; Kool, E.T. Fluorescent nucleobases as tools for studying DNA and RNA. Nat. Chem. 2017, 9, 1043–1055. [Google Scholar] [CrossRef]
- Michel, B.Y.; Dziuba, D.; Benhida, R.; Demchenko, A.P.; Burger, A. Probing of nucleic acid structures, dynamics, and interactions with environment-sensitive fluorescent labels. Front. Chem. 2020, 8, 112. [Google Scholar] [CrossRef]
- Dziuba, D.; Didier, P.; Ciaco, S.; Barth, A.; Seidel, C.A.M.; Mély, Y. Fundamental photophysics of isomorphic and expanded fluorescent nucleoside analogues. Chem. Soc. Rev. 2021, 50, 7062–7107. [Google Scholar] [CrossRef]
- Saito, Y.; Hudson, R.H.E. Base-modified fluorescent purine nucleosides and nucleotides for use in oligonucleotide probes. J. Photochem. Photobiol. C Photochem. Rev. 2018, 36, 48–73. [Google Scholar] [CrossRef]
- Tor, Y. Isomorphic Fluorescent Nucleosides. Acc. Chem. Res. 2024, 57, 1325–1335. [Google Scholar] [CrossRef] [PubMed]
- Singh, H.; Tiwari, K.; Tiwari, R.; Pramanik, S.K.; Das, A. Small molecules as fluorescent probes for monitoring intracellular enzymatic transformations. Chem. Rev. 2019, 119, 11718–11760. [Google Scholar] [CrossRef] [PubMed]
- Zalejski, J.; Sun, J.; Sharma, A. Unravelling the Mystery inside Cells by Using Single-Molecule Fluorescence Imaging. J. Imaging 2023, 9, 192. [Google Scholar] [CrossRef] [PubMed]
- Stachelska-Wierzchowska, A.; Wierzchowski, J.; Bzowska, A.; Wielgus-Kutrowska, B. Tricyclic nitrogen base, 1,N6-ethenoadenine, and its ribosides, as substrates for purine-nucleoside phosphorylases: Spectroscopic and kinetic studies. Nucleos. Nucleot. Nucleic Acids 2018, 37, 89–101. [Google Scholar] [CrossRef]
- Stachelska-Wierzchowska, A.; Wierzchowski, J.; Górka, M.; Bzowska, A.; Wielgus-Kutrowska, B. Tricyclic nucleobase analogs and their ribosides as substrates of purine-nucleoside phosphorylases. II. Guanine and isoguanine derivatives. Molecules 2019, 24, 1493. [Google Scholar] [CrossRef]
- Stachelska-Wierzchowska, A.; Wierzchowski, J.; Górka, M.; Bzowska, A.; Stolarski, R.; Wielgus-Kutrowska, B. Tricyclic Nucleobase Analogs and Their Ribosides as Substrates and Inhibitors of Purine-Nucleoside Phosphorylases III. Aminopurine Derivatives. Molecules 2020, 25, 681. [Google Scholar] [CrossRef]
- Bzowska, A.; Kulikowska, E.; Shugar, D. Purine nucleoside phosphorylases: Properties, functions, and clinical aspects. Pharmacol. Therap. 2000, 88, 349–425. [Google Scholar] [CrossRef]
- Robak, T.; Robak, P. Purine nucleoside analogs in the treatment of rarer chronic lymphoid leukemias. Curr. Pharm. Des. 2012, 18, 3373–3388. [Google Scholar] [CrossRef]
- Ducati, R.G.; Namanja-Magliano, H.A.; Schramm, V.L. Transition-state inhibitors of purine salvage and other prospective enzyme targets in malaria. Future Med. Chem. 2013, 5, 1341–1360. [Google Scholar] [CrossRef]
- Bantia, S.; Parker, C.; Upshaw, R.; Cunningham, A.; Kotian, P.; Kilpatrick, J.M.; Morris, P.; Chand, P.; Babu, Y.S. Potent orally bioavailable purine nucleoside phosphorylase inhibitor BCX-4208 induces apoptosis in B- and T-lymphocytes—A novel treatment approach for autoimmune diseases, organ transplantation and hematologic malignancies. Int. Immunopharmacol. 2010, 10, 784–790. [Google Scholar] [CrossRef]
- Lewis, D.J.; Duvic, M. Forodesine in the treatment of cutaneous T-cell lymphoma. Expert Opin. Investig. Drugs 2017, 26, 771–775. [Google Scholar] [CrossRef] [PubMed]
- Evans, G.B.; Tyler, P.C.; Schramm, V.L. Immucillins in Infectious Diseases. ACS Infect. Dis. 2018, 4, 107–117. [Google Scholar] [CrossRef]
- Stachelska-Wierzchowska, A.; Wierzchowski, J. Non-typical nucleoside analogs as fluorescent and fluorogenic indicators of purine-nucleoside phosphorylase activity in biological samples. Anal. Chim. Acta 2020, 1139, 119–128. [Google Scholar] [CrossRef]
- Virta, P.; Holmstrom, T.; Roslund, M.U.; Mattjus, P.; Kronberg, L.; Sjoholm, R. New nucleoside analogs from 2-amino-9-(β-d-ribofuranosyl)-purine. Org. Biomol. Chem. 2004, 2, 821–827. [Google Scholar] [CrossRef]
- Kisker, C.; Schindelin, H.; Rees, D.C. Molybdenum-cofactor–containing enzymes: Structure, Mechanism. Annu. Rev. Biochem. 1997, 66, 233–267. [Google Scholar] [CrossRef] [PubMed]
- Hille, R. Xanthine Oxidase—A Personal History. Molecules 2023, 28, 1921. [Google Scholar] [CrossRef] [PubMed]
- Day, R.O.; Kamel, B.; Kannangara, D.R.W.; Williams, K.M.; Graham, G.G. Xanthine oxidoreductase and its inhibitors: Relevance for gout. Clin. Sci. 2016, 130, 2167–2180. [Google Scholar] [CrossRef]
- Battelli, M.G.; Polito, L.; Bortolotti, M.; Bolognesi, A. Xanthine Oxidoreductase in Drug Metabolism: Beyond a Role as a Detoxifying Enzyme. Curr. Med. Chem. 2016, 23, 4027–4036. [Google Scholar] [CrossRef]
- Bortolotti, M.; Polito, L.; Battelli, M.G.; Bolognesi, A. Xanthine oxidoreductase: One enzyme for multiple physiological tasks. Redox Biol. 2021, 41, 101882. [Google Scholar] [CrossRef]
- Kim-Shapiro, D.B.; Gladwin, M.T. Mechanisms of nitrite bioactivation. Nitric Oxide 2014, 38, 58–68. [Google Scholar] [CrossRef]
- Battelli, M.G.; Musiani, S.; Valgimigli, M.; Gramantieri, L.; Tomassoni, F.; Bolondi, L.; Stirpe, F. Serum xanthine oxidase in human liver disease. Am. J. Gastroent. 2001, 96, 1194–1199. [Google Scholar] [CrossRef] [PubMed]
- Yu, W.; Cheng, J.-D. Uric Acid, Cardiovascular Disease: An Update from Molecular Mechanism to Clinical Perspective. Front. Pharm. 2020, 11, 582680. [Google Scholar] [CrossRef] [PubMed]
- Tsuchihashi, T. Which is more important, xanthine oxidase activity or uric acid itself, in the risk for cardiovascular disease? Hypertens. Res. 2021, 44, 1543–1545. [Google Scholar] [CrossRef] [PubMed]
- Lopez-Iranzo, F.J.; Lopez-Rodas, A.M.; Franco, L.; Lopez-Rodas, G. Pentoxifylline, Oxypurinol: Potential Drugs to Prevent the “Cytokine Release (Storm) Syndrome” Caused by SARS-CoV-2? Curr. Pharm. Des. 2020, 26, 4515–4521. [Google Scholar] [CrossRef]
- Koellner, G.; Bzowska, A.; Wielgus-Kutrowska, B.; Luic, M.; Steiner, T.; Saenger, W.; Stepinski, J. Open and closed conformation of the E. coli purine nucleoside phosphorylase active center and implications for the catalytic mechanism. J. Mol. Biol. 2002, 315, 351–371. [Google Scholar] [CrossRef]
- Narczyk, M.; Mioduszewski, L.; Oksiejuk, A.; Winiewska-Szajewska, M.; Wielgus-Kutrowska, B.; Gojdz, A.; Ciesla, J.; Bzowska, A. Single tryptophan Y160W mutant of homooligomeric E. coli purine nucleoside phosphorylase implies that dimers forming the hexamer are functionally not equivalent. Sci. Rep. 2021, 11, 11144. [Google Scholar] [CrossRef]
- Liu, Y.; Zhang, W.; Han, B.; Zhang, L.; Zhou, P. Changes in bioactive milk serum proteins during milk powder processing. Food Chem. 2020, 314, 126177. [Google Scholar] [CrossRef]
- Cao, H.; Pauff, J.M.; Hille, R. X-ray crystal structure of a xanthine oxidase complex with the flavonoid inhibitor quercetin. J. Nat. Prod. 2014, 77, 1693–1699. [Google Scholar] [CrossRef]
- Ishikita, H.; Eger, B.T.; Okamoto, K.; Nishino, T.; Pai, E.F. Protein Conformational Gating of Enzymatic Activity in Xanthine Oxidoreductase. J. Am. Chem. Soc. 2012, 134, 999–1009. [Google Scholar] [CrossRef]
- Rodrigues, M.V.N.; Corrêa, R.S.; Vanzolini, K.L.; Santos, D.S.; Batista, A.A.; Cass, Q.B. Characterization and screening of tight binding inhibitors of xanthine oxidase: An on-flow assay. RSC Adv. 2015, 5, 37533–37538. [Google Scholar] [CrossRef]
- Mao, C.; Cook, W.J.; Zhou, M.; Koszalka, G.W.; A Krenitsky, T.; Ealick, S.E. The crystal structure of Escherichia coli purine nucleoside phosphorylase: A comparison with the human enzyme reveals a conserved topology. Structure 1997, 5, 1373–1383. [Google Scholar] [CrossRef] [PubMed]
- Zhao, H.; Piszczek, G.; Schuck, P. SEDPHAT—A platform for global ITC analysis and global multi-method analysis of molecular interactions. Methods 2015, 76, 137–148. [Google Scholar] [CrossRef] [PubMed]
- Banach, K.; Bojarska, E.; Kazimierczuk, Z.; Magnowska, L.; Bzowska, A. Kinetic model of oxidation catalyzed by xanthine oxidase—The final enzyme in degradation of purine nucleosides, nucleotides. Nucleos. Nucleot. Nucleic Acids 2005, 24, 465–469. [Google Scholar] [CrossRef]
- Spector, T.; Willard, W.; Hall, W.W.; Krenitsky, T.A. Human and bovine xanthine oxidases: Inhibition studies with oxipurinol. Biochem. Pharmacol. 1986, 35, 3109–3114. [Google Scholar] [CrossRef] [PubMed]
- Kaur, G.; Singh, A.; Arora, G.; Monga, A.; Jassal, A.K.; Uppal, J.; Bedi, P.M.S.; Bora, K.S. Synthetic heterocyclic derivatives as promising xanthine oxidase inhibitors: An overview. Chem. Biol. Drug Des. 2022, 100, 443–468. [Google Scholar] [CrossRef]
- Fateev, I.V.; Kharitonova, M.I.; Antonov, K.V.; Konstantinova, I.D.; Stepanenko, V.N.; Esipov, R.S.; Seela, F.; Temburnikar, K.W.; Seley-Radtke, K.L.; Stepchenko, V.A.; et al. Recognition of artificial nucleobases by E. coli purine nucleoside phosphorylase versus its Ser90Ala mutant in the synthesis of base-modified nucleosides. Chemistry 2015, 21, 13401–13419. [Google Scholar] [CrossRef] [PubMed]
- Yamamoto, T.; Moriwaki, Y.; Takahashi, S.; Tsutsumi, Z.; Yamakita, J.; Nasako, Y.; Hiroishi, K.; Higashino, K. Determination of human plasma xanthine oxidase activity by high-performance liquid chromatography. J. Chromatogr. B Biomed. Appl. 1996, 681, 395–400. [Google Scholar] [CrossRef]
- Murase, T.; Nampei, M.; Oka, M.; Ashizawa, N.; Matsumoto, K.; Miyachi, A.; Nakamura, T. Xanthine oxidoreductase activity assay in tissues using stable isotope-labeled substrate, liquid chromatography high-resolution mass spectrometry. J. Chromatogr. B 2016, 1008, 189–197. [Google Scholar] [CrossRef]
- Guilbault, G.G. (Ed.) Practical Fluorescence, 2nd ed.; Marcel Dekker: New York, NY, USA, 1990; Chapter 12. [Google Scholar]
- Zou, Z.; Bouchereau-De Pury, C.; Hewavitharana, A.K.; Al-Shehri, S.S.; Duley, J.A.; Cowley, D.M.; Koorts, P.; Shaw, P.N.; Bansal, N. A sensitive and high-throughput fluorescent method for determination of oxidase activities in human, bovine, goat and camel milk. Food Chem. 2021, 336, 127689. [Google Scholar] [CrossRef]
- Hille, R.; Hall, J.; Basu, P. The mononuclear molybdenum enzymes. Chem. Rev. 2014, 114, 3963–4038. [Google Scholar] [CrossRef]
- Mikleuševic, G.; Štefanic, Z.; Narczyk, M.; Wielgus-Kutrowska, B.; Bzowska, A.; Luic, M. Validation of the catalytic mechanism of Escherichia coli purine nucleoside phosphorylase by structural and kinetic studies. Biochimie 2011, 93, 1610–1622. [Google Scholar] [CrossRef] [PubMed]
- Breer, K.; Girstun, A.; Wielgus-Kutrowska, B.; Staron, K.; Bzowska, A. Overexpression, purification and characterization of functional calf purine nucleoside phosphorylase (PNP). Protein Expr. Purif. 2008, 61, 122–130. [Google Scholar] [CrossRef]
- Kabsch, W. XDS. Acta Crystallogr. D Biol. Crystallogr. 2010, 66, 125–132. [Google Scholar] [CrossRef] [PubMed]
- Winn, M.D.; Ballard, C.C.; Cowtan, K.D.; Dodson, E.J.; Emsley, P.; Evans, P.R.; Keegan, R.M.; Krissinel, E.B.; Leslie, A.G.; McCoy, A.; et al. Overview of the CCP4 suite and current developments. Acta Crystallogr. D Biol. Crystallogr. 2011, 67, 235–242. [Google Scholar] [CrossRef] [PubMed]
- Štefanić, Z.; Narczyk, M.; Mikleušević, G.; Kazazić, S.; Bzowska, A.; Luić, M. Crystallographic snapshots of ligand binding to hexameric purine nucleoside phosphorylase and kinetic studies give insight into the mechanism of catalysis. Sci. Rep. 2018, 8, 15427. [Google Scholar] [CrossRef] [PubMed]
- Kovalevskiy, O.; Nicholls, R.A.; Long, F.; Carlon, A.; Murshudov, G.N. Overview of Refinement Procedures within REFMAC5: Utilizing Data from Different Sources. Acta Crystallogr. D Biol. Crystallogr. 2018, 74, 215–227. [Google Scholar] [CrossRef] [PubMed]
- Emsley, P.; Lohkamp, B.; Scott, W.G.; Cowtan, K. Features and development of Coot. Acta Crystallogr D Biol Crystallogr. 2010, 66, 486–501. [Google Scholar] [CrossRef]
- Afonine, P.V.; Grosse-Kunstleve, R.W.; Echols, N.; Headd, J.J.; Moriarty, N.W.; Mustyakimov, M.; Terwilliger, T.C.; Urzhumtsev, A.; Zwart, P.H.; Adams, P.D. Towards Automated Crystallographic Structure Refinement with phenix.refine. Acta Crystallogr. D Biol. Crystallogr. 2012, 68, 352–367. [Google Scholar] [CrossRef]
- Scheuermann, T.H.; Brautigam, C.A. High-precision, automated integration of multiple isothermal titration calorimetric thermograms: New features of NITPIC. Methods 2015, 76, 87–98. [Google Scholar] [CrossRef]
- Beedham, C. Molybdenum hydroxylases as drug-metabolizing enzymes. Drug Metab. Rev. 1985, 16, 119–156. [Google Scholar] [CrossRef]
- Gajula, S.N.R.; Nathani, T.N.; Patil, R.M.; Talari, S.; Sonti, R. Aldehyde oxidase mediated drug metabolism: An underpredicted obstacle in drug discovery and development. Drug Metab. Rev. 2022, 54, 427–448. [Google Scholar] [CrossRef] [PubMed]














| Compound | Nucleobase | Riboside | Refs. | ||
|---|---|---|---|---|---|
| (Nucleobase) | [nm] | [nm] | |||
| 1,N2-ε2APu | 472 | 0.18 * | 463 a | 0.14 a | [17] |
| 406 b | ~0.7 b | [25] | |||
| N2,3-ε2APu | 406 | 0.73 | nd a | nd a | [17] |
| 357 b | 0.29 b | ||||
| Compound | pKa | Form (pH) | UV Absorption λmax (nm) (εmax) | Fluorescence λmax (nm) | Fluorescence Quantum Yield | Fluorescence Decay Time (ns) |
|---|---|---|---|---|---|---|
| 1,N2-ε2APu (I) | 5.6; 8.2 | neutral (6.8) | 348 (2560) | 465 | 0.17 ± 0.02 * | 6.9; 10.3 |
| anion (11.0) | 367 (3500) | 473 | ~0.4 | nd | ||
| Main oxidation product (Ia) | 5.65; 8.5 | neutral (7.1) | 295 (~6000) | 448 | 0.30 ± 0.03 * | nd |
| anion (10.5) | 298 (~5500) | 450 | 0.34 ± 0.03 | nd | ||
| (Ib) | ~2; 9.5 | neutral (7.0) | 287 (9700) | - | nf | - |
| anion (11.5) | 303 (7200) | 400 | <0.01 | nd | ||
| N2,3-ε2APu (II) | ~5.0; 9.5 | neutral (7.1) | 315 (5600) | 406 | 0.73 ± 0.05 | 3.8; 8.5 |
| Main oxidation product of N2,3-ε2APu | nd | neutral (7.0) | 322 (~5000) | 385 | >0.5 | nd |
Disclaimer/Publisher’s Note: The statements, opinions and data contained in all publications are solely those of the individual author(s) and contributor(s) and not of MDPI and/or the editor(s). MDPI and/or the editor(s) disclaim responsibility for any injury to people or property resulting from any ideas, methods, instructions or products referred to in the content. |
© 2024 by the authors. Licensee MDPI, Basel, Switzerland. This article is an open access article distributed under the terms and conditions of the Creative Commons Attribution (CC BY) license (https://creativecommons.org/licenses/by/4.0/).
Share and Cite
Stachelska-Wierzchowska, A.; Narczyk, M.; Wierzchowski, J.; Bzowska, A.; Wielgus-Kutrowska, B. Interaction of Tri-Cyclic Nucleobase Analogs with Enzymes of Purine Metabolism: Xanthine Oxidase and Purine Nucleoside Phosphorylase. Int. J. Mol. Sci. 2024, 25, 10426. https://doi.org/10.3390/ijms251910426
Stachelska-Wierzchowska A, Narczyk M, Wierzchowski J, Bzowska A, Wielgus-Kutrowska B. Interaction of Tri-Cyclic Nucleobase Analogs with Enzymes of Purine Metabolism: Xanthine Oxidase and Purine Nucleoside Phosphorylase. International Journal of Molecular Sciences. 2024; 25(19):10426. https://doi.org/10.3390/ijms251910426
Chicago/Turabian StyleStachelska-Wierzchowska, Alicja, Marta Narczyk, Jacek Wierzchowski, Agnieszka Bzowska, and Beata Wielgus-Kutrowska. 2024. "Interaction of Tri-Cyclic Nucleobase Analogs with Enzymes of Purine Metabolism: Xanthine Oxidase and Purine Nucleoside Phosphorylase" International Journal of Molecular Sciences 25, no. 19: 10426. https://doi.org/10.3390/ijms251910426
APA StyleStachelska-Wierzchowska, A., Narczyk, M., Wierzchowski, J., Bzowska, A., & Wielgus-Kutrowska, B. (2024). Interaction of Tri-Cyclic Nucleobase Analogs with Enzymes of Purine Metabolism: Xanthine Oxidase and Purine Nucleoside Phosphorylase. International Journal of Molecular Sciences, 25(19), 10426. https://doi.org/10.3390/ijms251910426

