Circadian Rhythm and Nitrogen Metabolism Participate in the Response of Boron Deficiency in the Root of Brassica napus
Abstract
1. Introduction
2. Results
2.1. Downregulation of BnaA3.NIP5;1 Deforms B. napus Root Architecture under Boron-Deficient Conditions
2.2. Transcriptome Analysis
2.3. GO Functions and KEGG Pathway Analysis of DEGs
2.4. Circadian Rhythm-Plant Genes Are Responsive to Boron Deficiency in Root Tips
2.5. Expression of Circadian-Rhythm-Related Genes Alters Low-B Sensitivity in Arabidopsis Roots
2.6. B Deficiency Impairs Nitrogen Uptake and Assimilation in B. napus
3. Discussion
4. Materials and Methods
4.1. Plant Materials and Cultivation
4.2. Characterization of Root Growth
4.3. RNA-seq Data Analysis
4.4. Identification of Differential Expression Gene
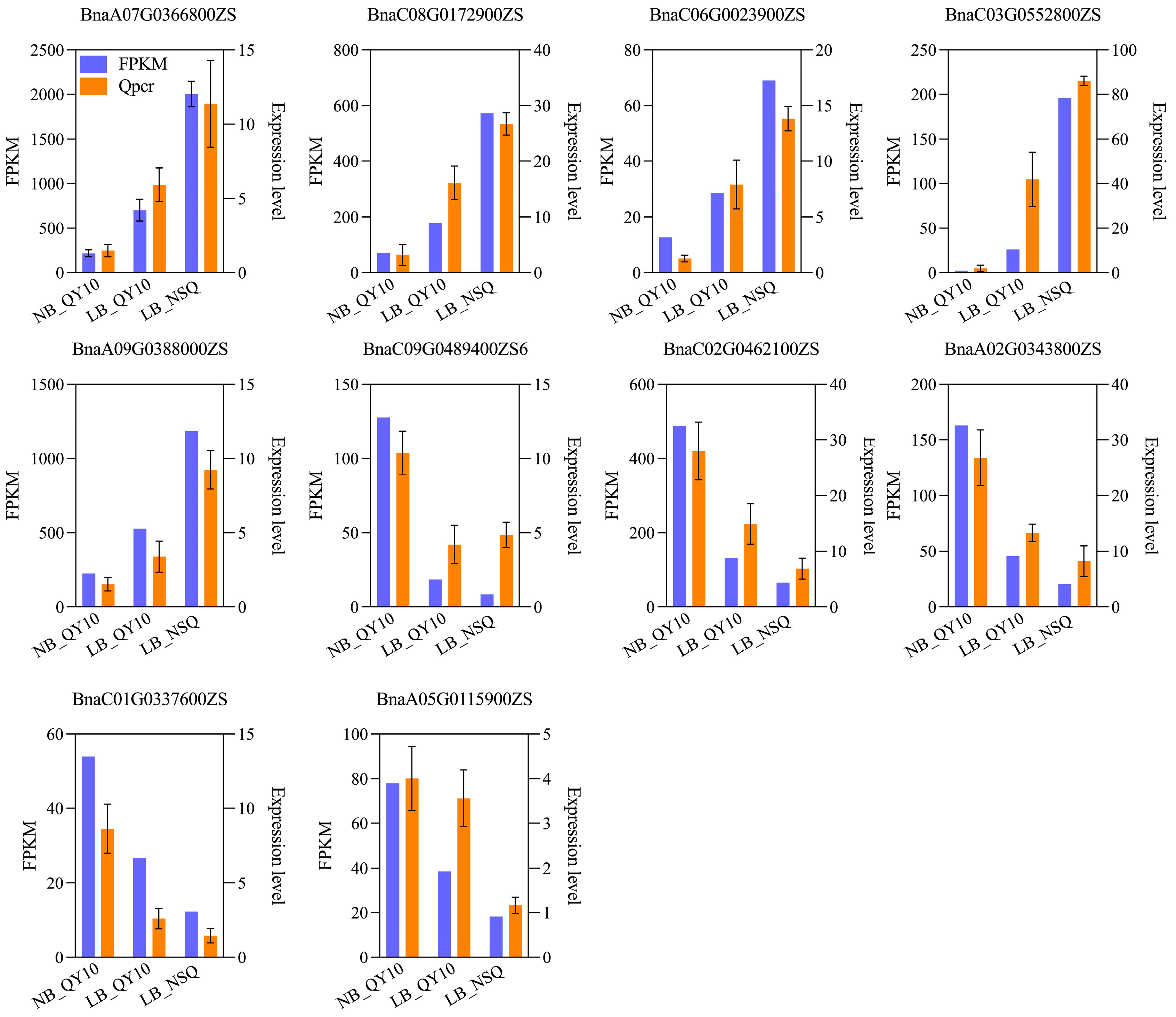
4.5. Validation of Transcriptome Data
4.6. Functional Annotation and Gene Ontology and Kyoto Encyclopedia of Genes and Genomes Classification
4.7. Histochemical GUS Staining
4.8. Determination of Nitrogen in Plants
4.9. Enzyme Activity Assay
4.10. Statistical Analysis
Supplementary Materials
Author Contributions
Funding
Institutional Review Board Statement
Informed Consent Statement
Data Availability Statement
Acknowledgments
Conflicts of Interest
References
- Nable, R.; Banuelos, G.; Paull, J. Boron toxicity. Plant Soil 1997, 193, 181–198. [Google Scholar] [CrossRef]
- Rerkasem, B.; Jamjod, S.; Pusadee, T. Productivity limiting impacts of boron deficiency, a review. Plant Soil 2020, 455, 23–40. [Google Scholar] [CrossRef]
- Liu, G.; Wang, R.; Liu, L.; Wu, L.; Jiang, C. Cellular boron allocation and pectin composition in two citrus rootstock seedlings differing in boron-deficiency response. Plant Soil 2013, 370, 555–565. [Google Scholar] [CrossRef]
- Chen, M.; Mishra, S.; Heckathorn, S.; Frantz, J.; Krause, C. Proteomic analysis of Arabidopsis thaliana leaves in response to acute boron deficiency and toxicity reveals effects on photosynthesis, carbohydrate metabolism, and protein synthesis. J. Plant Physiol. 2014, 171, 235–1617. [Google Scholar] [CrossRef] [PubMed]
- Camacho-Cristóbal, J.; Rexach, J.; González-Fontes, A. Boron in plants: Deficiency and toxicity. J. Integr. Plant Biol. 2008, 50, 1247–1255. [Google Scholar] [CrossRef] [PubMed]
- Uluisik, I.; Karakaya, H.; Koc, A. The importance of boron in biological systems. J. Trace Elem. Med. Biol. 2018, 45, 156–162. [Google Scholar] [CrossRef] [PubMed]
- Reid, R. Understanding the boron transport network in plants. Plant Soil 2014, 385, 1–13. [Google Scholar] [CrossRef]
- Huang, Y.; Wang, S.; Shi, L.; Xu, F. JASMONATE RESISTANT 1 negatively regulates root growth under boron deficiency in Arabidopsis. J. Exp. Bot. 2021, 72, 3108–3121. [Google Scholar] [CrossRef] [PubMed]
- Martín-Rejano, E.; Camacho-Cristóbal, J.; Herrera-Rodríguez, M.; Rexach, J.; Navarro-Gochicoa, M.; González-Fontes, A. Auxin and ethylene are involved in the responses of root system architecture to low boron supply in Arabidopsis seedlings. Physiol. Plantarum 2011, 142, 170–178. [Google Scholar] [CrossRef]
- Ryden, P.; Sugimoto-Shirasu, K.; Smith, A.; Findlay, K.; Reiter, W.; McCann, M. Tensile Properties of Arabidopsis Cell Walls Depend on Both a Xyloglucan Cross-Linked Microfibrillar Network and Rhamnogalacturonan II-Borate Complexes1. Plant Physiol. 2003, 132, 1033–1040. [Google Scholar] [CrossRef]
- Zhang, C.; He, M.; Wang, S.; Chu, L.; Wang, C.; Yang, N.; Ding, G.; Cai, H.; Shi, L.; Xu, F. Boron deficiency-induced root growth inhibition is mediated by brassinosteroid signalling regulation in Arabidopsis. Plant J. 2021, 107, 564–578. [Google Scholar] [CrossRef]
- Takano, J.; Wada, M.; Ludewig, U.; Schaaf, G.; von Wirén, N.; Fujiwara, T. The Arabidopsis major intrinsic protein NIP5;1 is essential for efficient boron uptake and plant development under boron limitation. Plant Cell 2006, 18, 1498–1509. [Google Scholar] [CrossRef] [PubMed]
- Takano, J.; Tanaka, M.; Toyoda, A.; Miwa, K.; Kasai, K.; Fuji, K.; Onouchi, H.; Naito, S.; Fujiwara, T. Polar localization and degradation of Arabidopsis boron transporters through distinct trafficking pathways. Proc. Natl. Acad. Sci. USA 2010, 107, 5220–5225. [Google Scholar] [CrossRef]
- He, M.; Wang, S.; Zhang, C.; Liu, L.; Zhang, J.; Qiu, S.; Wang, H.; Yang, G.; Xue, S.; Shi, L.; et al. Genetic variation of BnaA3.NIP5;1 expressing in the lateral root cap contributes to boron deficiency tolerance in Brassica napus. PLoS Genet. 2021, 17, e1009661. [Google Scholar] [CrossRef]
- Liu, W.; Xu, F.; Ye, X.; Cai, H.; Shi, L.; Wang, S. BnaC4.BOR2 mediates boron uptake and translocation in Brassica napus under boron deficiency. Plant Cell Environ. 2024; early view. [Google Scholar]
- Matsuzaki, Y.; Ogawa-Ohnishi, M.; Mori, A.; Matsubayashi, Y. Secreted peptide signals required for maintenance of root stem cell niche in Arabidopsis. Science 2010, 329, 1065–1067. [Google Scholar] [CrossRef] [PubMed]
- Wang, L.; Zhou, A.; Li, J.; Yang, M.; Bu, F.; Ge, L.; Chen, L.; Huang, W. Circadian rhythms driving a fast-paced root clock implicate species-specific regulation in Medicago truncatula. J. Integr. Plant Biol. 2021, 63, 1537–1554. [Google Scholar] [CrossRef] [PubMed]
- Gould, P.; Domijan, M.; Greenwood, M.; Tokuda, I.; Rees, H.; Kozma-Bognar, L.; Hall, A.; Locke, J. Coordination of robust single cell rhythms in the Arabidopsis circadian clock via spatial waves of gene expression. eLife 2018, 7, e31700. [Google Scholar] [CrossRef]
- Hermans, C.; Hammond, J.; White, P.; Verbruggen, N. How do plants respond to nutrient shortage by biomass allocation? Trends Plant Sci. 2006, 11, 610–617. [Google Scholar] [CrossRef] [PubMed]
- Ötvös, K.; Marconi, M.; Vega, A.; O’Brien, J.; Johnson, A.; Abualia, R.; Antonielli, L.; Montesinos, J.; Zhang, Y.; Tan, S.; et al. Modulation of plant root growth by nitrogen source-defined regulation of polar auxin transport. EMBO J. 2021, 40, e106862. [Google Scholar] [CrossRef]
- Chalhoub, B.; Liu, S.; Parkin, I.; Tang, H.; Wang, X.; Chiquet, J.; Belcram, H.; Tong, C.; Samans, B.; Correa, M.; et al. Early allopolyploid evolution in the post-Neolithic Brassica napus oilseed genome. Science 2014, 345, 950–959. [Google Scholar] [CrossRef]
- Zhang, D.; Zhao, H.; Shi, L.; Xu, F. Physiological and genetic responses to boron deficiency in Brassica napus: A review. Soil Sci. Plant Nutr. 2014, 60, 304–313. [Google Scholar] [CrossRef]
- Kobayashi, M.; Miyamoto, M.; Matoh, T.; Kitajima, S.; Hanano, S.; Sumerta, I.N.; Shibata, D. Mechanism underlying rapid responses to boron deprivation in Arabidopsis roots. Soil Sci. Plant Nutr. 2017, 64, 106–115. [Google Scholar] [CrossRef]
- Funakawa, H.; Miwa, K. Synthesis of borate cross-linked rhamnogalacturonan II. Front. Plant Sci. 2015, 6, 223. [Google Scholar] [CrossRef] [PubMed]
- Peng, L.; Zeng, C.; Shi, L.; Cai, H.; Xu, F. Transcriptional profiling reveals adaptive responses to boron deficiency stress in Arabidopsis. Z. Naturforsch. C J. Biosci. 2012, 67, 510–524. [Google Scholar] [PubMed]
- Pereira, G.; Siqueira, J.; Batista-Silva, W.; Cardoso, F.; Nunes-Nesi, A.; Araújo, W. Boron: More than an essential element for land plants? Front. Plant Sci. 2021, 11, 610307. [Google Scholar] [CrossRef] [PubMed]
- Kasajima, I.; Ide, Y.; Yokota Hirai, M.; Fujiwara, T. WRKY6 is involved in the response to boron deficiency in Arabidopsis thaliana. Physiol. Plant. 2010, 139, 80–92. [Google Scholar] [CrossRef] [PubMed]
- Brown, P.; Bellaloui, N.; Wimmer, M.; Bassil, E.; Ruiz, J.; Hu, H.; Pfeffer, H.; Dannel, F.; Römheld, V. Boron in plant biology. Plant Biol. 2002, 4, 205–223. [Google Scholar] [CrossRef]
- Minambres, B.; Olivera, E.; Jensen, R.; Luengo, J. A New Class of Glutamate Dehydrogenases (GDH). J. Biol. Chem. 2000, 275, 39529–39542. [Google Scholar] [CrossRef] [PubMed]
- Mahmoud, M.S.; Abdalla, A.; El-Sayed, F.; El-Nour, A.; Aly EA, M.; El-Saady, E.S.; Mohamed, A.K. Boron/Nitrogen interaction eeffect on growth and yield of faba bean plants grown under sandy soil conditions. Int. J. Approx Reason. 2006, 1, 322–330. [Google Scholar]
- Bielski, S.; Romaneckas, K.; Šarauskis, E. Impact of nitrogen and boron fertilization on winter triticale productivity parameters. Agron. J. 2020, 10, 279. [Google Scholar] [CrossRef]
- Wang, Y.; Zhao, Z.; Wang, S.; Shi, L.; Ding, G.; Xu, F. Boron mediates nitrogen starvation-induced leaf senescence by regulating ROS production and C/N balance in Brassica napus. Environ. Exp. Bot. 2022, 200, 104905. [Google Scholar] [CrossRef]
- Wang, Y.; Zhao, Z.; Wang, S.; Shi, L.; Xu, F. Genotypic differences in the synergistic effect of nitrogen and boron on the seed yield and nitrogen use efficiency of Brassica napus. J. Sci. Food Agric. 2022, 102, 3563–3571. [Google Scholar] [CrossRef]
- McClung, C. Plant circadian rhythms. Plant Cell 2006, 18, 792–803. [Google Scholar] [CrossRef]
- Greenham, K.; McClung, C. Integrating circadian dynamics with physiological processes in plants. Nat. Rev. Genet. 2015, 16, 598–610. [Google Scholar] [CrossRef]
- Hennessey, T.; Field, C. Circadian rhythms in photosynthesis: Oscillations in carbon assimilation and stomatal conductance under constant conditions. Plant Physiol. 1991, 96, 831–836. [Google Scholar] [CrossRef] [PubMed]
- Webb, A. The physiology of circadian rhythms in plants. New Phytol. 2003, 160, 281–303. [Google Scholar] [CrossRef]
- Alabadí, D.; Yanovsky, M.; Más, P.; Harmer, S. Kay SA. Critical role for CCA1 and LHY in maintaining circadian rhythmicity in Arabidopsis. Curr. Biol. 2002, 12, 757–761. [Google Scholar] [CrossRef] [PubMed]
- Venkat, A.; Muneer, S. Role of circadian rhythms in major plant metabolic and signaling pathways. Front. Plant Sci. 2022, 13, 836244. [Google Scholar] [CrossRef]
- Oyama, T.; Shimura, Y.; Okada, K. The Arabidopsis HY5 gene encodes a bZIP protein that regulates stimulus-induced development of root and hypocotyl. Genes Dev. 1997, 11, 2983–2995. [Google Scholar] [CrossRef]
- Ang, L.; Chattopadhyay, S.; Wei, N.; Oyama, T.; Okada, K.; Batschauer, A.; Deng, X. Molecular interaction between COP1 and HY5 defines a regulatory switch for light control of Arabidopsis development. Mol. Cell 1998, 1, 213–222. [Google Scholar] [CrossRef]
- Yang, Y.; Liang, T.; Zhang, L.; Shao, K.; Gu, X.; Shang, R.; Shi, N.; Li, X.; Zhang, P.; Liu, H. UVR8 interacts with WRKY36 to regulate HY5 transcription and hypocotyl elongation in Arabidopsis. Nat. Plants 2018, 4, 98–107. [Google Scholar] [CrossRef] [PubMed]
- Li, J.; Terzaghi, W.; Gong, Y.; Li, C.; Ling, J.; Fan, Y.; Qin, N.; Gong, X.; Zhu, D.; Deng, X. Modulation of BIN2 kinase activity by HY5 controls hypocotyl elongation in the light. Nat. Commun. 2020, 11, 1592. [Google Scholar] [CrossRef] [PubMed]
- Zhang, Y.; Wang, C.; Xu, H.; Shi, X.; Zhen, W.; Hu, Z.; Huang, J.; Zheng, Y.; Huang, P.; Zhang, K.; et al. HY5 contributes to light-regulated root system architecture under a root-covered culture system. Front. Plant Sci. 2019, 10, 1490. [Google Scholar] [CrossRef] [PubMed]
- Li, J.; Zeng, J.; Tian, Z.; Zhao, Z. Root-specific photoreception directs early root development by HY5-regulated ROS balance. Proc. Natl. Acad. Sci. USA 2024, 121, e2313092121. [Google Scholar] [CrossRef]
- Zheng, Z.; Wang, Z.; Wang, X.; Liu, D. Blue light-triggered chemical reactions underlie phosphate deficiency-induced inhibition of root elongation of Arabidopsis seedlings grown in Petri dishes. Mol. Plant 2019, 12, 1515–1523. [Google Scholar] [CrossRef]
- Liu, Z.; Giehl, R.; Bienert, M.; von Wirén, N.; Bienert, G. Light-triggered reactions do not bias boron deficiency-induced root inhibition of Arabidopsis seedlings grown in Petri dishes. Mol. Plant 2021, 14, 1211–1214. [Google Scholar] [CrossRef] [PubMed]
- Strayer, C.; Oyama, T.; Schultz, T.; Raman, R.; Somers, D.; Más, P.; Panda, S.; Kreps, J.; Kay, S. Cloning of the Arabidopsis clock gene TOC1, an autoregulatory response regulator homolog. Science 2000, 289, 768–771. [Google Scholar] [CrossRef] [PubMed]
- Makino, S.; Matsushika, A.; Kojima, M.; Yamashino, T.; Mizuno, T. The APRR1/TOC1 quintet implicated in circadian rhythms of Arabidopsis thaliana: I. Characterization with APRR1-overexpressing plants. Plant Cell Physiol. 2002, 43, 58–69. [Google Scholar] [CrossRef]
- Cervela-Cardona, L.; Yoshida, T.; Zhang, Y.; Okada, M.; Fernie, A.; Mas, P. Circadian Control of metabolism by the clock component TOC1. Front. Plant Sci. 2021, 12, 683516. [Google Scholar] [CrossRef]
- Fowler, S.; Thomashow, M. Arabidopsis transcriptome profiling indicates that multiple regulatory pathways are activated during cold acclimation in addition to the CBF cold response pathway. Plant Cell 2002, 14, 1675–1690. [Google Scholar] [CrossRef]
- Mikkelsen, M.; Thomashow, M. A role for circadian evening elements in cold-regulated gene expression in Arabidopsis. Plant J. 2009, 60, 328–339. [Google Scholar] [CrossRef] [PubMed]
- Li, X.; Ma, D.; Lu, S.; Hu, X.; Huang, R.; Liang, T.; Xu, T.; Tobin, E.; Liu, H. Blue light- and low temperature-regulated COR27 and COR28 play roles in the Arabidopsis circadian clock. Plant Cell 2016, 28, 2755–2769. [Google Scholar] [CrossRef] [PubMed]
- Wang, P.; Cui, X.; Zhao, C.; Shi, L.; Zhang, G.; Sun, F.; Cao, X.; Yuan, L.; Xie, Q.; Xu, X. COR27 and COR28 encode nighttime repressors integrating Arabidopsis circadian clock and cold response. J. Integr. Plant Biol. 2017, 59, 78–85. [Google Scholar] [CrossRef] [PubMed]
- Chen, S.; Zhou, Y.; Chen, Y.; Gu, J. fastp: An ultra-fast all-in-one FASTQ preprocessor. Bioinformatics 2018, 34, i884–i890. [Google Scholar] [CrossRef] [PubMed]
- Mortazavi, A.; Williams, B.; McCue, K.; Schaeffer, L.; Wold, B. Mapping and quantifying mammalian transcriptomes by RNA-Seq. Nat. Methods 2008, 5, 621–628. [Google Scholar] [CrossRef] [PubMed]
- Pertea, M.; Pertea, G.; Antonescu, C.; Chang, T.; Mendell, J.; Salzberg, S. StringTie enables improved reconstruction of a transcriptome from RNA-seq reads. Nat. Biotechnol. 2015, 33, 290–295. [Google Scholar] [CrossRef] [PubMed]
- Trapnell, C.; Williams, B.; Pertea, G.; Mortazavi, A.; Kwan, G.; van Baren, M.; Salzberg, S.; Wold, B.; Pachter, L. Transcript assembly and quantification by RNA-Seq reveals unannotated transcripts and isoform switching during cell differentiation. Nat. Biotechnol. 2010, 28, 511–515. [Google Scholar] [CrossRef] [PubMed]
- Bray, N.; Pimentel, H.; Melsted, P.; Pachter, L. Near-optimal probabilistic RNA-seq quantification. Nat. Biotechnol. 2016, 34, 525–527. [Google Scholar] [CrossRef]
- Love, M.; Huber, W.; Anders, S. Moderated estimation of fold change and dispersion for RNA-seq data with DESeq2. Genome Biol. 2014, 15, 550. [Google Scholar] [CrossRef]








Disclaimer/Publisher’s Note: The statements, opinions and data contained in all publications are solely those of the individual author(s) and contributor(s) and not of MDPI and/or the editor(s). MDPI and/or the editor(s) disclaim responsibility for any injury to people or property resulting from any ideas, methods, instructions or products referred to in the content. |
© 2024 by the authors. Licensee MDPI, Basel, Switzerland. This article is an open access article distributed under the terms and conditions of the Creative Commons Attribution (CC BY) license (https://creativecommons.org/licenses/by/4.0/).
Share and Cite
Liu, L.; Duan, X.; Xu, H.; Zhao, P.; Shi, L.; Xu, F.; Wang, S. Circadian Rhythm and Nitrogen Metabolism Participate in the Response of Boron Deficiency in the Root of Brassica napus. Int. J. Mol. Sci. 2024, 25, 8319. https://doi.org/10.3390/ijms25158319
Liu L, Duan X, Xu H, Zhao P, Shi L, Xu F, Wang S. Circadian Rhythm and Nitrogen Metabolism Participate in the Response of Boron Deficiency in the Root of Brassica napus. International Journal of Molecular Sciences. 2024; 25(15):8319. https://doi.org/10.3390/ijms25158319
Chicago/Turabian StyleLiu, Ling, Xianjie Duan, Haoran Xu, Peiyu Zhao, Lei Shi, Fangsen Xu, and Sheliang Wang. 2024. "Circadian Rhythm and Nitrogen Metabolism Participate in the Response of Boron Deficiency in the Root of Brassica napus" International Journal of Molecular Sciences 25, no. 15: 8319. https://doi.org/10.3390/ijms25158319
APA StyleLiu, L., Duan, X., Xu, H., Zhao, P., Shi, L., Xu, F., & Wang, S. (2024). Circadian Rhythm and Nitrogen Metabolism Participate in the Response of Boron Deficiency in the Root of Brassica napus. International Journal of Molecular Sciences, 25(15), 8319. https://doi.org/10.3390/ijms25158319

