LC–MS Based Lipidomics Depict Phosphatidylethanolamine as Biomarkers of TNBC MDA-MB-231 over nTNBC MCF-7 Cells
Abstract
1. Introduction
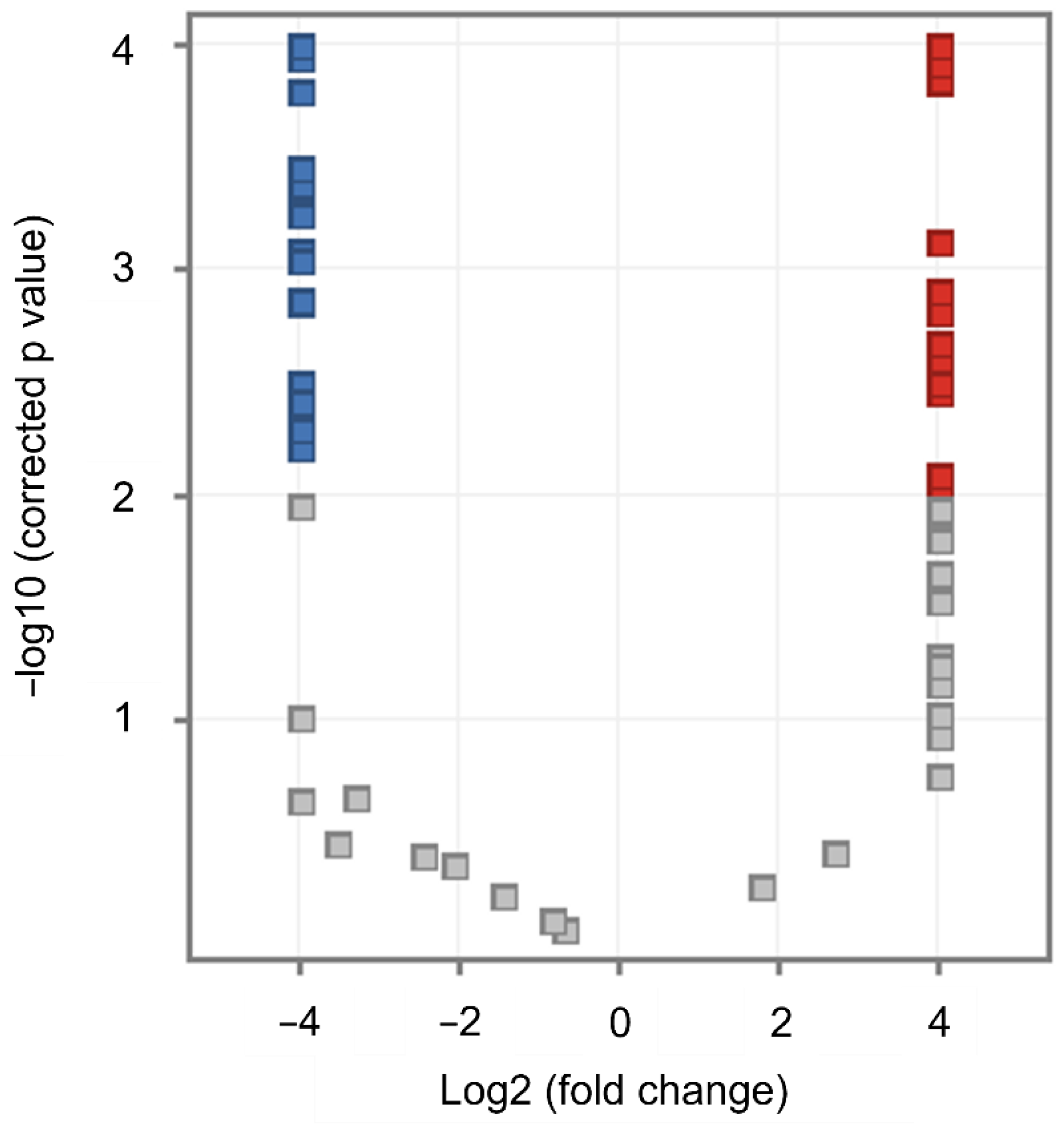
2. Results and Discussion
3. Material and Methods
3.1. Cell Culture
3.2. Lipid Extraction
3.3. LC-ESI-MS Data Acquisition
3.4. LC–MS Data Processing
Author Contributions
Funding
Institutional Review Board Statement
Informed Consent Statement
Data Availability Statement
Acknowledgments
Conflicts of Interest
References
- Sung, H.; Ferlay, J.; Siegel, R.L.; Laversanne, M.; Soerjomataram, I.; Jemal, A.; Bray, F. Global Cancer Statistics 2020: GLOBOCAN Estimates of Incidence and Mortality Worldwide for 36 Cancers in 185 Countries. CA Cancer J. Clin. 2021, 71, 209–249. [Google Scholar] [CrossRef] [PubMed]
- Nurgali, K.; Jagoe, R.T.; Abalo, R. Editorial: Adverse effects of cancer chemotherapy: Anything new to improve tolerance and reduce sequelae? Front. Pharmacol. 2018, 9, 245. [Google Scholar] [CrossRef] [PubMed]
- Johnstone, R.W. Histone-deacetylase inhibitors: Novel drugs for the treatment of cancer. Nat. Rev. Drug Discov. 2002, 1, 287–299. [Google Scholar] [CrossRef] [PubMed]
- Cava, C.; Bertoli, G.; Castiglioni, I. Integrating Genetics and Epigenetics in Breast Cancer: Biological Insights, Experimental, Computational Methods and Therapeutic Potential. BMC Syst. Biol. 2015, 9, 62. [Google Scholar] [CrossRef] [PubMed]
- da Silva, J.L.; Cardoso Nunes, N.C.; Izetti, P.; de Mesquita, G.G.; de Melo, A.C. Triple negative breast cancer: A thorough review of biomarkers. Crit. Rev. Oncol. Hematol. 2020, 145, 102855. [Google Scholar] [CrossRef]
- Harbeck, N.; Penault-Llorca, F.; Cortes, J.; Gnant, M.; Houssami, N.; Poortmans, P.; Ruddy, K.; Tsang, J.; Cardoso, F. Breast Cancer. Nat Rev Dis Primers 2019, 5, 66. [Google Scholar] [CrossRef]
- Nuñez-Abad, M.; Calabuig-Fariñas, S.; Lobo de Mena, M.; Godes Sanz de Bremond, M.J.; García-González, C.; Torres-Martínez, S.; García-García, J.Á.; González-Cruz, V.I.; Camps-Herrero, C. Update on systemic treatment in early triple negative breast cancer. Ther. Adv. Med. Oncol. 2021, 13, 1758835920986749. [Google Scholar] [CrossRef]
- Waks, A.G.; Winer, E.P. Breast Cancer Treatment: A Review. JAMA—J. Am. Med. Assoc. 2019, 321, 288–300. [Google Scholar] [CrossRef]
- Zhao, Y.; Butler, E.B.; Tan, M. Targeting cellular metabolism to improve cancer therapeutics. Cell Death Dis. 2013, 4, e532-10. [Google Scholar] [CrossRef]
- Jang, M.; Kim, S.S.; Lee, J. Cancer cell metabolism: Implications for therapeutic targets. Exp. Mol. Med. 2013, 45, e45-8. [Google Scholar] [CrossRef]
- Broadfield, L.A.; Pane, A.A.; Talebi, A.; Swinnen, J.V.; Fendt, S.M. Lipid metabolism in cancer: New perspectives and emerging mechanisms. Dev. Cell 2021, 56, 1363–1393. [Google Scholar] [CrossRef]
- Røberg-Larsen, H.; Lundanes, E.; Nyman, T.A.; Berven, F.S.; Wilson, S.R. Liquid chromatography, a key tool for the advancement of single-cell omics analysis. Anal. Chim. Acta 2021, 1178, 338551. [Google Scholar] [CrossRef]
- Di Girolamo, F.; Lante, I.; Muraca, M.; Putignani, L. The Role of Mass Spectrometry in the “Omics” Era. Curr. Org. Chem. 2013, 17, 2891–2905. [Google Scholar] [CrossRef]
- Dettmer, K.; Aronov, P.A.; Hammock, B.D. Mass spectrometry-based metabolomics. Mass Spectrom. Rev. 2007, 26, 51–78. [Google Scholar] [CrossRef]
- Cajka, T.; Fiehn, O. Comprehensive analysis of lipids in biological systems by liquid chromatography-mass spectrometry. TrAC—Trends Anal. Chem. 2014, 61, 192–206. [Google Scholar] [CrossRef]
- Sostare, J.; Di Guida, R.; Kirwan, J.; Chalal, K.; Palmer, E.; Dunn, W.B.; Viant, M.R. Comparison of modified Matyash method to conventional solvent systems for polar metabolite and lipid extractions. Anal. Chim. Acta 2018, 1037, 301–315. [Google Scholar] [CrossRef]
- Schrimpe-Rutledge, A.C.; Codreanu, S.G.; Sherrod, S.D.; McLean, J.A. Untargeted Metabolomics Strategies—Challenges and Emerging Directions. J. Am. Soc. Mass Spectrom. 2016, 27, 1897–1905. [Google Scholar] [CrossRef]
- Dudzik, D.; Barbas-Bernardos, C.; García, A.; Barbas, C. Quality assurance procedures for mass spectrometry untargeted metabolomics. a review. J. Pharm. Biomed. Anal. 2018, 147, 149–173. [Google Scholar] [CrossRef]
- Siskos, A.P.; Jain, P.; Ro, W.; Bennett, M.; Achaintre, D.; Asad, Y.; Marney, L.; Richardson, L.; Koulman, A.; Gri, J.L.; et al. Interlaboratory Reproducibility of a Targeted Metabolomics Platform for Analysis of Human Serum and Plasma. Anal. Chem. 2017, 89, 656–665. [Google Scholar] [CrossRef]
- Dai, X.; Cheng, H.; Bai, Z.; Li, J. Breast cancer cell line classification and Its relevance with breast tumor subtyping. J. Cancer 2017, 8, 3131–3141. [Google Scholar] [CrossRef]
- Dubuis, S.; Baenke, F.; Scherbichler, N.; Alexander, L.T.; Schulze, A.; Zamboni, N. Metabotypes of breast cancer cell lines revealed by non-targeted metabolomics. Metab. Eng. 2017, 43, 173–186. [Google Scholar] [CrossRef]
- Nohara, K.; Wang, F.; Spiegel, S. Glycosphingolipid composition of MDA-MB-231 and MCF-7 human breast cancer cell lines. Breast Cancer Res. Treat. 1998, 48, 149–157. [Google Scholar] [CrossRef]
- Lyons, T.G. Targeted Therapies for Triple-Negative Breast Cancer. Curr. Treat. Options Oncol. 2019, 20, 82. [Google Scholar] [CrossRef]
- Azim, H.A.; Ghosn, M.; Oualla, K.; Kassem, L. Personalized treatment in metastatic triple-negative breast cancer: The outlook in 2020. Breast J. 2020, 26, 69–80. [Google Scholar] [CrossRef]
- Wang, W.; Bai, L.; Li, W.; Cui, J. The Lipid Metabolic Landscape of Cancers and New Therapeutic Perspectives. Front. Oncol. 2020, 10, 605154. [Google Scholar] [CrossRef]
- Butler, L.M.; Perone, Y.; Dehairs, J.; Lupien, L.E.; de Laat, V.; Talebi, A.; Loda, M.; Kinlaw, W.B.; Swinnen, J.V. Lipids and cancer: Emerging roles in pathogenesis, diagnosis and therapeutic intervention. Adv. Drug Deliv. Rev. 2020, 159, 245–293. [Google Scholar] [CrossRef]
- Pope, E.D.I.; Kimbrough, E.O.; Vemireddy, L.P.; Surapaneni, P.K.; Copland, J.A., III; Mody, K. Aberrant lipid metabolism as a therapeutic target in liver cancer. Expert Opin. Ther. Targets 2019, 23, 473–483. [Google Scholar] [CrossRef]
- Shakya, S.; Gromovsky, A.D.; Hale, J.S.; Knudsen, A.M.; Prager, B.; Wallace, L.C.; Penalva, L.O.F.; Brown, H.A.; Kristensen, B.W.; Rich, J.N.; et al. Altered lipid metabolism marks glioblastoma stem and non-stem cells in separate tumor niches. Acta Neuropathol. Commun. 2021, 9, 101. [Google Scholar] [CrossRef]
- Hanahan, D. Hallmarks of Cancer: New Dimensions. Cancer Discov. 2022, 12, 31–46. [Google Scholar] [CrossRef]
- Schiliro, C.; Firestein, B.L. Mechanisms of metabolic reprogramming in cancer cells supporting enhanced growth and proliferation. Cells 2021, 10, 1056. [Google Scholar] [CrossRef]
- Cheng, M.; Bhujwalla, Z.M.; Glunde, K. Targeting phospholipid metabolism in cancer. Front. Oncol. 2016, 6, 266. [Google Scholar] [CrossRef] [PubMed]
- Zhu, L.; Bakovic, M. Breast cancer cells adapt to metabolic stress by increasing ethanolamine phospholipid synthesis and CTP:ethanolaminephosphate cytidylyltransferase-Pcyt2 activity. Biochem. Cell Biol. 2012, 90, 188–199. [Google Scholar] [CrossRef] [PubMed]
- Luo, Z.K.; Chen, Q.F.; Qu, X.; Zhou, X.Y. The roles and signaling pathways of phosphatidylethanolamine-binding protein 4 in tumors. Onco. Targets. Ther. 2019, 12, 7685–7690. [Google Scholar] [CrossRef] [PubMed]
- Shah, T.; Krishnamachary, B.; Wildes, F.; Wijnen, J.P.; Glunde, K.; Bhujwalla, Z.M. Molecular causes of elevated phosphoethanolamine in breast and pancreatic cancer cells. NMR Biomed. 2018, 31, e3936. [Google Scholar] [CrossRef]
- Kim, H.Y.; Lee, K.M.; Kim, S.H.; Kwon, Y.J.; Chun, Y.J.; Choi, H.K. Comparative metabolic and lipidomic profiling of human breast cancer cells with different metastatic potentials. Oncotarget 2016, 7, 67111–67128. [Google Scholar] [CrossRef]
- Purwaha, P.; Gu, F.; Piyarathna, D.W.B.; Rajendiran, T.; Ravindran, A.; Omilian, A.R.; Jiralerspong, S.; Das, G.; Morrison, C.; Ambrosone, C.; et al. Unbiased lipidomic profiling of triple-negative breast cancer tissues reveals the association of sphingomyelin levels with patient disease-free survival. Metabolites 2018, 8, 41. [Google Scholar] [CrossRef]
- Xiao, Y.; Ma, D.; Yang, Y.S.; Yang, F.; Ding, J.H.; Gong, Y.; Jiang, L.; Ge, L.P.; Wu, S.Y.; Yu, Q.; et al. Comprehensive metabolomics expands precision medicine for triple-negative breast cancer. Cell Res. 2022, 32, 477–490. [Google Scholar] [CrossRef]
- Eiriksson, F.F.; Nøhr, M.K.; Costa, M.; Bödvarsdottir, S.K.; Ögmundsdottir, H.M.; Thorsteinsdottir, M. Lipidomic study of cell lines reveals differences between breast cancer subtypes. PLoS ONE 2020, 15, e0231289. [Google Scholar] [CrossRef]
- Sun, X.; Wang, M.; Wang, M.; Yu, X.; Guo, J.; Sun, T.; Li, X.; Yao, L.; Dong, H.; Xu, Y. Metabolic Reprogramming in Triple-Negative Breast Cancer. Front. Oncol. 2020, 10, 428. [Google Scholar] [CrossRef]
- Camarda, R.; Zhou, Z.; Kohnz, R.A.; Balakrishnan, S.; Mahieu, C.; Anderton, B.; Eyob, H.; Kajimura, S.; Tward, A.; Krings, G.; et al. Inhibition of fatty acid oxidation as a therapy for MYC- overexpressing triple-negative breast cancer. Nat. Med. 2016, 22, 427–432. [Google Scholar] [CrossRef]



| Lipid Class | Lipid Type | Lipid | Dysregulation Tendency | 
|---|---|---|---|
| Glycerophospholipids | Phosphatidylcholine | PC(18:1(11Z)/14:1(9Z)) | Up | 
| PC(20:4(8Z,11Z,14Z,17Z)/22:5(7Z,10Z,13Z,16Z,19Z)) | Down | ||
| Lysophosphatidylcholine | LysoPC(17:0) | Up | |
| LysoPC(20:4(8Z,11Z,14Z,17Z)) | Down | ||
| Phosphatidylethanolamine | PE(20:2(11Z,14Z)/14:0) | Up | |
| PE(16:0/14:0) | Up | ||
| PE(18:3(6Z,9Z,12Z)/20:3(8Z,11Z,14Z)) | Up | ||
| PE(18:2(9Z,12Z)/14:0) | Up | ||
| PE(18:3(9Z,12Z,15Z)/18:3(6Z,9Z,12Z)) | Up | ||
| PE(14:1(9Z)/20:2(11Z,14Z)) | Up | ||
| PE(18:2(9Z,12Z)/20:3(5Z,8Z,11Z)) | Up | ||
| PE(20:3(8Z,11Z,14Z)/P-18:1(11Z)) | Down | ||
| PE(18:4(6Z,9Z,12Z,15Z)/P-18:0) | Down | ||
| PE(20:5(5Z,8Z,11Z,14Z,17Z)/P-18:0) | Down | ||
| PE(P-18:1(9Z)/22:5(7Z,10Z,13Z,16Z,19Z)) | Down | ||
| PE(P-18:0/16:0) | Down | ||
| PE(P-18:1(9Z)/20:5(5Z,8Z,11Z,14Z,17Z)) | Down | ||
| PE(P-18:1(9Z)/22:6(4Z,7Z,10Z,13Z,16Z,19Z)) | Down | ||
| PE(P-18:1(9Z)/18:0) | Down | ||
| PE(P-18:0/14:0) | Down | ||
| Lysophosphatidylethanolamine | LysoPE(18:0/0:0) | Up | |
| LysoPE(18:1(9Z)/0:0) | Up | ||
| LysoPE(22:6(4Z,7Z,10Z,13Z,16Z,19Z)/0:0) | Down | ||
| Sphingolipids | Ceramides | Cer(d18:0/24:0) | Up | 
| Cer(d18:0/26:1(17Z)) | Up | ||
| Up | |||
| Lactosylceramide (d18:1/24:0) | Down | ||
| Trihexosylceramide (d18:1/16:0) | Down | ||
| Trihexosylceramide (d18:1/24:0) | Down | ||
| Sphingomyelin | SM(d18:0/18:1(9Z)) | Down | |
| Glycerolipids | Monoradyglycerol | MG(18:0e/0:0/0:0) | Down | 
| Triglycerides | TG(16:0/18:3(9Z,12Z,15Z)/22:0) | Up | |
| TG(14:1(9Z)/15:0/22:2(13Z,16Z)) | Down | ||
| Otros | Heptadecanoyl carnitine | Up | |
| beta-Sitosterol palmitate | Up | ||
| Sphingosine | Up | ||
| Isopeonidin 3-rutinoside | Up | ||
| 1,2,4-Nonadecanetriol | Down | ||
| Propylene glycol stearate | Down | ||
| AS 1-5 | Down | ||
| CE(22:6(4Z,7Z,10Z,13Z,16Z,19Z)) | Down | ||
| 20,24-Epoxy-25,26-dihydroxydammaran-3-one | Down | ||
| Bullatin | Down | 
| Publisher’s Note: MDPI stays neutral with regard to jurisdictional claims in published maps and institutional affiliations. | 
© 2022 by the authors. Licensee MDPI, Basel, Switzerland. This article is an open access article distributed under the terms and conditions of the Creative Commons Attribution (CC BY) license (https://creativecommons.org/licenses/by/4.0/).
Share and Cite
Estrada-Pérez, A.R.; Bakalara, N.; García-Vázquez, J.B.; Rosales-Hernández, M.C.; Fernández-Pomares, C.; Correa-Basurto, J. LC–MS Based Lipidomics Depict Phosphatidylethanolamine as Biomarkers of TNBC MDA-MB-231 over nTNBC MCF-7 Cells. Int. J. Mol. Sci. 2022, 23, 12074. https://doi.org/10.3390/ijms232012074
Estrada-Pérez AR, Bakalara N, García-Vázquez JB, Rosales-Hernández MC, Fernández-Pomares C, Correa-Basurto J. LC–MS Based Lipidomics Depict Phosphatidylethanolamine as Biomarkers of TNBC MDA-MB-231 over nTNBC MCF-7 Cells. International Journal of Molecular Sciences. 2022; 23(20):12074. https://doi.org/10.3390/ijms232012074
Chicago/Turabian StyleEstrada-Pérez, Alan Rubén, Norbert Bakalara, Juan Benjamín García-Vázquez, Martha Cecilia Rosales-Hernández, Cynthia Fernández-Pomares, and José Correa-Basurto. 2022. "LC–MS Based Lipidomics Depict Phosphatidylethanolamine as Biomarkers of TNBC MDA-MB-231 over nTNBC MCF-7 Cells" International Journal of Molecular Sciences 23, no. 20: 12074. https://doi.org/10.3390/ijms232012074
APA StyleEstrada-Pérez, A. R., Bakalara, N., García-Vázquez, J. B., Rosales-Hernández, M. C., Fernández-Pomares, C., & Correa-Basurto, J. (2022). LC–MS Based Lipidomics Depict Phosphatidylethanolamine as Biomarkers of TNBC MDA-MB-231 over nTNBC MCF-7 Cells. International Journal of Molecular Sciences, 23(20), 12074. https://doi.org/10.3390/ijms232012074
 
        


 
       