Characterization of the Gene Expression Profile Response to Drought Stress in Populus ussuriensis Using PacBio SMRT and Illumina Sequencing
Abstract
:1. Introduction
2. Results
2.1. Overview of the PacBio SMRT-seq and Illumina RNA-seq
2.2. SSR and lncRNA Prediction
2.3. Identification of Alternative Splicing
2.4. Transcript Integrity Analysis and Gene Annotation
2.5. Identification and Analysis of DEGs
2.6. DEGs Responding to Drought Stress in P. ussuriensis
2.7. Transcription Factors Responding to Drought Stress in P. ussuriensis
2.8. Validation of Gene Expression Levels
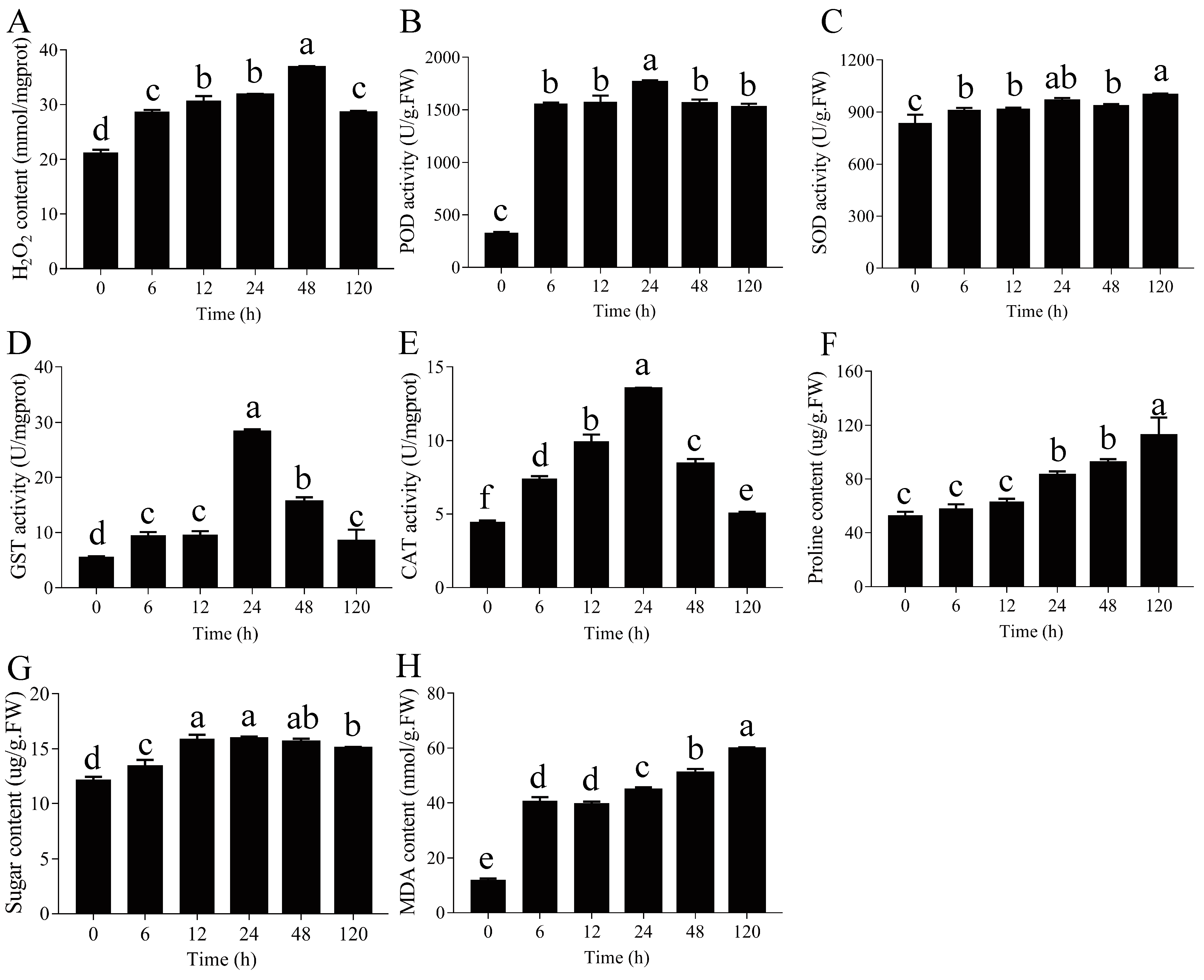
2.9. Changes in Physiological Indexes in Response to Drought Stress
2.10. Measurements of Minerals Content
3. Discussion
3.1. Characteristics of PacBio SMRT-seq and Analysis of lncRNAs and AS Events
3.2. Sensing and Transmission of Drought Signals in P. ussuriensis
3.3. Antioxidant Defense against Mechanism in Response to Drought Stress
3.4. Role of TFs in P. ussuriensis in Response to Drought Stress
3.5. Ion Accumulation in P. ussuriensis
3.6. Proteins, Osmolytes and Lignin Response to Drought Stress in P. ussuriensis
4. Materials and Methods
4.1. Plant Material and Drought Treatment
4.2. Preparation of Full-Length cDNA Library and Illumina RNA-seq Library and Sequencing
4.3. Quality Control and Error Correction of PacBio SMRT-seq and RNA-seq
4.4. SSR and lncRNA Prediction
4.5. Identification of Alternative Splicing Events
4.6. Transcript Integrity Analysis and Gene Annotation
4.7. Analysis of Differentially Expressed Transcripts
4.8. Validation of Gene Expression Levels
4.9. Determination of Physiological Indexes
4.10. Measurements of Minerals Content
4.11. Statistical Analysis of Data
5. Conclusions
Supplementary Materials
Author Contributions
Funding
Institutional Review Board Statement
Informed Consent Statement
Data Availability Statement
Conflicts of Interest
References
- Gray, S.B.; Brady, S.M. Plant developmental responses to climate change. Dev. Biol. 2016, 419, 64–77. [Google Scholar] [CrossRef] [PubMed] [Green Version]
- Opitz, N.; Marcon, C.; Paschold, A.; Malik, W.A.; Lithio, A.; Brandt, R.; Piepho, H.P.; Nettleton, D.; Hochholdinger, F. Extensive tissue-specific transcriptomic plasticity in maize primary roots upon water deficit. J. Exp. Bot. 2016, 67, 1095–1107. [Google Scholar] [CrossRef] [PubMed] [Green Version]
- Ye, H.; Roorkiwal, M.; Valliyodan, B.; Zhou, L.; Chen, P.; Varshney, R.K.; Nguyen, H.T. Genetic diversity of root system architecture in response to drought stress in grain legumes. J. Exp. Bot. 2018, 69, 3267–3277. [Google Scholar] [CrossRef] [PubMed] [Green Version]
- Zeng, W.; Peng, Y.; Zhao, X.; Wu, B.; Chen, F.; Ren, B.; Zhuang, Z.; Gao, Q.; Ding, Y. Comparative proteomics analysis of the seedling root response of drought-sensitive and drought-tolerant maize varieties to drought Stress. Int. J. Mol. Sci. 2019, 20, 2793. [Google Scholar] [CrossRef] [Green Version]
- Agurla, S.; Gahir, S.; Munemasa, S.; Murata, Y.; Raghavendra, A.S. Mechanism of stomatal closure in plants exposed to drought and cold stress. Adv. Exp. Med. Biol. 2018, 1081, 215–232. [Google Scholar] [PubMed]
- Oladosu, Y.; Rafii, M.Y.; Samuel, C.; Fatai, A.; Magaji, U.; Kareem, I.; Kamarudin, Z.S.; Muhammad, I.; Kolapo, K. Drought Resistance in Rice from Conventional to Molecular Breeding: A Review. Int. J. Mol. Sci. 2019, 20, 3519. [Google Scholar] [CrossRef] [PubMed] [Green Version]
- Verma, V.; Ravindran, P.; Kumar, P.P. Plant hormone-mediated regulation of stress responses. BMC Plant Biol. 2016, 16, 86. [Google Scholar] [CrossRef] [PubMed] [Green Version]
- Mun, B.G.; Lee, S.U.; Park, E.J.; Kim, H.H.; Hussain, A.; Imran, Q.M.; Lee, I.J.; Yun, B.W. Analysis of transcription factors among differentially expressed genes induced by drought stress in Populus davidiana. 3 Biotech 2017, 7, 209. [Google Scholar] [CrossRef] [PubMed]
- Mahmood, T.; Khalid, S.; Abdullah, M.; Ahmed, Z.; Shah, M.; Ghafoor, A.; Du, X. Insights into drought stress signaling in plants and the molecular genetic basis of cotton drought tolerance. Cells 2019, 9, 105. [Google Scholar] [CrossRef] [PubMed] [Green Version]
- Luo, X.; Bai, X.; Sun, X.; Zhu, D.; Liu, B.; Ji, W.; Cai, H.; Cao, L.; Wu, J.; Hu, M.; et al. Expression of wild soybean WRKY20 in Arabidopsis enhances drought tolerance and regulates ABA signalling. J. Exp. Bot. 2013, 64, 2155–2169. [Google Scholar] [CrossRef] [PubMed] [Green Version]
- Xiang, J.; Chen, X.; Hu, W.; Xiang, Y.; Yan, M.; Wang, J. Overexpressing heat-shock protein OsHSP50.2 improves drought tolerance in rice. Plant Cell Rep. 2018, 37, 1585–1595. [Google Scholar] [CrossRef] [PubMed]
- Baillo, E.H.; Kimotho, R.N.; Zhang, Z.; Xu, P. Transcription factors associated with abiotic and biotic stress tolerance and their potential for crops improvement. Genes 2019, 10, 771. [Google Scholar] [CrossRef] [PubMed] [Green Version]
- Dash, M.; Yordanov, Y.S.; Georgieva, T.; Wei, H.; Busov, V. Gene network analysis of poplar root transcriptome in response to drought stress identifies a PtaJAZ3PtaRAP2.6-centered hierarchical network. PLoS ONE 2018, 13, e0208560. [Google Scholar] [CrossRef] [PubMed]
- Li, W.; Fu, Y.; Lv, W.; Zhao, S.; Feng, H.; Shao, L.; Li, C.; Yang, J. Characterization of the early gene expression profile in Populus ussuriensis under cold stress using PacBio SMRT sequencing integrated with RNA-seq reads. Tree Physiol. 2021, 42, 646–663. [Google Scholar] [CrossRef]
- Feng, X.H.; Zhang, H.X.; Ali, M.; Gai, W.X.; Cheng, G.X.; Yu, Q.H.; Yang, S.B.; Li, X.X.; Gong, Z.H. A small heat shock protein CaHsp25.9 positively regulates heat, salt, and drought stress tolerance in pepper (Capsicum annuum L.). Plant Physiol. Biochem. 2019, 142, 151–162. [Google Scholar] [CrossRef] [PubMed]
- Magwanga, R.O.; Lu, P.; Kirungu, J.N.; Lu, H.; Wang, X.; Cai, X.; Zhou, Z.; Zhang, Z.; Salih, H.; Wang, K.; et al. Characterization of the late embryogenesis abundant (LEA) proteins family and their role in drought stress tolerance in upland cotton. BMC Genet. 2018, 19, 6. [Google Scholar] [CrossRef] [Green Version]
- Pang, J.; Zhang, X.; Ma, X.; Zhao, J. Spatio-temporal transcriptional dynamics of maize long non-coding RNAs responsive to drought stress. Genes 2019, 10, 138. [Google Scholar] [CrossRef] [PubMed] [Green Version]
- Ramirez, G.L.; Shi, L.; Bergonzi, S.B.; Oortwijn, M.; Franco-Zorrilla, J.M.; Solano-Tavira, R.; Visser, R.; Abelenda, J.A.; Bachem, C. Potato CYCLING DOF FACTOR 1 and its lncRNA counterpart StFLORE link tuber development and drought response. Plant J. 2021, 105, 855–869. [Google Scholar] [CrossRef] [PubMed]
- Jabre, I.; Reddy, A.; Kalyna, M.; Chaudhary, S.; Khokhar, W.; Byrne, L.J.; Wilson, C.M.; Syed, N.H. Does co-transcriptional regulation of alternative splicing mediate plant stress responses? Nucleic Acids Res. 2019, 47, 2716–2726. [Google Scholar] [CrossRef] [PubMed]
- Weng, X.; Zhou, X.; Xie, S.; Gu, J.; Wang, Z.Y. Identification of cassava alternative splicing-related genes and functional characterization of MeSCL30 involvement in drought stress. Plant Physiol. Biochem. 2021, 160, 130–142. [Google Scholar] [CrossRef] [PubMed]
- Tian, L.; Zhao, X.; Liu, H.; Ku, L.; Wang, S.; Han, Z.; Wu, L.; Shi, Y.; Song, X.; Chen, Y. Alternative splicing of ZmCCA1 mediates drought response in tropical maize. PLoS ONE 2019, 14, e0211623. [Google Scholar] [CrossRef] [Green Version]
- Muthusamy, M.; Yoon, E.K.; Kim, J.A.; Jeong, M.J.; Lee, S.I. Brassica Rapa SR45a regulates drought tolerance via the alternative splicing of target genes. Genes 2020, 11, 182. [Google Scholar] [CrossRef] [Green Version]
- Lamers, J.; van der Meer, T.; Testerink, C. How plants sense and respond to stressful environments. Plant Physiol. 2020, 182, 1624–1635. [Google Scholar] [CrossRef] [Green Version]
- Ma, W.; Berkowitz, G.A. Cyclic nucleotide gated channel and Ca2+-mediated signal transduction during plant senescence signaling. Plant Signal. Behav. 2011, 6, 413–415. [Google Scholar] [CrossRef] [Green Version]
- Park, H.Y.; Seok, H.Y.; Park, B.K.; Kim, S.H.; Goh, C.H.; Lee, B.H.; Lee, C.H.; Moon, Y.H. Overexpression of Arabidopsis ZEP enhances tolerance to osmotic stress. Biochem. Biophys. Res. Commun. 2008, 375, 80–85. [Google Scholar] [CrossRef]
- Sato, H.; Takasaki, H.; Takahashi, F.; Suzuki, T.; Iuchi, S.; Mitsuda, N.; Ohme-Takagi, M.; Ikeda, M.; Seo, M.; Yamaguchi-Shinozaki, K.; et al. Arabidopsis thaliana NGATHA1 transcription factor induces ABA biosynthesis by activating NCED3 gene during dehydration stress. Proc. Natl. Acad. Sci. USA 2018, 115, E11178–E11187. [Google Scholar] [CrossRef] [PubMed] [Green Version]
- Khadka, V.S.; Vaughn, K.; Xie, J.; Swaminathan, P.; Ma, Q.; Cramer, G.R.; Fennell, A.Y. Transcriptomic response is more sensitive to water deficit in shoots than roots of Vitis riparia (Michx.). BMC Plant Biol. 2019, 19, 72. [Google Scholar] [CrossRef]
- Raghavendra, A.S.; Gonugunta, V.K.; Christmann, A.; Grill, E. ABA perception and signalling. Trends Plant Sci. 2010, 15, 395–401. [Google Scholar] [CrossRef]
- Choudhury, F.K.; Rivero, R.M.; Blumwald, E.; Mittler, R. Reactive oxygen species, abiotic stress and stress combination. Plant J. 2017, 90, 856–867. [Google Scholar] [CrossRef]
- Hussain, H.A.; Hussain, S.; Khaliq, A.; Ashraf, U.; Anjum, S.A.; Men, S.; Wang, L. Chilling and drought stresses in crop plants: Implications, cross talk, and potential management opportunities. Front. Plant Sci. 2018, 9, 393. [Google Scholar] [CrossRef] [PubMed]
- Fox, H.; Doron-Faigenboim, A.; Kelly, G.; Bourstein, R.; Attia, Z.; Zhou, J.; Moshe, Y.; Moshelion, M.; David-Schwartz, R. Transcriptome analysis of Pinus halepensis under drought stress and during recovery. Tree Physiol. 2018, 38, 423–441. [Google Scholar] [CrossRef] [PubMed] [Green Version]
- Wang, L.F. Physiological and molecular responses to drought stress in rubber tree (Hevea brasiliensis Muell. Arg.). Plant Physiol. Biochem. 2014, 83, 243–249. [Google Scholar] [CrossRef]
- Wang, Z.; Li, G.; Sun, H.; Ma, L.; Guo, Y.; Zhao, Z.; Gao, H.; Mei, L. Effects of drought stress on photosynthesis and photosynthetic electron transport chain in young apple tree leaves. Biol. Open 2018, 7, bio035279. [Google Scholar] [CrossRef] [PubMed] [Green Version]
- Budak, H.; Hussain, B.; Khan, Z.; Ozturk, N.Z.; Ullah, N. From genetics to functional genomics: Improvement in drought signaling and tolerance in wheat. Front. Plant Sci. 2015, 6, 1012. [Google Scholar] [CrossRef] [PubMed] [Green Version]
- Gu, H.; Yang, Y.; Xing, M.; Yue, C.; Wei, F.; Zhang, Y.; Zhao, W.; Huang, J. Physiological and transcriptome analyses of Opisthopappus taihangensis in response to drought stress. Cell Biosc. 2019, 9, 56. [Google Scholar] [CrossRef] [Green Version]
- Moumeni, A.; Satoh, K.; Kondoh, H.; Asano, T.; Hosaka, A.; Venuprasad, R.; Serraj, R.; Kumar, A.; Leung, H.; Kikuchi, S. Comparative analysis of root transcriptome profiles of two pairs of drought-tolerant and susceptible rice near-isogenic lines under different drought stress. BMC Plant Biol. 2011, 11, 174. [Google Scholar] [CrossRef] [PubMed] [Green Version]
- Saibo, N.J.; Lourenco, T.; Oliveira, M.M. Transcription factors and regulation of photosynthetic and related metabolism under environmental stresses. Ann. Bot. 2009, 103, 609–623. [Google Scholar] [CrossRef] [Green Version]
- Li, W.; Lee, J.; Yu, S.; Wang, F.; Lv, W.; Zhang, X.; Li, C.; Yang, J. Characterization and analysis of the transcriptome response to drought in Larix kaempferi using PacBio full-length cDNA sequencing integrated with de novo RNA-seq reads. Planta 2021, 253, 28. [Google Scholar] [CrossRef]
- Li, W.; Pang, S.; Lu, Z.; Jin, B. Function and mechanism of WRKY transcription factors in abiotic stress responses of plants. Plants 2020, 9, 1515. [Google Scholar] [CrossRef] [PubMed]
- Yao, T.; Zhang, J.; Xie, M.; Yuan, G.; Tschaplinski, T.J.; Muchero, W.; Chen, J.G. Transcriptional regulation of drought response in Arabidopsis and woody plants. Front. Plant Sci. 2020, 11, 572137. [Google Scholar] [CrossRef] [PubMed]
- Sun, J.; Hu, W.; Zhou, R.; Wang, L.; Wang, X.; Wang, Q.; Feng, Z.; Li, Y.; Qiu, D.; He, G.; et al. The Brachypodium distachyon BdWRKY36 gene confers tolerance to drought stress in transgenic tobacco plants. Plant Cell Rep. 2015, 34, 23–35. [Google Scholar] [CrossRef] [PubMed]
- Dossa, K.; Mmadi, M.A.; Zhou, R.; Liu, A.; Yang, Y.; Diouf, D.; You, J.; Zhang, X. Ectopic expression of the sesame MYB transcription factor SiMYB305 promotes root growth and modulates ABA-mediated tolerance to drought and salt stresses in Arabidopsis. AoB Plants 2020, 12, plz081. [Google Scholar] [CrossRef] [PubMed]
- Fang, Q.; Wang, X.; Wang, H.; Tang, X.; Liu, C.; Yin, H.; Ye, S.; Jiang, Y.; Duan, Y.; Luo, K. The poplar R2R3 MYB transcription factor PtrMYB94 coordinates with abscisic acid signaling to improve drought tolerance in plants. Tree Physiol. 2020, 40, 46–59. [Google Scholar] [CrossRef]
- Fujita, M.; Fujita, Y.; Maruyama, K.; Seki, M.; Hiratsu, K.; Ohme-Takagi, M.; Tran, L.S.; Yamaguchi-Shinozaki, K.; Shinozaki, K. A dehydration-induced NAC protein, RD26, is involved in a novel ABA-dependent stress-signaling pathway. Plant J. 2004, 39, 863–876. [Google Scholar] [CrossRef]
- Guttikonda, S.K.; Valliyodan, B.; Neelakandan, A.K.; Tran, L.S.; Kumar, R.; Quach, T.N.; Voothuluru, P.; Gutierrez-Gonzalez, J.J.; Aldrich, D.L.; Pallardy, S.G.; et al. Overexpression of AtDREB1D transcription factor improves drought tolerance in soybean. Mol. Biol. Rep. 2014, 41, 7995–8008. [Google Scholar] [CrossRef]
- Pan, Y.; Seymour, G.B.; Lu, C.; Hu, Z.; Chen, X.; Chen, G. An ethylene response factor (ERF5) promoting adaptation to drought and salt tolerance in tomato. Plant Cell Rep. 2012, 31, 349–360. [Google Scholar] [CrossRef] [PubMed]
- van Beek, C.R.; Guzha, T.; Kopana, N.; van der Westhuizen, C.S.; Panda, S.K.; van der Vyver, C. The SlNAC2 transcription factor from tomato confers tolerance to drought stress in transgenic tobacco plants. Physiol. Mol. Biol. Plants 2021, 27, 907–921. [Google Scholar] [CrossRef] [PubMed]
- Dong, C.J.; Liu, J.Y. The Arabidopsis EAR-motif-containing protein RAP2.1 functions as an active transcriptional repressor to keep stress responses under tight control. BMC Plant Biol. 2010, 10, 47. [Google Scholar] [CrossRef] [PubMed] [Green Version]
- Lu, X.; Zhang, X.; Duan, H.; Lian, C.; Liu, C.; Yin, W.; Xia, X. Three stress-responsive NAC transcription factors from Populus euphratica differentially regulate salt and drought tolerance in transgenic plants. Physiol. Plant 2018, 162, 73–97. [Google Scholar] [CrossRef] [PubMed] [Green Version]
- Ozturk, M.; Turkyilmaz, U.B.; Garcia-Caparros, P.; Khursheed, A.; Gul, A.; Hasanuzzaman, M. Osmoregulation and its actions during the drought stress in plants. Physiol. Plant 2021, 172, 1321–1335. [Google Scholar] [CrossRef] [PubMed]
- Wang, Y.; Kang, Y.; Ma, C.; Miao, R.; Wu, C.; Long, Y.; Ge, T.; Wu, Z.; Hou, X.; Zhang, J.; et al. CNGC2 is a Ca2+ influx channel that prevents accumulation of apoplastic Ca2+ in the leaf. Plant Physiol. 2017, 173, 1342–1354. [Google Scholar] [CrossRef] [Green Version]
- Gerbeau, P.; Amodeo, G.; Henzler, T.; Santoni, V.; Ripoche, P.; Maurel, C. The water permeability of Arabidopsis plasma membrane is regulated by divalent cations and pH. Plant J. 2002, 30, 71–81. [Google Scholar] [CrossRef] [PubMed]
- Nieves-Cordones, M.; Martinez, V.; Benito, B.; Rubio, F. Comparison between Arabidopsis and Rice for Main Pathways of K+ and Na+ Uptake by Roots. Front. Plant Sci. 2016, 7, 992. [Google Scholar] [CrossRef] [Green Version]
- Feng, X.; Liu, W.; Qiu, C.W.; Zeng, F.; Wang, Y.; Zhang, G.; Chen, Z.H.; Wu, F. HvAKT2 and HvHAK1 confer drought tolerance in barley through enhanced leaf mesophyll H+ homoeostasis. Plant Biotechnol. J. 2020, 18, 1683–1696. [Google Scholar] [CrossRef] [PubMed] [Green Version]
- Siddique, M.H.; Babar, N.I.; Zameer, R.; Muzammil, S.; Nahid, N.; Ijaz, U.; Masroor, A.; Nadeem, M.; Rashid, M.; Hashem, A.; et al. Genome-wide identification, genomic organization, and characterization of potassium transport-related genes in cajanus cajan and their role in abiotic stress. Plants 2021, 10, 2238. [Google Scholar] [CrossRef]
- Mertens, J.; Aliyu, H.; Cowan, D.A. LEA proteins and the evolution of the why domain. Appl. Environ. Microbiol. 2018, 84, e00539-18. [Google Scholar] [CrossRef] [PubMed] [Green Version]
- Xiao, B.; Huang, Y.; Tang, N.; Xiong, L. Over-expression of a LEA gene in rice improves drought resistance under the field conditions. Theor. Appl. Genet. 2007, 115, 35–46. [Google Scholar] [CrossRef]
- Zheng, J.; Su, H.; Lin, R.; Zhang, H.; Xia, K.; Jian, S.; Zhang, M. Isolation and characterization of an atypical LEA gene (IpLEA) from Ipomoea pes-caprae conferring salt/drought and oxidative stress tolerance. Sci. Rep. 2019, 9, 14838. [Google Scholar] [CrossRef] [PubMed]
- Aghaie, P.; Tafreshi, S. Central role of 70-kDa heat shock protein in adaptation of plants to drought stress. Cell Stress Chaperones 2020, 25, 1071–1081. [Google Scholar] [CrossRef]
- Iqbal, A.; Wang, T.; Wu, G.; Tang, W.; Zhu, C.; Wang, D.; Li, Y.; Wang, H. Physiological and transcriptome analysis of heteromorphic leaves and hydrophilic roots in response to soil drying in desert Populus euphratica. Sci. Rep. 2017, 7, 12188. [Google Scholar] [CrossRef] [PubMed] [Green Version]
- Li, X.; Yang, Y.; Sun, X.; Lin, H.; Chen, J.; Ren, J.; Hu, X.; Yang, Y. Comparative physiological and proteomic analyses of poplar (Populus yunnanensis) plantlets exposed to high temperature and drought. PLoS ONE 2014, 9, e107605. [Google Scholar] [CrossRef]
- Ren, Y.; Miao, M.; Meng, Y.; Cao, J.; Fan, T.; Yue, J.; Xiao, F.; Liu, Y.; Cao, S. DFR1-mediated inhibition of proline degradation pathway regulates drought and freezing tolerance in Arabidopsis. Cell Rep. 2018, 23, 3960–3974. [Google Scholar] [CrossRef] [PubMed]
- Kuang, Y.; Xu, Y.; Zhang, L.; Hou, E.; Shen, W. Dominant trees in a subtropical forest respond to drought mainly via adjusting tissue soluble sugar and proline content. Front. Plant Sci. 2017, 8, 802. [Google Scholar] [CrossRef]
- Regier, N.; Streb, S.; Cocozza, C.; Schaub, M.; Cherubini, P.; Zeeman, S.C.; Frey, B. Drought tolerance of two black poplar (Populus nigra L.) clones: Contribution of carbohydrates and oxidative stress defence. Plant Cell Environ. 2009, 32, 1724–1736. [Google Scholar] [CrossRef] [Green Version]
- Cao, S.; Huang, C.; Luo, L.; Zheng, S.; Zhong, Y.; Sun, J.; Gui, J.; Li, L. Cell-specific suppression of 4-coumarate-CoA ligase gene reveals differential effect of lignin on cell physiological function in Populus. Front. Plant Sci. 2020, 11, 589729. [Google Scholar] [CrossRef]
- Gu, H.; Wang, Y.; Xie, H.; Qiu, C.; Zhang, S.; Xiao, J.; Li, H.; Chen, L.; Li, X.; Ding, Z. Drought stress triggers proteomic changes involving lignin, flavonoids and fatty acids in tea plants. Sci. Rep. 2020, 10, 15504. [Google Scholar] [CrossRef]
- Li, D.; Yang, J.; Pak, S.; Zeng, M.; Sun, J.; Yu, S.; He, Y.; Li, C. PuC3H35 confers drought tolerance by enhancing lignin and proanthocyanidin biosynthesis in the roots of Populus ussuriensis. New Phytol. 2022, 233, 390–408. [Google Scholar] [CrossRef]
- Zhao, D.; Luan, Y.; Shi, W.; Zhang, X.; Meng, J.; Tao, J. A Paeonia ostii caffeoyl-CoA O-methyltransferase confers drought stress tolerance by promoting lignin synthesis and ROS scavenging. Plant Sci. 2021, 303, 110765. [Google Scholar] [CrossRef]
- Jaakola, L.; Pirttila, A.M.; Halonen, M.; Hohtola, A. Isolation of high quality RNA from bilberry (Vaccinium myrtillus L.) fruit. Mol. Biotechnol. 2001, 19, 201–203. [Google Scholar] [CrossRef]
- Gordon, S.P.; Tseng, E.; Salamov, A.; Zhang, J.; Meng, X.; Zhao, Z.; Kang, D.; Underwood, J.; Grigoriev, I.V.; Figueroa, M.; et al. Widespread polycistronic transcripts in fungi revealed by single-molecule mRNA sequencing. PLoS ONE 2015, 10, e0132628. [Google Scholar] [CrossRef] [Green Version]
- Li, B.; Dewey, C.N. RSEM: Accurate transcript quantification from RNA-Seq data with or without a reference genome. BMC Bioinform. 2011, 12, 323. [Google Scholar] [CrossRef] [PubMed] [Green Version]
- Beier, S.; Thiel, T.; Munch, T.; Scholz, U.; Mascher, M. MISA-web: A web server for microsatellite prediction. Bioinformatics 2017, 33, 2583–2585. [Google Scholar] [CrossRef] [PubMed] [Green Version]
- Luo, H.; Bu, D.; Sun, L.; Chen, R.; Zhao, Y. De novo approach to classify protein-coding and noncoding transcripts based on sequence composition. Methods Mol. Biol. 2014, 1182, 203–207. [Google Scholar]
- Kong, L.; Zhang, Y.; Ye, Z.Q.; Liu, X.Q.; Zhao, S.Q.; Wei, L.; Gao, G. CPC: Assess the protein-coding potential of transcripts using sequence features and support vector machine. Nucleic Acids Res. 2007, 35, W345–W349. [Google Scholar] [CrossRef]
- Wang, L.; Park, H.J.; Dasari, S.; Wang, S.; Kocher, J.P.; Li, W. CPAT: Coding-Potential Assessment Tool using an alignment-free logistic regression model. Nucleic Acids Res. 2013, 41, e74. [Google Scholar] [CrossRef] [PubMed]
- Foissac, S.; Sammeth, M. ASTALAVISTA: Dynamic and flexible analysis of alternative splicing events in custom gene datasets. Nucleic Acids Res. 2007, 35, W297–W299. [Google Scholar] [CrossRef] [Green Version]
- Simao, F.A.; Waterhouse, R.M.; Ioannidis, P.; Kriventseva, E.V.; Zdobnov, E.M. BUSCO: Assessing genome assembly and annotation completeness with single-copy orthologs. Bioinformatics 2015, 31, 3210–3212. [Google Scholar] [CrossRef] [PubMed] [Green Version]
- Haas, B.J.; Papanicolaou, A.; Yassour, M.; Grabherr, M.; Blood, P.D.; Bowden, J.; Couger, M.B.; Eccles, D.; Li, B.; Lieber, M.; et al. De novo transcript sequence reconstruction from RNA-seq using the Trinity platform for reference generation and analysis. Nat. Protoc. 2013, 8, 1494–1512. [Google Scholar] [CrossRef] [PubMed]
- Wang, L.; Feng, Z.; Wang, X.; Wang, X.; Zhang, X. DEGseq: An R package for identifying differentially expressed genes from RNA-seq data. Bioinformatics 2010, 26, 136–138. [Google Scholar] [CrossRef]
- Wu, J.; Mao, X.; Cai, T.; Luo, J.; Wei, L. KOBAS server: A web-based platform for automated annotation and pathway identification. Nucleic Acids Res. 2006, 34, W720–W724. [Google Scholar] [CrossRef] [PubMed]
- Young, M.D.; Wakefield, M.J.; Smyth, G.K.; Oshlack, A. Gene ontology analysis for RNA-seq: Accounting for selection bias. Genome. Biol. 2010, 11, R14. [Google Scholar] [CrossRef] [PubMed] [Green Version]
- Urquhart, W.; Chin, K.; Ung, H.; Moeder, W.; Yoshioka, K. The cyclic nucleotide-gated channels AtCNGC11 and 12 are involved in multiple Ca2+-dependent physiological responses and act in a synergistic manner. J. Exp. Bot. 2011, 62, 3671–3682. [Google Scholar] [CrossRef] [Green Version]









| Name | Reads Number | Base Number | Average_Length |
|---|---|---|---|
| Polymerase reads | 419,372 | 33,074,826,044 | 78,867.51 |
| Subreads | 31,547,319 | 29,488,228,404 | 943.73 |
| CCS reads | 387,340 | 566,167,282 | 1461.68 |
| High-quality Isoforms | 40,307 | 56,721,399 | 1407.23 |
| Low-quality Isoforms | 152 | 128,876 | 847.87 |
| Gene ID | Annotation | Log2 Value of Fold Change | ||||
|---|---|---|---|---|---|---|
| 6 h vs. 0 h | 12 h vs. 0 h | 24 h vs. 0 h | 48 h vs. 0 h | 120 h vs. 0 h | ||
| Signaling | ||||||
| f2p60_1754_23479 | Protein phosphatase 2C 3 | 2.01 | 5.50 | 0.75 | 0.57 | 0.77 |
| f2p60_653_34458 | Cytochrome P450, family 707, (CYP707A1) | 2.05 | 3.19 | 1.80 | 1.90 | 1.75 |
| f2p60_1246_27481 | Abscisic acid receptor PYL4 | −1.14 | −1.68 | −1.22 | −1.32 | −1.04 |
| f2p60_745_332685 | Calcium-binding protein PBP1 | −1.87 | −1.51 | −2.29 | −2.18 | −3.70 |
| f2p60_1346_26477 | Phosphoenolpyruvate carboxylase kinase 2 | −2.06 | −2.35 | −2.20 | −1.47 | −1.04 |
| f2p60_482_36687 | Calcium-dependent protein kinase 1 | −0.67 | −2.34 | −1.67 | −0.35 | −0.70 |
| f2p30_1011_11035 | Calcium-binding protein CML38 | 0.60 | 2.42 | 0.90 | 1.72 | 1.39 |
| f2p60_490_36587 | Calmodulin-like protein 5 | 1.11 | 1.61 | 1.11 | 1.17 | 0.18 |
| f4p60_1325_8326 | Mitogen-activated protein kinase kinase kinase 18 | 0.48 | 1.59 | 0.98 | 1.27 | 1.84 |
| Ion transport | ||||||
| f2p37_2396_20662 | Cyclic nucleotide-gated ion channel 2 | 0.81 | 1.01 | 2.58 | 1.10 | −0.07 |
| f2p60_2781_19668 | Potassium transporter 5 | 0.38 | 1.29 | 0.85 | 1.15 | 1.39 |
| f7p60_2856_19557 | Potassium transporter 2 | −1.73 | −2.50 | −0.97 | −0.47 | 0.20 |
| f3p60_1980_22126 | Calcium exchanger 7 (CAX7) | 1.52 | 1.03 | 0.73 | 0.47 | 0.60 |
| f4p60_1851_22830 | Autoinhibited Ca(2+)-ATPase 10 | 1.25 | 2.32 | 1.85 | 1.70 | 1.68 |
| f2p60_2293_3245 | Sodium/calcium exchanger | −2.82 | −0.92 | −0.02 | −0.07 | 0.09 |
| f4p60_2032_21887 | WRKY transcription factor 33 | 1.10 | 0.99 | 0.39 | 0.17 | 0.27 |
| f2p57_4009_433 | Calcium-transporting ATPase 10 | 2.29 | 1.24 | 0.64 | 0.55 | 0.49 |
| f2p55_3201_1361 | Glutamate receptor 2.7 | −2.99 | −1.58 | −2.36 | −1.78 | −0.74 |
| f2p60_3228_18926 | Glutamate receptor 3.6 | 0.33 | 0.91 | 0.77 | 1.21 | 1.41 |
| f2p20_3494_18605 | Calcium-transporting ATPase 13 | 0.93 | 0.73 | −0.26 | −0.43 | −1.30 |
| Reactive oxygen species | ||||||
| f2p60_1104_10166 | Glutathione S-transferase L3 | 1.54 | 0.60 | 0.06 | −0.18 | −0.22 |
| f3p60_1525_6924 | Glutathione S-transferase L3-like | 2.43 | 2.07 | 1.23 | 0.73 | 0.73 |
| f2p60_894_312621 | Glutathione S-transferase parC | 2.51 | 2.03 | 1.22 | 0.74 | 0.53 |
| f9p60_892_31310 | Glutathione S-transferase parC | 1.99 | 1.39 | 0.57 | −0.32 | −1.30 |
| f2p40_1265_8944 | Glutathione S-transferase L3 | 1.97 | 1.48 | 1.06 | 0.69 | 0.43 |
| f3p60_913_11828 | Glutathione S-transferase parA | 1.87 | 1.02 | 0.43 | 0.54 | −0.08 |
| f2p60_993_30050 | Glutathione S-transferase parC | 1.82 | 0.80 | 0.07 | 0.24 | −0.07 |
| f2p60_1054_29478 | Glutathione S-transferase 6 | 1.12 | 1.88 | 0.14 | 0.19 | −0.61 |
| f3p60_1090_29044 | Glutathione S-transferase 4 | 0.14 | 0.12 | 2.03 | 0.28 | −0.18 |
| f2p59_1311_26810 | Peroxidase 4 | 3.14 | 2.11 | 1.13 | −0.03 | −0.97 |
| f4p60_1269_8729 | Peroxidase 5 | 4.25 | 4.45 | 4.01 | 2.27 | 0.70 |
| Lignin biosynthetic process | ||||||
| f2p60_2079_21713 | 4-coumarate-CoA ligase 1 | −0.63 | −1.42 | −0.42 | −2.26 | −5.21 |
| f3p60_2144_3723 | Phenylalanine ammonia-lyase 2 | 2.79 | 2.51 | 2.10 | 0.99 | 0.56 |
| f3p60_2656_2364 | Phenylalanine ammonia-lyase G2B | 2.40 | 2.02 | 1.28 | 1.08 | 0.62 |
| f2p60_2638_2450 | Phenylalanine ammonia-lyase G2B | 2.11 | 2.05 | 1.61 | 1.15 | 0.91 |
| f2p60_1840_22893 | Trans-cinnamate 4-monooxygenase | 2.25 | 2.05 | 1.43 | 0.84 | 0.64 |
| f2p60_1499_25217 | Cinnamyl alcohol dehydrogenase 1 | 2.16 | 1.99 | 1.35 | 0.79 | 0.25 |
| f6p60_1412_25819 | Cinnamyl alcohol dehydrogenase 9 | 2.70 | 2.13 | 1.05 | 0.34 | −0.39 |
| f2p60_1466_7341 | Cinnamoyl-CoA reductase 1 | 0.54 | 1.81 | 1.88 | 1.75 | 1.42 |
| Proteins | ||||||
| f3p60_839_12609 | 18.5 kDa class I heat shock protein | 1.64 | 1.77 | 1.61 | 1.22 | 0.87 |
| f3p60_787_32671 | 17.3 kDa class I heat shock protein | 2.58 | 3.24 | 1.54 | 1.45 | 0.85 |
| f3p60_885_12148 | 22.7 kDa class IV heat shock protein | 2.88 | 3.24 | 1.61 | 1.14 | 0.35 |
| f3p60_805_32408 | 18.2 kDa class I heat shock protein | 2.82 | 3.08 | 1.03 | 0.70 | −0.18 |
| f4p60_842_31916 | 17.9 kDa class II heat shock protein | 2.51 | 2.56 | 1.26 | 1.08 | 0.20 |
| f2p60_797_32529 | 17.6 kDa class I heat shock protein 3 | 2.12 | 2.43 | 0.96 | 0.34 | −0.61 |
| f2p60_820_32228 | Chaperone protein dnaJ 11 | 2.26 | 2.41 | 0.83 | 0.94 | 0.55 |
| f2p60_1369_7946 | Dehydrin Rab18-like | 1.34 | 2.97 | 2.16 | 1.87 | 2.20 |
| f8p60_825_32305 | Dehydrin family protein | 3.51 | 2.50 | 1.21 | 1.48 | 1.61 |
| f13p60_601_14927 | Late embryogenesis abundant protein family protein | 2.13 | 1.67 | 1.59 | 1.34 | 1.32 |
| f2p37_1282_27056 | Late embryogenesis abundant protein D-29 | 3.02 | 1.59 | 1.04 | 1.08 | 0.77 |
| f2p45_1593_6461 | Late embryogenesis abundant protein 4 | 1.64 | 2.12 | 1.82 | 1.26 | 1.26 |
Publisher’s Note: MDPI stays neutral with regard to jurisdictional claims in published maps and institutional affiliations. |
© 2022 by the authors. Licensee MDPI, Basel, Switzerland. This article is an open access article distributed under the terms and conditions of the Creative Commons Attribution (CC BY) license (https://creativecommons.org/licenses/by/4.0/).
Share and Cite
Li, W.; Liu, Z.; Feng, H.; Yang, J.; Li, C. Characterization of the Gene Expression Profile Response to Drought Stress in Populus ussuriensis Using PacBio SMRT and Illumina Sequencing. Int. J. Mol. Sci. 2022, 23, 3840. https://doi.org/10.3390/ijms23073840
Li W, Liu Z, Feng H, Yang J, Li C. Characterization of the Gene Expression Profile Response to Drought Stress in Populus ussuriensis Using PacBio SMRT and Illumina Sequencing. International Journal of Molecular Sciences. 2022; 23(7):3840. https://doi.org/10.3390/ijms23073840
Chicago/Turabian StyleLi, Wenlong, Zhiwei Liu, He Feng, Jingli Yang, and Chenghao Li. 2022. "Characterization of the Gene Expression Profile Response to Drought Stress in Populus ussuriensis Using PacBio SMRT and Illumina Sequencing" International Journal of Molecular Sciences 23, no. 7: 3840. https://doi.org/10.3390/ijms23073840
APA StyleLi, W., Liu, Z., Feng, H., Yang, J., & Li, C. (2022). Characterization of the Gene Expression Profile Response to Drought Stress in Populus ussuriensis Using PacBio SMRT and Illumina Sequencing. International Journal of Molecular Sciences, 23(7), 3840. https://doi.org/10.3390/ijms23073840

