Investigating the Vibrational, Magnetic and Dielectric Properties, and Antioxidant Activity of Cerium Oxide Nanoparticles
Abstract
1. Introduction
2. Results and Discussion
2.1. Raman Spectra
2.2. Morphology and Elemental Composition of Cerium Oxide Nanoparticles
2.3. Magnetic Properties
2.4. Dielectric Behavior
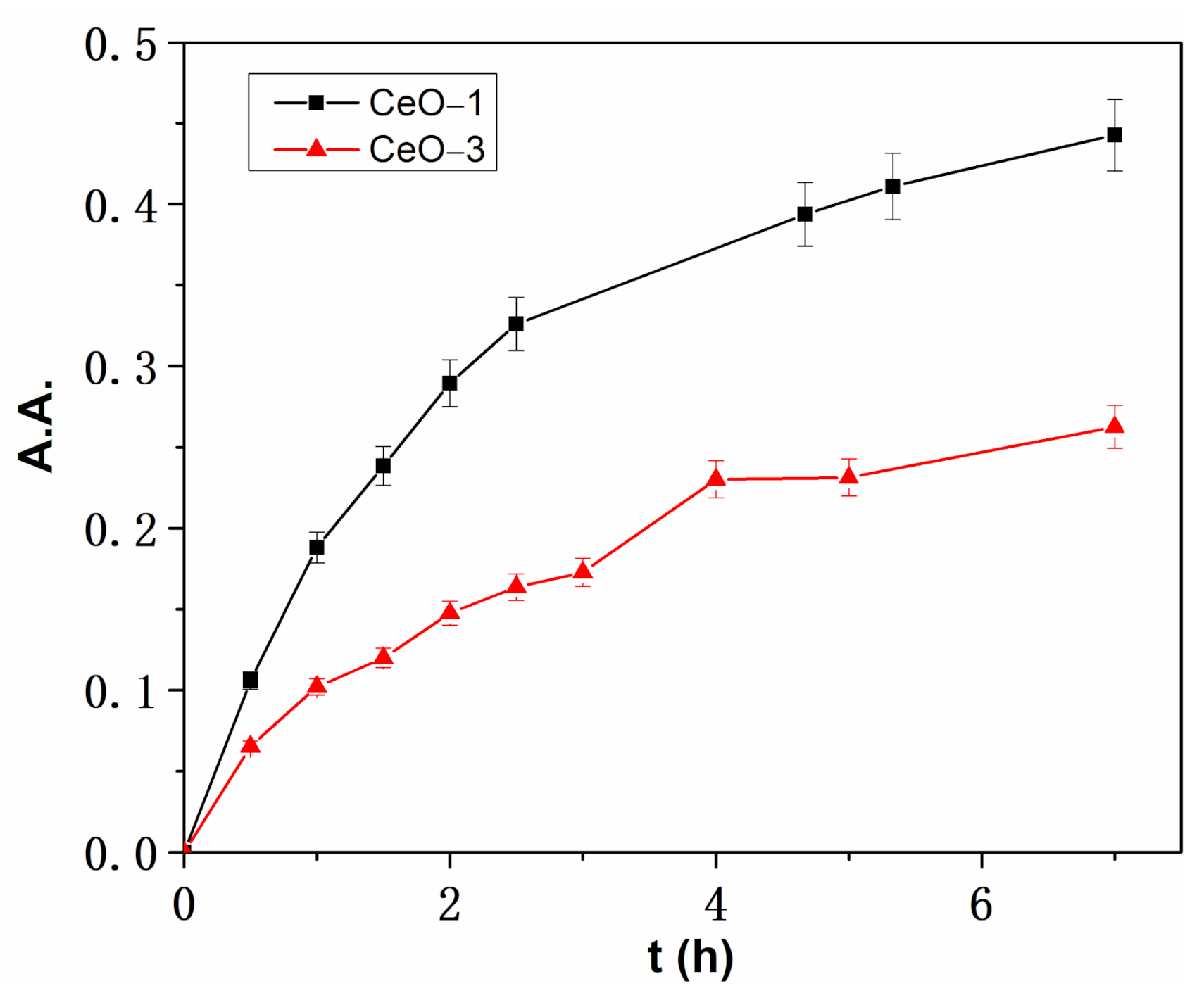
2.5. Antioxidant Activity
3. Materials and Methods
4. Conclusions
Author Contributions
Funding
Institutional Review Board Statement
Informed Consent Statement
Data Availability Statement
Conflicts of Interest
References
- Fauzi, A.A.; Jalil, A.A.; Aziz, F.F.A.; Azami, M.S.; Hussain, I.; Saravanan, R.; Vo, D.V.N. A critical review on relationship of CeO2-based photocatalyst towards mechanistic degradation of organic pollutant. Chemosphere 2022, 286, 131651. [Google Scholar] [CrossRef] [PubMed]
- Sun, C.; Li, H.; Chen, L. Nanostructured ceria-based materials: Synthesis, properties and applications. Energy Environ. Sci. 2012, 5, 8475–8505. [Google Scholar] [CrossRef]
- Karakoti, A.S.; Monteiro-Riviere, N.A.; Aggarwal, R.; Davis, J.P.; Narayan, R.J.; Self, W.T.; McGinnis, J.; Seal, S. Nanoceria as antioxidant: Synthesis and biomedical applications. JOM 2008, 60, 33–37. [Google Scholar] [CrossRef]
- Amoresi, R.A.C.; De Oliveira, R.C.; Cichetto, L., Jr.; Desimone, P.M.; Aldao, C.M.; Ponce, M.A.; Garcia, L.; Sambrano, J.R.; Longo, E.; Andres, J.; et al. Pure and Ni2O3- decorated CeO2 nanoparticles applied as CO gas sensor: Experimental and theoretical insights. Ceram. Int. 2022, 48, 14014–14025. [Google Scholar] [CrossRef]
- Kusmeriek, E. A CeO2 semiconductor as a photocatalytic and photoelectrocatalytic material for the remediation of pollutants in industrial wastewater: A review. Catalysts 2020, 10, 1435. [Google Scholar] [CrossRef]
- Santha, N.I.; Sebastian, M.T.; Mohanan, P.; Alford, N.M.; Sarma, K.; Pullar, R.C.; Kamba, S.; Pashkin, A.; Samukhina, P.; Petzelt, J. Effect of doping on the dielectric properties of cerium oxide in the microwave and far-infrared frequency range. J. Am. Chem. Soc. 2014, 87, 1233–1237. [Google Scholar] [CrossRef]
- Ackland, K.; Coey, J.M.D. Room temperature magnetism in CeO2—A review. Phys. Rep. 2018, 746, 1–39. [Google Scholar] [CrossRef]
- Wang, L.; Meng, F. Oxygen vacancy and Ce3+ ion dependent magnetism of monocrystal CeO2 nanopoles synthesized by a facile hydrothermal method. Mater. Res. Bull. 2013, 48, 3492–3498. [Google Scholar] [CrossRef]
- Harish, B.M.; Rajeeva, M.P.; Chaturmukha, V.S.; Suresha, S.; Jayanna, H.S.; Yallappe, S.; Lamani, A.R. Influence of zinc on the structural and electrical properties of cerium oxide nanoparticles. Mater. Today Proc. 2018, 5, 3070–3077. [Google Scholar] [CrossRef]
- Dara, A.; Sain, S.; Maji, P.; Das, S.; Pradhan, S.K. Dielectric relaxation, AC conductivity behavior and its relation to microstructure in mechanochemically synthesized Mn-doped CeO2 nanocrystals. Solid State Sci. 2019, 87, 93–100. [Google Scholar] [CrossRef]
- Schmitt, R.; Nenning, A.; Kraynis, O.; Korobko, R.; Frenkel, A.I.; Lubomirsky, I.; Haile, S.M.; Rupp, J.L.M. A review of defect structure and chemistry in ceria and its solid solutions. Chem. Soc. Rev. 2020, 49, 554–592. [Google Scholar] [CrossRef] [PubMed]
- Kumar, B.R.; Hymavathi, B.; Rao, T.S. Effect of the ceria dopant on the structural and dielectric properties of ZnO semiconductors. J. Sci. Adv. Mater. Devices 2022, 3, 433–439. [Google Scholar] [CrossRef]
- Murali, A.; Lan, Y.P.; Sohn, H.Y. Effect of oxygen vacancies in non-stoichiometric ceria on its photocatalytic properties. Nano-Struct. Nano-Objects 2019, 18, 100257. [Google Scholar] [CrossRef]
- Ahmed, A.; Siddique, M.N.; Ali, T.; Tripathi, P. Defect assisted improved room temperature ferromagnetism in Ce doped SnO2 nanoparticles. Appl. Surf Sci. 2019, 483, 463–471. [Google Scholar] [CrossRef]
- Soni, S.; Kumar, S.; Vats, V.S.; Khakhal, H.R.; Dalela, B.; Dolia, S.N.; Kumar, S.; Alvi, P.A.; Dalela, S. Oxygen vacancies and defects induced room temperature ferromagnetic properties of pure and Fe-doped CeO2 nanomaterials investigated using X-ray photoelectron spectroscopy. J. Electron. Spectrosc. Relat. Phenom. 2022, 254, 147140. [Google Scholar] [CrossRef]
- Lee, W.; Chen, S.Y.; Tseng, E.N.; Gloter, A.; Ku, C.W.; Li, X.Y. Spectroscopic investigation of the correlation between localization of electrons and ferromagnetism in CeO2 nanoparticles. J. Magn. Magn. Mater. 2018, 464, 11–17. [Google Scholar] [CrossRef]
- Sundaresan, A.; Bhargavi, R.; Rangarajan, N.; Siddesh, U.; Rao, C.N.R. Ferromagnetism as a universal feature of nanoparticles of the otherwise nanomagnetic oxides. Phys. Rev. B 2006, 74, 161306. [Google Scholar] [CrossRef]
- Coey, J.M.D.; Venkatesan, M.; Stamenov, P.; Fitzgerald, C.B.; Dorneles, L.S. Magnetism in hafnium oxide. Phys. Rev. B 2005, 72, 024450. [Google Scholar] [CrossRef]
- Kumar, S.; Srivastava, M.; Singh, J.; Layek, S.; Yashpal, N.; Materny, A.; Ojha, A.K. Controled synthesis and magnetic properties of nanodispersed ceria nanoparticles. AIP Adv. 2015, 5, 027109. [Google Scholar] [CrossRef]
- Chen, S.Y.; Tsai, C.H.; Huang, M.Z.; Yan, D.C.; Huang, T.W.; Gloter, A.; Chen, C.L.; Lin, H.J.; Chen, C.T.; Dong, C.L. Concentration dependence of oxygen vacancy on the magnetism of CeO2 nanoparticles. J. Phys. Chem. C 2012, 116, 8707–8713. [Google Scholar] [CrossRef]
- Harish, B.M.; Avinash, B.S.; Chaturmukha, V.S.; Jayanna, H.S.; Lamani, A.R.; Yallappa, S. Synthesis and dielectric properties of Cr-substituted CeO2 nanoparticles. J. Mater. Sci. Mater. Electron. 2018, 29, 7402–7411. [Google Scholar] [CrossRef]
- Zhao, C.; Zhao, C.Z.; Werner, M.; Taylor, S.; Chalker, P. Dielectric relaxation of high-k oxides. Nano Res. Lett. 2013, 8, 456. [Google Scholar] [CrossRef] [PubMed]
- Kumar, P.; Kumar, P.; Kumar, A.; Meena, R.C.; Tomar, R.; Chand, F.; Asokan, K. Structural, morphological, electrical and dielectric properties of Mn doped CeO2. J. Alloys Compds. 2016, 672, 543–548. [Google Scholar] [CrossRef]
- Phoka, S.; Limwichean, S.; Horprathum, M.; Patthanapettakul, V.; Channanonnawathorn, C.; Eiamchai, P.; Chanlek, N.; Maensiri, S. Effect of annealing temperature on the structural and magnetic properties of CeO2 thin films. Thin Solid Films 2020, 704, 138001. [Google Scholar] [CrossRef]
- Zamiri, R.; Ahangar, H.A.; Kaushal, A.; Zakaria, A.; Zamiri, G.; Tobaldi, D.; Ferreira, J.M.F. Dielectrical properties of CeO2 nanoparticles at different temperatures. PLoS ONE 2015, 10, e0122989. [Google Scholar]
- Wu, G.; Cheng, Y.; Xiang, F.; Jia, Z.; Xie, Q.; Wu, G.; Wu, H. Morphology, controlled synthesis, characterization and microwave absorption properties of nanostructured 3D CeO2. Mater. Sci. Semicond. Process. 2016, 41, 6–11. [Google Scholar] [CrossRef]
- Lin, Y. Dielectric and electrical properties of gadolinia doped ceria. J. Alloys Compds. 2009, 479, 769–771. [Google Scholar]
- Harish, B.M.; Yallappa, S.; Avinash, B.S.; Chaturmucha, V.S.; Jayanna, H.S.; Lamani, A.R. Temperature dependent dielectric constant and ac conductivity of porous CeO2 nanoparticles obtained by solution combustion method. J. Nanofluids 2018, 7, 620–625. [Google Scholar] [CrossRef]
- Jayakumar, G.; Irudayaraj, A.A.; Raj, A.D. A comprehensive investigation on the properties of nanostructured cerium oxide. Opt. Quantum Electron. 2019, 51, 312. [Google Scholar] [CrossRef]
- Zhang, Y.; Zhou, K.; Zhai, Y.; Qin, F.; Pan, L.; Yao, X. Crystal plane effects of nano- CeO2 on its antioxidant activity. RSC Adv. 2014, 4, 50325–50330. [Google Scholar] [CrossRef]
- Karakoti, A.S.; Singh, S.; Kumar, A.; Malinska, M.; Kuchibhatla, S.V.; Wozniak, K.; Self, W.T.; Seal, S. PEGylated nanoceria as radical scavenger with tunable redox chemistry. J. Am. Chem. Soc. 2009, 131, 14144–14145. [Google Scholar] [CrossRef] [PubMed]
- Celardo, I.; De Nicola, M.; Mandoli, C.; Pedersen, J.Z.; Traversa, E.; Ghibelli, L. Ce3+ ions determine redox-dependent antiapoptotic effect of cerium oxide nanoparticles. ACS Nano 2011, 5, 4537–4549. [Google Scholar] [CrossRef] [PubMed]
- Lee, S.S.; Song, W.S.; Cho, M.J.; Puppala, H.L. Antioxidant properties of cerium oxide nanocrystals as a function of nanocrystal diameter and surface coating. ACS Nano 2013, 7, 9693–9703. [Google Scholar] [CrossRef] [PubMed]
- Wang, X.M.; Zhang, D.J.; Li, Y.T.; Tang, D.H.; Xiao, Y.; Liu, Y.L.; Huo, Q.S. Self-doped Ce3+ enhanced CeO2 host matrix for energy transfer from Ce3+ to Tb3+. RSC Adv. 2013, 3, 3623–3630. [Google Scholar] [CrossRef]
- Lu, M.; Zhang, Y.; Wang, Y.; Jiang, M.; Yao, X. Insight into several factors that affect the conversion between antioxidant and oxidant activities of nanoceria. ACS Appl. Mater. Interfaces 2016, 8, 23580–23590. [Google Scholar] [CrossRef]
- Pugachevskii, M.A.; Chibisov, A.N.; Mamontov, V.A.; Kuzmenko, A.P. Antioxidant properties of stabilized CeO2 nanoparticles. Phys. Status Solidi A 2021, 218, 2100355. [Google Scholar] [CrossRef]
- Chibisov, A.N.; Pugachevskii, M.A.; Kuzmenko, A.P.; Than, M.M.; Kartsev, A.I. Effect of morphology and size on the thermodynamic stability of cerium oxide nanoparticles: Experiment and molecular dynamics calculation. Nanotechnol. Reviews 2022, 11, 620–624. [Google Scholar] [CrossRef]
- Deshpande, S.; Patil, S.; Kuchibhatla, S.V.N.T.; Seal, S. Size dependency variation in lattice parameter and valency states in nanocrystalline cerium oxide. Appl. Phys. Lett. 2005, 87, 133113. [Google Scholar] [CrossRef]
- Li, C.; Shi, X.; Shen, Q.; Guo, C.; Hou, Z.; Zhang, J. Hot topics and challenges of regenerative nanoceria in application of antioxidant therapy. J. Nanomater. 2018, 2018, 4857461. [Google Scholar] [CrossRef]
- Gunawan, C.; Lord, M.S.; Lovell, E.; Wong, R.J.; Jung, M.S.; Oscar, D.; Mann, R.; Amal, R. Oxygen-vacancy engineering of cerium-oxide nanoparticles for antioxidant activity. ACS Omega 2019, 4, 9473–9479. [Google Scholar] [CrossRef]
- Yuan, X.; Wang, L.; Hu, M.; Zhang, L.; Chen, H.; Zhang, D.; Wang, Z.; Li, T.; Zhong, M.; Xu, L.; et al. Oxygen vacancy-driven reversible free radical catalysis for environment-adaptive cancer chemodynamic therapy. Angew. Chem. Int. Ed. 2021, 60, 20943–20951. [Google Scholar] [CrossRef] [PubMed]
- Fifere, N.; Airinei, A.; Dragomir, M.; Sacarescu, L.; Dunca, S.I. Revealing the effect of synthesis conditions on the structural, optical and antimicrobial properties of cerium oxide nanoparticles. Nanomaterials 2021, 11, 2596. [Google Scholar] [CrossRef] [PubMed]
- Fifere, N.; Airinei, A.; Timpu, D.; Rotaru, A.; Sacarescu, L.; Ursu, L. New insights into structural and magnetic properties of Ce doped ZnO nanoparticles. J. Alloys Compds. 2018, 757, 60–69. [Google Scholar] [CrossRef]
- Kosacki, J.; Petrovsky, V.; Anderson, H.U. Raman spectroscopy of nanocrystalline ceria and zirconia thin films. J. Am. Ceram. Soc. 2002, 85, 2646–2650. [Google Scholar] [CrossRef]
- Maensiri, S.; Masingboon, C.; Laokul, P.; Jareonboon, W.; Promarak, V.; Anderson, P.L.; Seraphin, S. Egg white synthesis and photoluminescence of platelike clusters of CeO2 nanoparticles. Cryst. Growth Des. 2007, 7, 950–955. [Google Scholar] [CrossRef]
- Wu, Z.; Li, M.; Howe, J.; Meyer III, H.M.; Overbury, S.H. Probing defect sites on CeO2 nanocrystals with well-defined surface planes by Raman spectroscopy and O2 adsorption. Langmuir 2010, 26, 16595–16606. [Google Scholar] [CrossRef]
- Choudhury, B.; Choudhury, A. Ce3+ and oxygen vacancy mediated tuning of structural and optical properties of CeO2 nanoparticles. Mater. Chem. Phys. 2012, 131, 666–671. [Google Scholar] [CrossRef]
- Li, H.; Meng, F.; Gong, J.; Fan, Z.; Qin, R. Template-free hydrothermal synthesis mechanism and photocatalytic properties of core-shell CeO2 nanospheres. Electron. Mater. Lett. 2018, 14, 474–487. [Google Scholar] [CrossRef]
- Ohhara, K.; Ishikawa, N.; Sakai, S.; Matsumoto, Y.; Michikami, O.; Ohta, Y. Oxygen defects created in CeO2 irradiated with 200 MeV Au ions. Nucl. Instrum. Meth. Phys. Res. B 2009, 267, 973–975. [Google Scholar] [CrossRef]
- Lee, Y.; He, G.; Akey, A.J.; Si, R.; Flytzani-Stephanopoulos, M.; Herman, I.P. Raman analysis of mode softening in nanoparticle CeO2-γ and Au-CeO2-γ during CO oxidation. J. Am. Chem. Soc. 2011, 133, 12952–12955. [Google Scholar] [CrossRef]
- Prieur, D.; Bonani, W.; Popa, K.; Walter, O.; Kriegsman, K.W.; Engelhard, M.H.; Guo, X.; Eloirdi, R.; Gouder, T.; Beck, A.; et al. Size dependence of lattice parameter and electronic structure in CeO2 nanoparticles. Inorg. Chem. 2020, 59, 5760–5767. [Google Scholar] [CrossRef] [PubMed]
- Saitzek, S.; Blach, J.F.; Villain, S.; Gavarri, J.R. Nanostructured ceria: A comparative study from X-ray diffraction, Raman spectroscopy and BET specific surface measurements. Phys. Status Solidi A 2008, 205, 1534–1539. [Google Scholar] [CrossRef]
- Kosacki, A.I.; Suzuki, T.; Anderson, H.U.; Colomban, P. Raman scattering and lattice defects in nanocrystalline CeO2 thin films. Solid State Ion. 2002, 149, 99–105. [Google Scholar] [CrossRef]
- Trogadas, B.P.; Parrondi, J.; Ramani, V. CeO2 surface oxygen vacancy concentration governs in situ free radical scavenging efficiency in polymer electrolytes. ACS Appl. Mater. Interf. 2012, 4, 5098–5102. [Google Scholar] [CrossRef] [PubMed]
- Kumar, S.; Alharthi, F.A.; El Marghany, A.; Amed, F.; Ahmad, N.; Chae, K.H.; Kumari, K. Role of Fe doping on surface morphology, electronic structure and magnetic properties of Fe doped CeO2 thin film. Ceram. Int. 2021, 47, 4012–4019. [Google Scholar] [CrossRef]
- Murugan, R.; Vijayaprasath, G.; Mahalingam, T.; Ravi, G. Enhancement of room ferromagnetic behavior of rf sputtered Ni-CeO2 thin films. Appl. Surf. Sci. 2016, 390, 583–590. [Google Scholar] [CrossRef]
- Alla, S.K.; Kollu, P.; Meena, S.S.; Poswal, H.K.; Prajapat, C.L.; Mandal, R.K.; Prasad, N.K. Investigation of magnetic properties for Hf4+ substituted CeO2 nanoparticles for spintronic applications. J. Mater. Sci. Mater. Electron. 2018, 29, 10614–10623. [Google Scholar] [CrossRef]
- Alla, S.K.; Kollu, P.; Mandal, R.K.; Prasad, N.K. Magnetic properties of Cu doped CeO2 nanostructures prepared by microwave reflexing technique. Ceram. Int. 2018, 44, 7221–7227. [Google Scholar] [CrossRef]
- Naik, M.Z.; Salker, A.V. Effect of indium doping on magnetic properties of cerium oxide nanoparticles. Mater. Chem. Phys. 2018, 212, 336–342. [Google Scholar] [CrossRef]
- Bhakta, N.; Bandyopadhyay, A.; Bajorek, A.; Chakrabarti, P.K. Microstructural analysis, dielectric properties and room temperature magnetic ordering of Pr-doped ZnO nanoparticles. Appl. Phys. A 2019, 25, 811. [Google Scholar] [CrossRef]
- Undre, P.G.; Kharat, P.B.; Kathare, R.V.; Jadhav, K.M. Ferromagnetism of Cu doped ZnO nanoparticles and their physical properties. J. Mater. Sci. Mater. Electron. 2019, 30, 4014–4025. [Google Scholar] [CrossRef]
- Long, L.; Xiong, S.; Meng, M.; Liu, L.; Zhang, J.; Wu, X.; Chu, P.K. Enhancement of ferromagnetism in nonmagnetic metal oxide nanoparticles by facet engineering. Small 2017, 13, 1602951. [Google Scholar] [CrossRef] [PubMed]
- Bernardi, M.I.; Mesquita, A.; Beron, F.; Pirota, K.R.; De Zevallos, A.O.; Doriguetto, A.C.; De Carvalho, M.B. The role of oxygen vacancies and their location in the magnetic properties of Ce1-xCuxO2-δ nanorods. Phys. Chem. Chem. Phys. 2015, 17, 3072–3080. [Google Scholar] [CrossRef] [PubMed]
- Khan, M.A.M.; Siwach, R.; Kumar, S.; Ahmed, M.; Ahmed, J. Frequency and temperature dependence of dielectric permittivity/electric modulus and efficient photocatalytic action of Fe-doped CeO2 NPs. J. Alloy. Compd. 2021, 856, 158127. [Google Scholar] [CrossRef]
- Samet, M.; Levchenko, V.; Boiteux, G.; Seytre, G.; Kallel, A.; Serghei, A. Electrode polarization vs. Maxwell-Wagner-Sillars interfacial polarization in dielectric spectra of materials: Characteristics frequencies and scaling laws. J. Chem. Phys. 2015, 142, 194703. [Google Scholar] [CrossRef] [PubMed]
- Siddique, N.M.; Ahmed, A.; Tripathi, T. Electrical and thermal transport properties of Ni1-xCexO nanostructures. Mater. Chem. Phys. 2020, 251, 123160. [Google Scholar] [CrossRef]
- Jayakumar, G.; Irudayaraj, A.A.; Raj, A.D.; Sundaram, S.; Kaviyarasu, K. Electrical and magnetic properties of nanostructured Ni doped CeO2 for optoelectronic applications. J. Phys. Chem. Solids 2022, 160, 110369. [Google Scholar] [CrossRef]
- Salama, A.H.; Ahmed, A.O.; Abdel-Khalek, A.A.; Fathi, A.M. The influence of preparation technique on the grain size and electrical properties of CeO2/ZnO nanocomposites. Appl. Phys. A 2021, 127, 328. [Google Scholar] [CrossRef]
- Pochard, I.; Vall, M.; Eriksson, J.; Farineau, C.; Cheng, O.; Frykstrand, S.; Welch, K.; Stromme, M. Amine-functionalized mesoporous magnesium carbonate: Dielectric spectroscopy of interactions with water and stability. Mater. Chem. Phys. 2018, 216, 332–338. [Google Scholar] [CrossRef]
- Cole, K.S.; Cole, R.H. Dispersion an absorption in dielectrics I. Alternating current characteristics. J. Chem. Phys. 1941, 9, 341–346. [Google Scholar] [CrossRef]
- Asandulesa, M.; Kostromin, S.; Tameev, A.; Aleksandrov, A.; Bronnikov, S. Molecular dynamics and conductivity of a PTB7:PC71BM photovoltaic polymer blend: A dielectric spectroscopy study. ACS Appl. Polym. Mater. 2021, 3, 4869–4878. [Google Scholar] [CrossRef]
- Sahn, S.; Dutta, H.; Mandal, S.P.; Pradhan, S.K.; Meikap, A.K. Dielectric response of ZrO2-CeO2 nanocrystalline solid solution above room temperature. Phys. B Condens. Matter 2020, 538, 412000. [Google Scholar]
- Srinivasan, M.P.; Punithavelan, N. Investigation of electronic polarization—AC and DC conductivities of CeO2/MnO2 nanocomposite. J. King Saud Univ. Sci. 2022, 34, 101990. [Google Scholar] [CrossRef]
- Suzuki, T.; Kosacki, I.; Anderson, H.U. Microstructure-electrical conductivity relationship in nanocrystalline ceria thin films. Solid State Ion. 2002, 151, 111–121. [Google Scholar] [CrossRef]
- Mishra, K.; Ojha, H.; Chaudhury, N.K. Estimation of antiradical properties of antioxidants using DPPH assay: A critical review and results. Food Chem. 2012, 130, 1036–1043. [Google Scholar] [CrossRef]
- Xue, Y.; Luan, Q.; Yang, D.; Yao, X.; Zhou, K. Direct evidence for hydroxyl radical scavenging activity of cerium oxide nanoparticles. J. Phys. Chem. C 2011, 115, 4433–4438. [Google Scholar] [CrossRef]














| Sample | T (°C) | Precipitating Agent | DXRD (nm) | ν (F2g) (cm−1) | DR(nm) | N (cm−3) |
|---|---|---|---|---|---|---|
| CeO-1 | 80 | NaOH | 13.62 ± 1.64 | 465.2 | 15.97 ± 1.71 | 5.37·1021 |
| CeO-2 | 25 | NaOH | 15.48 ± 1.35 | 464.6 | 21.40 ± 1.83 | 2.83·1021 |
| CeO-3 | 25 | NH4OH | 17.61 ± 1.61 | 464.9 | 25.67 ± 1.94 | 2.66·1021 |
| Sample | σdc (S/m) | ||
|---|---|---|---|
| −100 °C | 25 °C | 200 °C | |
| CeO-1 | 3.1 × 10−12 (±0.07 × 10−12) | 5.5 × 10−7 (±0.14 × 10−7) | 1.6 × 10−6 (±0.04 × 10−6) |
| CeO-2 | 1.5 × 10−12 (±0.03 × 10−12) | 1.5 × 10−7 (±0.03 × 10−7) | 5.5 × 10−8 (±0.11 × 10−8) |
Publisher’s Note: MDPI stays neutral with regard to jurisdictional claims in published maps and institutional affiliations. |
© 2022 by the authors. Licensee MDPI, Basel, Switzerland. This article is an open access article distributed under the terms and conditions of the Creative Commons Attribution (CC BY) license (https://creativecommons.org/licenses/by/4.0/).
Share and Cite
Fifere, N.; Airinei, A.; Asandulesa, M.; Rotaru, A.; Ursu, E.L.; Doroftei, F. Investigating the Vibrational, Magnetic and Dielectric Properties, and Antioxidant Activity of Cerium Oxide Nanoparticles. Int. J. Mol. Sci. 2022, 23, 13883. https://doi.org/10.3390/ijms232213883
Fifere N, Airinei A, Asandulesa M, Rotaru A, Ursu EL, Doroftei F. Investigating the Vibrational, Magnetic and Dielectric Properties, and Antioxidant Activity of Cerium Oxide Nanoparticles. International Journal of Molecular Sciences. 2022; 23(22):13883. https://doi.org/10.3390/ijms232213883
Chicago/Turabian StyleFifere, Nicusor, Anton Airinei, Mihai Asandulesa, Aurelian Rotaru, Elena Laura Ursu, and Florica Doroftei. 2022. "Investigating the Vibrational, Magnetic and Dielectric Properties, and Antioxidant Activity of Cerium Oxide Nanoparticles" International Journal of Molecular Sciences 23, no. 22: 13883. https://doi.org/10.3390/ijms232213883
APA StyleFifere, N., Airinei, A., Asandulesa, M., Rotaru, A., Ursu, E. L., & Doroftei, F. (2022). Investigating the Vibrational, Magnetic and Dielectric Properties, and Antioxidant Activity of Cerium Oxide Nanoparticles. International Journal of Molecular Sciences, 23(22), 13883. https://doi.org/10.3390/ijms232213883

