A Combined Proteomic and Transcriptomic Signature Is Predictive of Response to Anti-PD-1 Treatment: A Retrospective Study in Metastatic Melanoma Patients
Abstract
1. Introduction
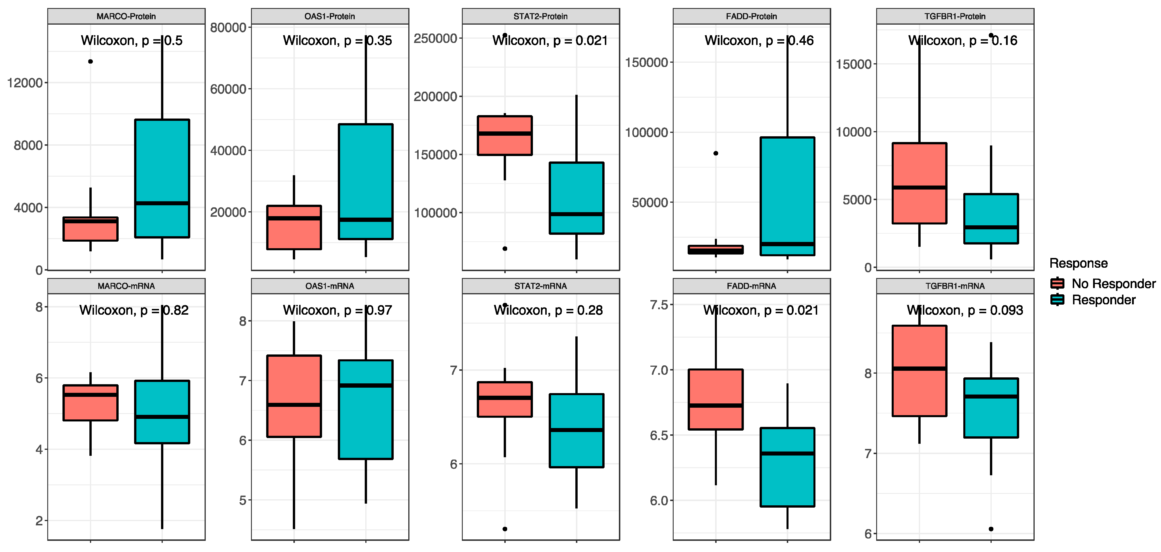
2. Results
3. Materials and Methods
3.1. Patients
3.2. Methods
3.2.1. Survival Outcomes Measures
3.2.2. Transcriptomic and Proteomic Analysis
3.2.3. Statistical Analysis
4. Discussion
Supplementary Materials
Author Contributions
Funding
Institutional Review Board Statement
Informed Consent Statement
Data Availability Statement
Acknowledgments
Conflicts of Interest
Abbreviations
| CR | complete response |
| FFPE | formalin-fixed and embedded in paraffin |
| ICI | immune checkpoint inhibitor |
| IQR | interquartile ranges |
| MSI | microsatellite instability |
| OS | Overall survival |
| PD | progressive disease |
| PFS | progression-free survival |
| PR | partial response |
| ROC | receiver operating characteristic |
| SD | stable disease |
| TMB | tumor mutational burden |
References
- Robert, C.; Schachter, J.; Long, G.V.; Arance, A.; Grob, J.J.; Mortier, L.; Daud, A.; Carlino, M.S.; McNeil, C.; Lotem, M.; et al. KEYNOTE-006 investigators. Pembrolizumab versus ipilimumab in advanced melanoma. N. Engl. J. Med. 2015, 372, 2521–2532. [Google Scholar] [CrossRef] [PubMed]
- Larkin, J.; Chiarion-Sileni, V.; Gonzalez, R.; Grob, J.J.; Rutkowski, P.; Lao, C.D.; Cowey, C.L.; Schadendorf, D.; Wagstaff, J.; Dummer, R.; et al. Five-year survival with combined nivolumab and ipilimumab in advanced melanoma. N. Engl. J. Med. 2019, 381, 1535–1546. [Google Scholar] [CrossRef] [PubMed]
- Wolchok, J.D.; Chiarion-Sileni, V.; Gonzalez, R.; Grob, J.J.; Rutkowski, P.; Lao, C.D.; Cowey, C.L.; Schadendorf, D.; Wagstaff, J.; Dummer, R.; et al. Long-term outcomes with nivolumab plus ipilimumab or nivolumab alone versus ipilimumab in patients with advanced melanoma. J. Clin. Oncol. 2022, 40, 127–137. [Google Scholar] [CrossRef] [PubMed]
- Sharma, P.; Hu-Lieskovan, S.; Wargo, J.A.; Ribas, A. Primary, adaptive, and acquired resistance to cancer immunotherapy. Cell 2017, 168, 707–723. [Google Scholar] [CrossRef]
- Splendiani, E.; Besharat, Z.M.; Covre, A.; Maio, M.; Di Giacomo, A.M.; Ferretti, E. Immunotherapy in melanoma: Can we predict response to treatment with circulating biomarkers? Pharmacol. Ther. 2024, 256, 108613. [Google Scholar] [CrossRef]
- Rozeman, E.A.; Hoefsmit, E.P.; Reijers, I.L.M.; Saw, R.P.M.; Versluis, J.M.; Krijgsman, O.; Dimitriadis, P.; Sikorska, K.; van de Wiel, B.A.; Eriksson, H.; et al. Survival and biomarker analyses from the OpACIN-neo and OpACIN neoadjuvant immunotherapy trials in stage III melanoma. Nat. Med. 2021, 27, 256–263. [Google Scholar] [CrossRef]
- Addeo, A.; Friedlaender, A.; Banna, G.L.; Weiss, G.J. TMB or not TMB as a biomarker: That is the question. Crit. Rev. Oncol. Hematol. 2021, 163, 103374. [Google Scholar] [CrossRef]
- Trilla-Fuertes, L.; Gámez-Pozo, A.; Prado-Vázquez, G.; López-Vacas, R.; Soriano, V.; Garicano, F.; Lecumberri, M.J.; Rodríguez de la Borbolla, M.; Majem, M.; Pérez-Ruiz, E.; et al. Multi-omics Characterization of Response to PD-1 Inhibitors in Advanced Melanoma. Cancers 2023, 15, 4407. [Google Scholar] [CrossRef] [PubMed] [PubMed Central]
- Bruderer, R.; Bernhardt, O.M.; Gandhi, T.; Xuan, Y.; Sondermann, J.; Schmidt, M.; Gomez-Varela, D.; Reiter, L. Optimization of experimental parameters in data-independent mass spectrometry significantly increases depth and reproducibility of results. Mol. Cell. Proteom. 2017, 16, 2296–2309. [Google Scholar] [CrossRef]
- Lê Cao, K.A.; Boitard, S.; Besse, P. Sparse PLS discriminant analysis, biologically relevant feature selection and graphical displays for multiclass problems. BMC Bioinform. 2011, 12, 253. [Google Scholar] [CrossRef]
- Mallardo, D.; Fordellone, M.; White, A.; Ottaviano, M.; Sparano, F.; Bailey, M.; Facchini, A.B.; Ong, S.; Maiolino, P.; Caracò, C.; et al. CD39 and LDHA affects the prognostic role of NLR in metastatic melanoma patients treated with immunotherapy. J. Transl. Med. 2023, 21, 610. [Google Scholar] [CrossRef] [PubMed]
- Mallardo, D.; Giannarelli, D.; Vitale, M.G.; Galati, D.; Trillò, G.; Esposito, A.; Isgrò, M.A.; D’Angelo, G.; Festino, L.; Vanella, V.; et al. Nivolumab serum concentration in metastatic melanoma patients could be related to outcome and enhanced immune activity, a gene profiling retrospective analysis. J. Immunother. Cancer 2022, 10, e005132. [Google Scholar] [CrossRef]
- Mallardo, D.; Simeone, E.; Vanella, V.; Vitale, M.G.; Palla, M.; Scarpato, L.; Paone, M.; De Cristofaro, T.; Borzillo, V.; Cortellini, A.; et al. Concomitant medication of cetirizine in advanced melanoma could enhance anti-PD-1 efficacy by promoting M1 macrophages polarization. J. Transl. Med. 2022, 20, 436. [Google Scholar] [CrossRef] [PubMed]
- Ayers, M.; Lunceford, J.; Nebozhyn, M.; Murphy, E.; Loboda, A.; Kaufman, D.R.; Albright, A.; Cheng, J.D.; Kang, S.P.; Shankaran, V.; et al. IFN-γ-related mRNA profile predicts clinical response to PD-1 blockade. J. Clin. Investig. 2017, 127, 2930–2940. [Google Scholar] [CrossRef] [PubMed]
- Lee, C.J.; An, H.J.; Cho, E.S.; Kang, H.C.; Lee, J.Y.; Lee, H.S.; Cho, Y.Y. Stat2 stability regulation, an intersection between immunity and carcinogenesis. Exp. Mol. Med. 2020, 52, 1526–1536. [Google Scholar] [CrossRef] [PubMed]
- Hardesty, W.M.; Kelley, M.C.; Mi, D.; Low, R.L.; Caprioli, R.M. Protein signatures for survival and recurrence in metastatic melanoma. J. Proteom. 2011, 74, 1002–1014. [Google Scholar] [CrossRef]
- Marín-Rubio, J.L.; Vela-Martín, L.; Fernández-Piqueras, J.; Villa-Morales, M. FADD in cancer, mechanisms of altered expression and function, and clinical implications. Cancers 2019, 11, 1462. [Google Scholar] [CrossRef]
- Chinnaiyan, A.M.; O’Rourke, K.; Tewari, M.; Dixit, V.M. FADD; a novel death domain-containing protein, interacts with the death domain of Fas and initiates apoptosis. Cell 1995, 81, 505–512. [Google Scholar] [CrossRef]
- Scott, F.L.; Stec, B.; Pop, C.; Dobaczewska, M.K.; Lee, J.J.; Monosov, E.; Robinson, H.; Salvesen, G.S.; Schwarzenbacher, R.; Riedl, S.J. The Fas-FADD death domain complex structure unravels signalling by receptor clustering. Nature 2009, 457, 1019–1022. [Google Scholar] [CrossRef]
- Wang, L.; Yang, J.K.; Kabaleeswaran, V.; Rice, A.J.; Cruz, A.C.; Park, A.Y.; Yin, Q.; Damko, E.; Jang, S.B.; Raunser, S.; et al. The Fas-FADD death domain complex structure reveals the basis of DISC assembly and disease mutations. Nat. Struct. Mol. Biol. 2010, 17, 1324–1329. [Google Scholar] [CrossRef]
- Carrington, P.E.; Sandu, C.; Wei, Y.; Hill, J.M.; Morisawa, G.; Huang, T.; Gavathiotis, E.; Wei, Y.; Werner, M.H. The structure of FADD and its mode of interaction with procaspase-8. Mol. Cell 2006, 22, 599–610. [Google Scholar] [CrossRef] [PubMed]
- Ikeda, H.; Old, L.J.; Schreiber, R.D. The roles of IFN gamma in protection against tumor development and cancer immunoediting. Cytokine Growth Factor Rev. 2002, 13, 95–109. [Google Scholar] [CrossRef] [PubMed]
- Periyasamy, T.; Ming-Wei, L.; Velusamy, S.; Ahamed, A.; Khan, J.M.; Pappuswamy, M.; Viswakethu, V. Functional characterization of Malabar grouper (Epinephelus malabaricus) interferon regulatory factor 9 involved in antiviral response. Int. J. Biol. Macromol. 2024, 266, 131282. [Google Scholar] [CrossRef] [PubMed]










| Characteristic | Response, n (%) | Overall (n = 22), n (%) | |
|---|---|---|---|
| Non-Responder (n = 10) † | Responder (n = 12) | ||
| Age | 66.00 (16.75) | 63.00 (28.50) † | 66.00 (23.25) † |
| Gender | |||
| 7.0 (70.0%) | 4.0 (33.3%) | 11.0 (50.0%) |
| 3.0 (30.0%) | 8.0 (66.7%) | 11.0 (50.0%) |
| BRAF | |||
| 2.0 (20.0%) | 5.0 (41.7%) | 7.0 (31.8%) |
| 8.0 (80.0%) | 7.0 (58.3%) | 15.0 (68.2%) |
| LDH class | |||
| 3.0 (30.0%) | 9.0 (75.0%) | 12.0 (54.5%) |
| 7.0 (70.0%) | 3.0 (25.0%) | 10.0 (45.5%) |
| M-Category | |||
| 0.0 (0.0%) | 0.0 (0.0%) | 0.0 (0.0%) |
| 2.0 (20.0%) | 4.0 (33.3%) | 6.0 (27.3%) |
| 1.0 (10.0%) | 2.0 (16.7%) | 3.0 (13.6%) |
| 7.0 (70.0%) | 6.0 (50.0%) | 13.0 (59.1%) |
| CNS | |||
| 5.0 (50.0%) | 12.0 (100.0%) | 17.0 (77.3%) |
| 5.0 (50.0%) | 0.0 (0.0%) | 5.0 (22.7%) |
| Treatment | |||
| 9.0 (90.0%) | 7.0 (58.3%) | 16.0 (72.7%) |
| 1.0 (10.0%) | 5.0 (41.7%) | 6.0 (27.3%) |
Disclaimer/Publisher’s Note: The statements, opinions and data contained in all publications are solely those of the individual author(s) and contributor(s) and not of MDPI and/or the editor(s). MDPI and/or the editor(s) disclaim responsibility for any injury to people or property resulting from any ideas, methods, instructions or products referred to in the content. |
© 2024 by the authors. Licensee MDPI, Basel, Switzerland. This article is an open access article distributed under the terms and conditions of the Creative Commons Attribution (CC BY) license (https://creativecommons.org/licenses/by/4.0/).
Share and Cite
Mallardo, D.; Fordellone, M.; White, A.; Vowinckel, J.; Bailey, M.; Sparano, F.; Sorrentino, A.; Mallardo, M.; Facchini, B.A.; De Filippi, R.; et al. A Combined Proteomic and Transcriptomic Signature Is Predictive of Response to Anti-PD-1 Treatment: A Retrospective Study in Metastatic Melanoma Patients. Int. J. Mol. Sci. 2024, 25, 9345. https://doi.org/10.3390/ijms25179345
Mallardo D, Fordellone M, White A, Vowinckel J, Bailey M, Sparano F, Sorrentino A, Mallardo M, Facchini BA, De Filippi R, et al. A Combined Proteomic and Transcriptomic Signature Is Predictive of Response to Anti-PD-1 Treatment: A Retrospective Study in Metastatic Melanoma Patients. International Journal of Molecular Sciences. 2024; 25(17):9345. https://doi.org/10.3390/ijms25179345
Chicago/Turabian StyleMallardo, Domenico, Mario Fordellone, Andrew White, Jakob Vowinckel, Michael Bailey, Francesca Sparano, Antonio Sorrentino, Mario Mallardo, Bianca Arianna Facchini, Rosaria De Filippi, and et al. 2024. "A Combined Proteomic and Transcriptomic Signature Is Predictive of Response to Anti-PD-1 Treatment: A Retrospective Study in Metastatic Melanoma Patients" International Journal of Molecular Sciences 25, no. 17: 9345. https://doi.org/10.3390/ijms25179345
APA StyleMallardo, D., Fordellone, M., White, A., Vowinckel, J., Bailey, M., Sparano, F., Sorrentino, A., Mallardo, M., Facchini, B. A., De Filippi, R., Ferrara, G., Vanella, V., Beeler, K., Chiodini, P., Cesano, A., Warren, S., & Ascierto, P. A. (2024). A Combined Proteomic and Transcriptomic Signature Is Predictive of Response to Anti-PD-1 Treatment: A Retrospective Study in Metastatic Melanoma Patients. International Journal of Molecular Sciences, 25(17), 9345. https://doi.org/10.3390/ijms25179345

