Sequential Nucleophilic Aromatic Substitution Reactions of Activated Halogens
Abstract
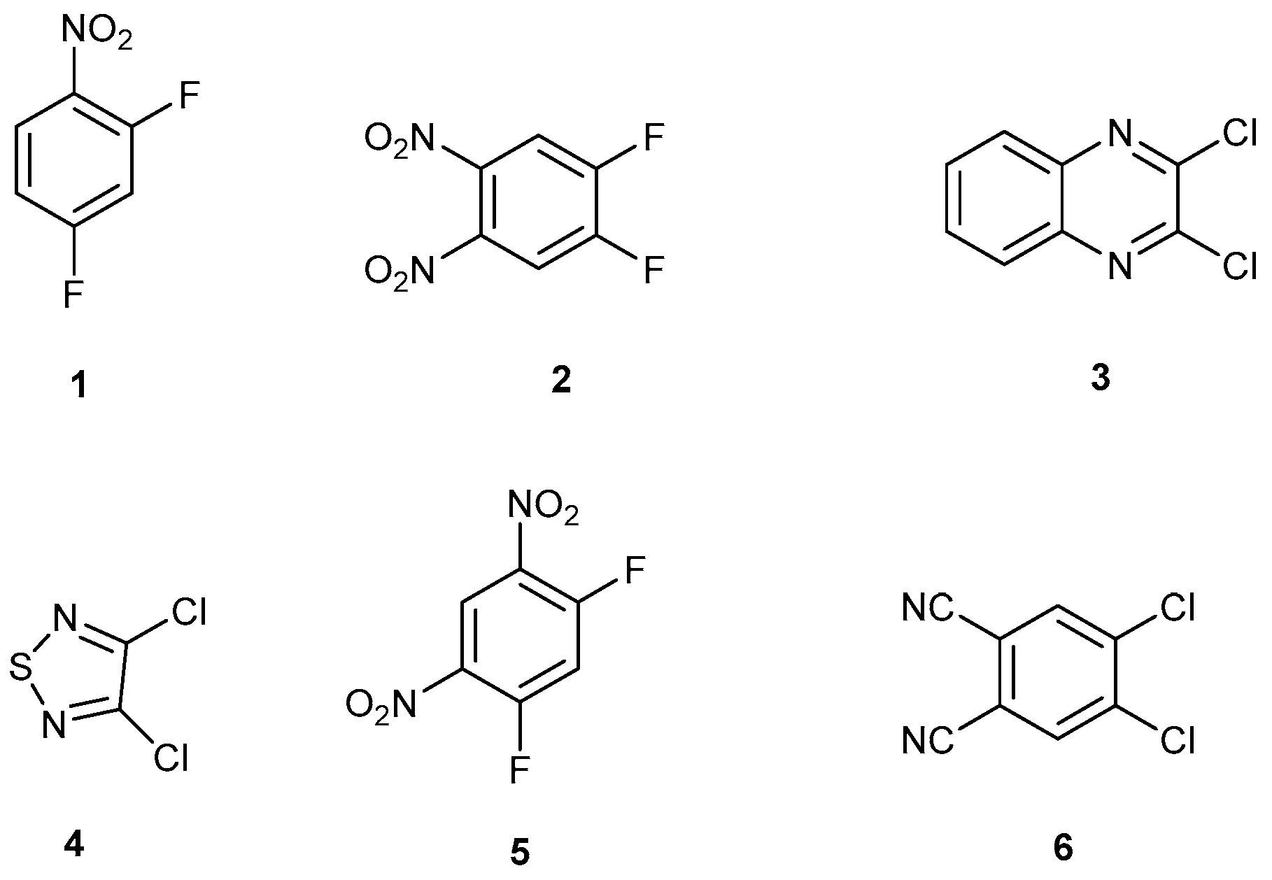
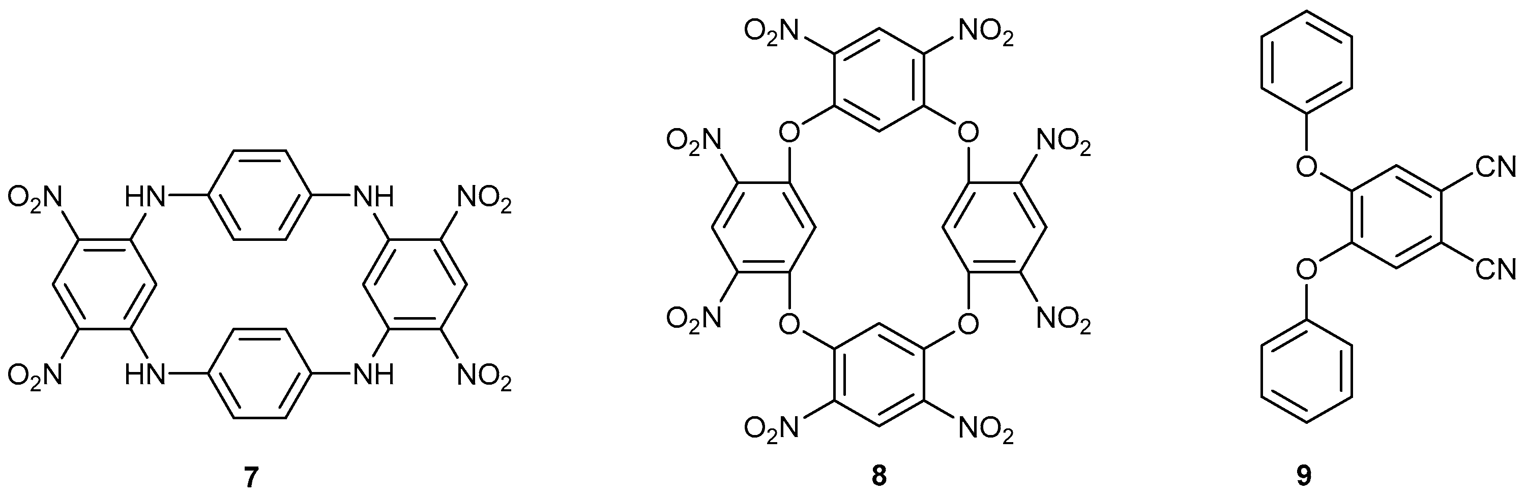
1. Introduction
2. Results and Discussion
3. Material and Methods
- 2,3-Dinitrodibenzo-[1,4]-dioxin 13
- 2,3-Dinitrophenoxathiine 15
- 2,3-Dinitrophenoxathiin-S-oxide 16
- 2-Aminophenylethane-3-chloroquinoxaline 17
- 2-Aminophenylethane-3-thiophenylquinoxaline 18
- 2-Aminophenylethane-3-thiophenylquinoxaline sulfone 19
- 2-Butylamino-3-chloroquinoxaline 20
- 2,3-bis(Butylamino)quinoxaline 21
- 1-(2-Aminophenylethane)-2-fluoro-4,5-dinitrobenzene 23
- 1-Fluoro-2-morpholino-4,5-dinitrobenzene 24
- 1-Fluoro-2-butylamino-4,5-dinitrobenzene 25
- 1-(2-Aminophenylethane)-2,5-dithiophenyl-4-nitrobenzene 26
Crystal Structure Determinations
- Crystal data for compound 13 C12H6N2O6, yellow plate, 0.19 × 0.09 × 0.03 mm, Mr = 274.19, triclinic, space group P (No. 2), a = 7.8050 (2) Å, b = 8.1532 (3) Å, c = 8.9461 (2) Å, α = 97.688 (2)°, β = 99.428 (2)°, γ = 94.297 (2)°, V = 553.82 (3) Å3, Z = 2, Mo Kα radiation (λ = 0.71073 Å),T = 100 K, μ = 0.136 mm–1, ρcalc = 1.644 g cm–3, 26,948 reflections measured (4.7 ≤ 2θ ≤ 61.0°), 2919 unique (RInt = 0.040), R(F) = 0.039 [2919 reflections with I > 2σ(I)], wR(F2) = 0.113 (all data), Δρmin,max (e Å–3) = –0.29, +0.47, CCDC deposition number 2362025.
- Crystal data for compound 14 C12H6N2O4S2, yellow plate, 0.12 × 0.07 ×0.01 mm, Mr = 306.31, monoclinic, space group P21/n (No. 14), a = 16.4666 (3) Å, b = 4.17460 (10) Å, c = 17.5585 (4) Å, β = 93.833 (2)°, V = 1204.30 (5) Å3, Z = 4, Mo Kα radiation (λ = 0.71073 Å), T = 100 K, μ = 0.457 mm–1, ρcalc = 1.689 g cm–3, 52,290 reflections measured (4.7 ≤ 2θ ≤ 76.2°), 6238 unique (RInt = 0.035), R(F) = 0.037 [4630 reflections with I > 2σ(I)], wR(F2) = 0.098 (all data), Δρmin,max (e Å–3) = –0.24, +0.61, CCDC deposition number 2362026.
- Crystal data for compound 15 C12H6N2O5S, orange rod, 0.44 × 0.15 × 0.07 mm, Mr = 290.25, triclinic, space group P (No. 2), a = 7.89759 (13) Å, b = 11.40431 (17) Å, c = 14.0329 (2) Å, α = 70.1769 (13)°, β = 87.4953 (12)°, γ = 79.3130 (13)°, V = 1168.13 (3) Å3, Z = 4, Mo Kα radiation (λ = 0.71073 Å), T = 100 K, μ = 0.300 mm–1, ρcalc = 1.650 g cm–3, 113,652 reflections measured (3.1 ≤ 2θ ≤ 61.0°), 7132 unique (RInt = 0.056), R(F) = 0.078 [6713 reflections with I > 2σ(I)], wR(F2) = 0.166 (all data), Δρmin,max (e Å–3) = –0.74, +0.89, CCDC deposition number 2362027.
- Crystal data for compound 24 C10H10FN3O5, yellow slab, 0.05 × 0.04 × 0.02 mm, Mr = 271.21, orthorhombic, space group Pca21 (No. 29), a = 18.1738 (6) Å, b = 4.60825 (14) Å, c = 13.3823 (5) Å, V = 1120.76 (7) Å3, Z = 4, Cu Kα radiation (λ = 1.54184 Å), T = 100 K, μ = 1.229 mm–1, ρcalc = 1.607 g cm–3, 8299 reflections measured (9.7 ≤ 2θ ≤ 140.2°), 1970 unique (RInt = 0.038), R(F) = 0.031 [1804 reflections with I > 2σ(I)], wR(F2) = 0.078 (all data), flack absolute structure parameter 0.08 (11), Δρmin,max (e Å–3) = –0.17, +0.17, CCDC deposition number 2362028.
4. Conclusions
Supplementary Materials
Author Contributions
Funding
Institutional Review Board Statement
Informed Consent Statement
Data Availability Statement
Acknowledgments
Conflicts of Interest
References
- Plater, M.J.; Harrison, W.T.A. An Organic Zeolite with 10 Å Diameter Pores Assembles From a Soluble and Flexible Building Block by Non-Covalent Interactions. ChemistryOpen 2019, 8, 457–463. [Google Scholar] [CrossRef]
- Plater, M.J.; Esslemont, A.J.; Harrison, W.T.A. Porous and Close Packed Supramolecular Assemblies from 2,4-Difluoronitrobenzene with Three Different Linkers and an n-Butylamine Cap. Int. J. Mol. Sci. 2023, 24, 14683. [Google Scholar] [CrossRef]
- Plater, M.J.; Harrison, W.T.A. Reactions of 4,5-difluoro-1,2-dinitrobenzene with amines in DMF or EtOH. J. Chem. Res. 2023, 47, 1–8. [Google Scholar] [CrossRef]
- Plater, M.J.; Harrison, W.T.A. New funtionalised phenoxazines and phenothiazines. ACS Omega 2023, 8, 44163–44171. [Google Scholar] [CrossRef]
- Li, Y.; Lou, Z.; Li, H.; Yang, H.; Zhao, Y.; Fu, H. Bioorthogonal Ligation and Cleavage by Reactions of Chloroquinoxalines with ortho-Dithiophenols. Angew. Chem. Int. Ed. 2020, 59, 3671–3677. [Google Scholar] [CrossRef]
- Holzhauer, L.; Liagre, C.; Fuhr, O.; Jung, N.; Bräse, S. Scope of tetrazolo [1,5-a]quinoxalines in CuAAC reactions for the synthesis of triazoloquinoxalines, imidazoloquinoxalines, and rhenium complexes thereof. Beilstein J. Org. Chem. 2022, 18, 1088–1099. [Google Scholar] [CrossRef]
- Weinstock, L.M.; Davis, P.; Handelsman, B.; Tull, R.J. General synthetic system for 1,2,5-thiadiazoles. J. Org. Chem. 1967, 32, 2823–2829. [Google Scholar] [CrossRef]
- Plater, M.J.; Rees, C.W.; Slawin, A.M.Z.; Williams, D.J. Aminotrithiadiazepines. J. Chem. Soc. Chem. Commun. 1990, 1315–1317. [Google Scholar] [CrossRef]
- Plater, M.J.; Rees, C.W. Trithiadiazepyne. J. Chem. Soc. Chem. Commun. 1990, 1317–1319. [Google Scholar] [CrossRef]
- Cava, M.P.; Lakshmikantham, M.V.; Hoffmann, R.; Williams, R.M.R.B. Woodward’s unfinished symphony: Designing organic superconductors (1975–79). Tetrahedron 2011, 67, 6771–6797. [Google Scholar] [CrossRef]
- Bhushan, R.; Bruckner, H. Marfey’s reagent for chiral amino acid analysis: A review. Amino Acids 2004, 27, 231–247. [Google Scholar] [CrossRef] [PubMed]
- Harada, K.-I.; Shimizu, Y.; Fujii, K. A chiral anisotropic reagent for determination of the absolute configuration of a primary amino compound. Tetrahedron Lett. 1998, 39, 6245–6248. [Google Scholar] [CrossRef]
- Wohrle, D.; Eskes, M.; Shigehara, K.; Yamada, A. A Simple Synthesis of 4,5-Disubstituted 1,2-Dicyanobenzenes and 2,3,9,10,16,17,23,24-Octasubstituted Phthalocyanines. Synthesis 1993, 194–196. [Google Scholar] [CrossRef]
- Touil, M.; Raimundo, J.M.; Lachkar, M.; Marsal, P.; Siri, O. Unprecedented N(H)-bridged tetraaza [1.1.1.1]m,p,m,p-cyclophanes. Tetrahedron 2010, 66, 4377–4382. [Google Scholar] [CrossRef]
- Zhang, X.; Xiong, H.; Yang, H.; Cheng, G. Synthesis and Detonation Properties of 5-Amino-2,4,6-trinitro-1,3-dihydroxy-benzene. ChemistryOpen 2017, 6, 447–45121. [Google Scholar] [CrossRef]
- Plater, M.J.; Jeremiah, A.; Bourhill, G. Synthesis of soluble halogenated aryloxy substituted indium phthalocyanines. J. Chem. Soc. Perkin. Trans. 1 2002, 91–96. [Google Scholar]
- Singh, P.; McKinney, J.D. Dibenzo-p-dioxin: A refinement. Acta Cryst. 1978, B34, 2956–2957. [Google Scholar] [CrossRef]
- Linker, G.-J.; van Duijnen, P.T.; Broer, R. Understanding trends in molecular bond angles. J. Phys. Chem. A 2020, 124, 1306–1311. [Google Scholar] [CrossRef]
- Larson, S.B.; Simonsen, S.H.; Martin, G.E.; Smith, K.; Puig-Torres, S. Structures of Thianthrene (I), C12H6S2, (Redeterminations at 163 K and 295 K) and l-Azathianthrene (II), C11H7NS2, (at 163 K). Acta Cryst. 1984, C40, 103–106. [Google Scholar]
- Bauzá, A.; Sharko, A.V.; Senchyk, G.A.; Rusanov, E.B.; Frontera, A.; Domasevitch, K.V. π–hole interactions at work: Crystal engineering with nitro-derivatives. CrystEngComm 2017, 19, 1933–1937. [Google Scholar] [CrossRef]
- Plater, M.J.; Harrison, W.T.A. Chiral Thianthrenes. Int. J. Mol. Sci. 2024, 25, 4311. [Google Scholar] [CrossRef] [PubMed]
- Chiacchiera, S.M.; Singh, J.O.; Anunziata, J.D.; Silber, J.J. Kinetics of the reactions between 1,2-dinitrobenzene and aliphatic primary amines in benzene. A probable mechanism for the observed mild acceleration. J. Chem. Soc. Perkin Trans. 1988, 11, 1585–1589. [Google Scholar] [CrossRef]
- Sheldrick, G.M. SHELXT—Integrated space-group and crystal-structure determination. Acta Cryst. 2015, A71, 3–8. [Google Scholar] [CrossRef] [PubMed]
- Sheldrick, G.M. Crystal structure refinement with SHELXL. Acta Cryst. 2015, C71, 3–8. [Google Scholar]














Disclaimer/Publisher’s Note: The statements, opinions and data contained in all publications are solely those of the individual author(s) and contributor(s) and not of MDPI and/or the editor(s). MDPI and/or the editor(s) disclaim responsibility for any injury to people or property resulting from any ideas, methods, instructions or products referred to in the content. |
© 2024 by the authors. Licensee MDPI, Basel, Switzerland. This article is an open access article distributed under the terms and conditions of the Creative Commons Attribution (CC BY) license (https://creativecommons.org/licenses/by/4.0/).
Share and Cite
Plater, M.J.; Harrison, W.T.A. Sequential Nucleophilic Aromatic Substitution Reactions of Activated Halogens. Int. J. Mol. Sci. 2024, 25, 8162. https://doi.org/10.3390/ijms25158162
Plater MJ, Harrison WTA. Sequential Nucleophilic Aromatic Substitution Reactions of Activated Halogens. International Journal of Molecular Sciences. 2024; 25(15):8162. https://doi.org/10.3390/ijms25158162
Chicago/Turabian StylePlater, M. John, and William T. A. Harrison. 2024. "Sequential Nucleophilic Aromatic Substitution Reactions of Activated Halogens" International Journal of Molecular Sciences 25, no. 15: 8162. https://doi.org/10.3390/ijms25158162
APA StylePlater, M. J., & Harrison, W. T. A. (2024). Sequential Nucleophilic Aromatic Substitution Reactions of Activated Halogens. International Journal of Molecular Sciences, 25(15), 8162. https://doi.org/10.3390/ijms25158162

