Comparative Transcriptome Analysis and Genetic Methods Revealed the Biocontrol Mechanism of Paenibacilluspolymyxa NSY50 against Tomato Fusarium Wilt
Abstract
1. Introduction
2. Results
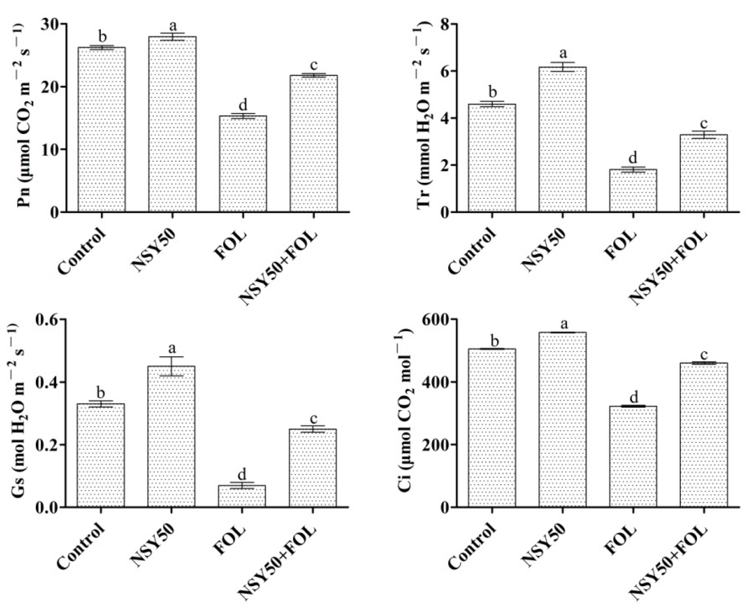
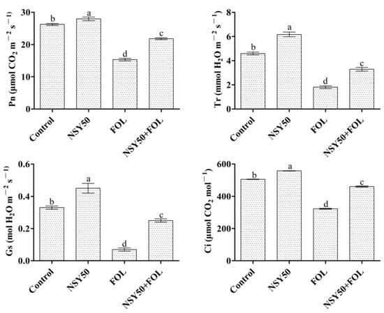
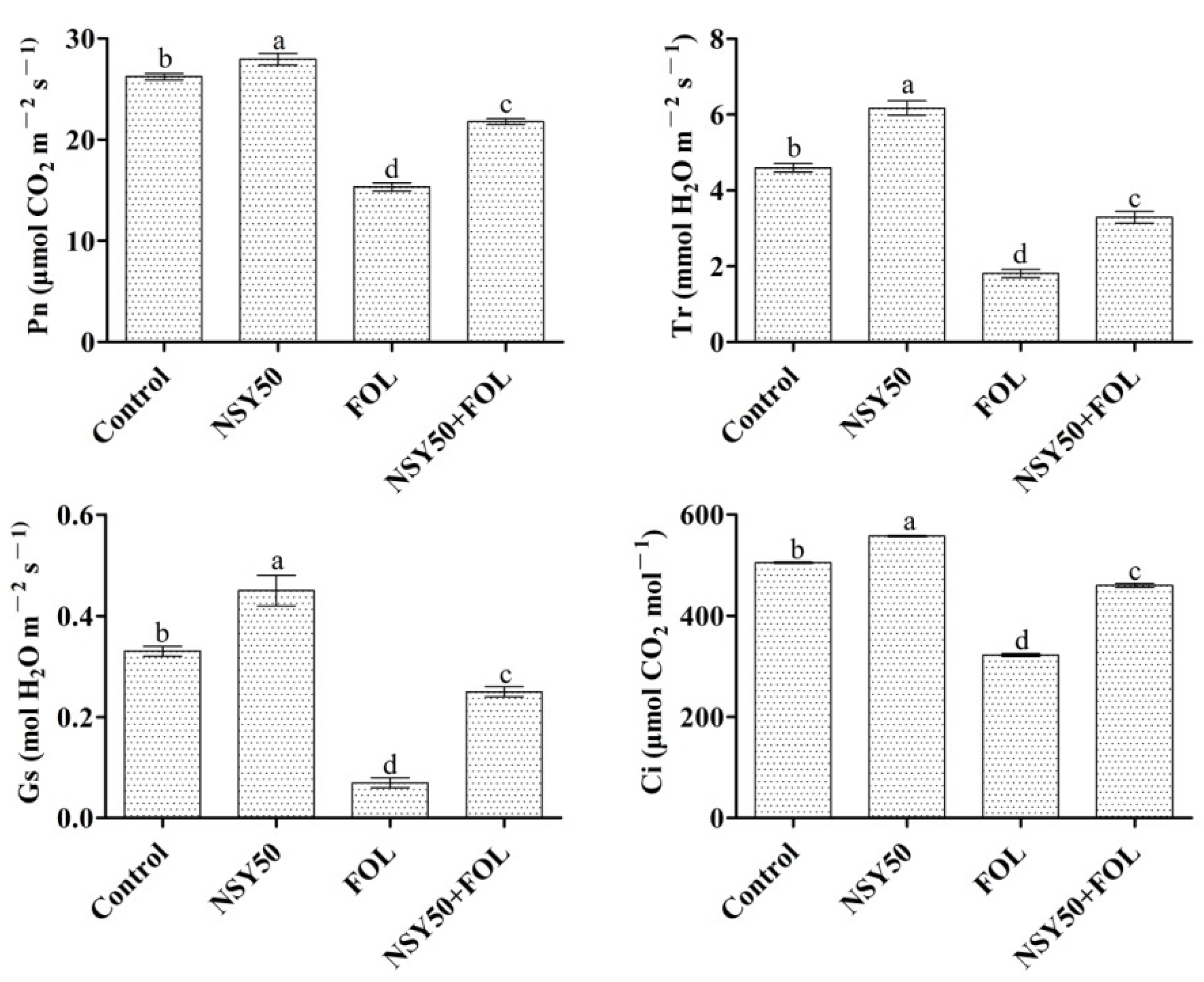
2.1. P. Polymyxa NSY50 Can Effectively Relieve the Damage of Fol to Tomato
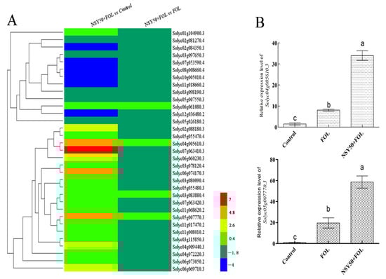
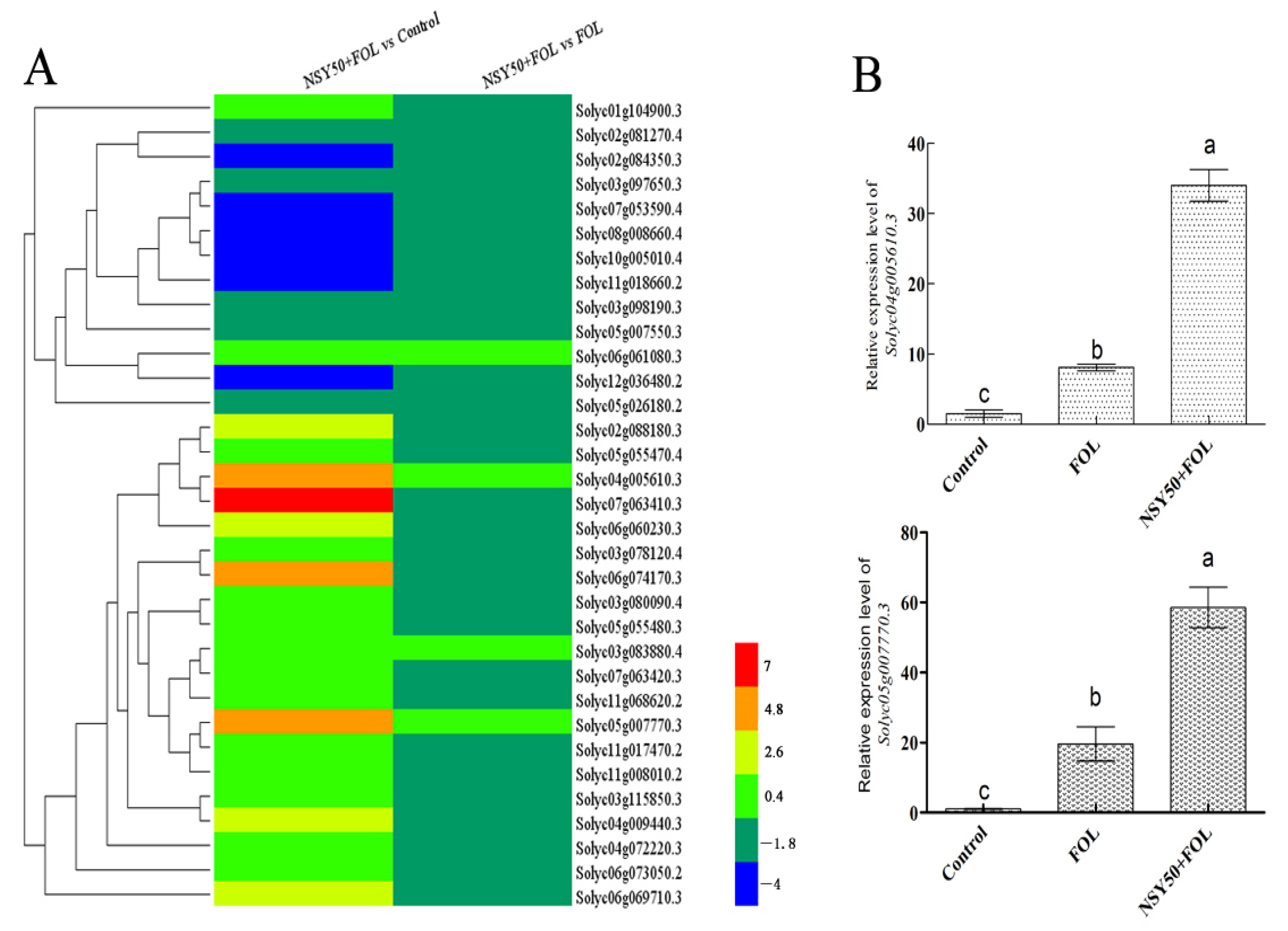
2.2. Identification and Functional Annotation of DEGs in the Process of NSY50 Biological Control Fol
2.3. GO and KEGG Pathway Analysis of DEGs
2.4. Identification of NAC Transcription Factors in Tomato after Fol Infection
2.5. SlNAP1 Promotes Plant Growth and Relieves the Harmful Effect of Fol on Tomato
3. Discussion
4. Materials and Methods
4.1. Plant Material, Microbial Culture and Inoculation Treatment
4.2. Biocontrol Evaluation of NSY50
4.3. RNA Extraction and qRT-PCR Analysis
4.4. Sequencing Library Construction, Sequencing, Quality Control and Mapping
4.5. Screening of DEGs, Annotation, GO and KEGG Analysis
4.6. Construction and Resistance Evaluation of Overexpression and Knockout Plants
4.7. Statistical Analysis
5. Conclusions
Supplementary Materials
Author Contributions
Funding
Institutional Review Board Statement
Informed Consent Statement
Data Availability Statement
Conflicts of Interest
References
- Stout, M.J.; Kurabchew, H.; Leite, G.L.D. Chapter 9-Host-Plant Resistance in Tomato. In Sustainable Management of Arthropod Pests of Tomato; Wakil, W., Brust, G.E., Perring, T.M., Eds.; Academic Press: New York, NY, USA, 2018; pp. 217–236. [Google Scholar]
- Joshi, R. A review of Fusarium oxysporum on its plant interaction and industrial use. J. Med. PlantsStud. 2018, 6, 112–115. [Google Scholar] [CrossRef]
- Shahzad, R.; Tayade, R.; Shahid, M.; Hussain, A.; Ali, M.W.; Yun, B.W. Evaluation potential of PGPR to protect tomato against Fusarium wilt and promote plant growth. PeerJ 2021, 9, e11194. [Google Scholar]
- Walker, J.C. Fusarium wilt of tomato. Monograph No.6. U.S.A. Am. Phytopathol. Soc. 1971, 147, 155–161. [Google Scholar]
- Nofal, A.M.; El-Rahman, M.A.; Abdelghany, T.M.; Abd El-Mongy, M. Mycoparasitic nature of Egyptian Trichoderma isolates and their impact on suppression Fusarium wilt of tomato. Egypt J. Biol. Pest.Control 2021, 31, 103. [Google Scholar] [CrossRef]
- Okungbowa, F.I.; Shittu, H.O. Fusarium Wilts: An Overview. Environ. Res. 2014, 6, 83–102. [Google Scholar]
- Alamri, S.A.M.; Hashem, M.; Moustafa, Y.S.; Nafady, N.A.; Abo-Elyousr, K.A.M. Biological control of root rot in lettuce caused by Exserohilum rostratum and Fusarium oxysporum via induction of the defense mechanism. Biol. Control 2019, 128, 76–84. [Google Scholar] [CrossRef]
- Bohn, G.W.; Tucker, C.M. Studies on Fusarium wilt of the Tomato. I. Immunity in Lycopersicon pimpinellifolium Mill, and its inheritance in hybrids. Missouri Agric. Exp. Stn. Res. Bull. 1940, 311, 1–82. [Google Scholar]
- Datnoff, L.E.; Nemec, S.; Pernezny, K. Biological Control of Fusarium Crown and Root Rot of Tomato in Florida Using Trichoderma harzianum and Glomus intraradices. Biol. Control 1995, 5, 427–431. [Google Scholar] [CrossRef]
- Gupta, C.P.; Sharma, A.; Dubey, R.C.; Maheshwari, D.K. Pseudomonas aeruginosa (GRC1) as a strong antagonist of Macrophomina phaseolina and Fusarium oxysporum. Cytobios 1999, 99, 183–189. [Google Scholar]
- Ramezani, H. Efficacy of some fungal and bacterial bioagents against Fusarium oxysporum f. sp. Cicerion chickpea. Plant Prot. J. 2009, 1, 108–113. [Google Scholar]
- Sallam, N.M.A.; Eraky, A.M.I.; Sallam, A. Effect of Trichoderma spp. on Fusarium wilt disease of tomato. Mol. Biol. Rep. 2019, 46, 4463–4470. [Google Scholar] [CrossRef] [PubMed]
- Akköprü, A.; Demir, S. Biological control of Fusarium wilt in tomato caused by Fusarium oxysporum f. sp. lycopersici by AMF Glomus intraradices and some rhizobacteria. J. Phytopathol. 2005, 153, 544–550. [Google Scholar]
- Kloepper, J.W.; Leong, J.; Teintze, M.; Schroth, M.N. Enhanced plant growth by siderophores produced by plant growth-promoting rhizobacteria. Nature 1980, 286, 885–886. [Google Scholar] [CrossRef]
- Bhardwaj, D.; Ansari, M.W.; Sahoo, R.K.; Tuteja, N. Biofertilizers function as key player in sustainable agriculture by improving soil fertility, plant tolerance and crop productivity. Microb. Cell Fact. 2014, 13, 66. [Google Scholar] [CrossRef] [PubMed]
- Pieterse, C.; Zamioudis, C.; Berendsen, R.L.; Weller, D.M.; Wees, S.V.; Bakker, P. Induced systemic resistance by beneficial microbes. Ann. Rev. Phytopathol. 2014, 52, 347–375. [Google Scholar] [CrossRef]
- Chowdhury, S.P.; Hartmann, A.; Gao, X.; Borriss, R. Biocontrol mechanism by root-associated Bacillus amyloliquefaciens FZB42-a review. Front. Microbiol. 2015, 6, 780. [Google Scholar] [CrossRef] [PubMed]
- Mishra, A.; Singh, S.P.; Mahfooz, S.; Singh, S.P.; Bhattacharya, A.; Mishra, N.; Nautiyal, C.S. Endophyte-Mediated Modulation of Defense-Related Genes and Systemic Resistance in Withania somnifera (L.) Dunal under Alternaria alternata stress. Appl. Environ. Microbiol. 2018, 84, e02845-17. [Google Scholar] [CrossRef]
- Glick, B.R. The enhancement of plant growth by free-living bacteria. Can. J. Microbiol. 1995, 41, 109–117. [Google Scholar] [CrossRef]
- Mohmood, T.; Gupta, K.J.; Kaiser, W.M. Cadmium stress stimulates nitric oxide production by wheat roots. Pak. J. Bot. 2009, 41, 1285–1290. [Google Scholar]
- Grady, E.N.; Macdonald, J.; Liu, L.; Richman, A.; Yuan, Z.C. Current knowledge and perspectives of Paenibacillus: A review. Microb. Cell Fact. 2016, 15, 203. [Google Scholar] [CrossRef]
- Khan, Z.; Kim, S.G.; Jeon, Y.H.; Khan, H.U.; Son, S.H.; Kim, Y.H. A plant growth promoting rhizobacterium, Paenibacillus polymyxa strain GBR-1, suppresses root-knot nematode. Bioresour. Technol. 2008, 99, 3016–3023. [Google Scholar] [CrossRef] [PubMed]
- Ren, X.; Zhang, N.; Cao, M.; Wu, K.; Shen, Q.; Huang, Q. Biological control of tobacco black shank and colonization of tobacco roots by a Paenibacillus polymyxa strain C5. Biol. Fertil. Soils 2012, 48, 613–620. [Google Scholar] [CrossRef]
- Shi, L.; Du, N.; Shu, S.; Sun, J.; Li, S.; Guo, S. Paenibacillus polymyxa NSY50 suppresses Fusarium wilt in cucumbers by regulating the rhizospheric microbial community. Sci. Rep. 2017, 7, 41234. [Google Scholar] [CrossRef] [PubMed]
- Padda, K.P.; Puri, A.; Chanway, C.P. Paenibacillus polymyxa: A Prominent Biofertilizer and Biocontrol Agent for Sustainable Agriculture. In Agriculturally Important Microbes for Sustainable Agriculture: Volume 2: Applications in Crop Production and Protection; Springer: Singapore, 2017; pp. 65–191. [Google Scholar]
- Du, N.; Shi, L.; Yuan, Y.; Li, B.; Shu, S.; Sun, J.; Guo, S. Proteomic Analysis Reveals the Positive Roles of the Plant-Growth-Promoting Rhizobacterium NSY50 in the Response of Cucumber Roots to Fusarium oxysporum f. sp. cucumerinum Inoculation. Front. Plant Sci. 2016, 7, 1859. [Google Scholar] [CrossRef] [PubMed]
- Du, N.; Shi, L.; Yuan, Y.; Sun, J.; Shu, S.; Guo, S. Isolation of a potential biocontrol agent Paenibacillus polymyxa NSY50 from vinegar waste compost and its induction of host defense responses against Fusarium wilt of cucumber. Microbiol. Res. 2017, 202, 1–10. [Google Scholar] [CrossRef]
- Yi, J.; Zhang, D.; Cheng, Y.; Tan, J.; Luo, Y. The impact of Paenibacillus polymyxa HY96-2 luxS on biofilm formation and control of tomato bacterial wilt. Appl. Microbiol. Biotechnol. 2019, 103, 9643–9657. [Google Scholar] [CrossRef] [PubMed]
- Mei, L.; Liang, Y.; Zhang, L.; Wang, Y.; Guo, Y. Induced systemic resistance and growth promotion in tomato by an indole-3-acetic acid-producing strain of Paenibacillus polymyxa. Ann. Appl. Biol. 2014, 165, 270–279. [Google Scholar] [CrossRef]
- Wan, T.; Zhao, H.; Wang, W. Effects of the biocontrol agent Bacillus amyloliquefaciens SN16-1 on the rhizosphere bacterial community and growth of tomato. J. Phytopathol. 2017, 166, 324–332. [Google Scholar] [CrossRef]
- Abo-Elyousr, K.A.M.; Mohamed, H.M. Biological Control of Fusarium Wilt in Tomato by Plant Growth-Promoting Yeasts and Rhizobacteria. Plant Pathol. J. 2009, 25, 199–204. [Google Scholar] [CrossRef]
- Islam, A.; Kabir, M.S.; Khair, A. Molecular Identification and Evaluation of Indigenous Bacterial Isolates for Their Plant Growth Promoting and Biological Control Activities against Fusarium Wilt Pathogen of Tomato. Plant Pathol. J. 2019, 35, 137–148. [Google Scholar] [CrossRef]
- Abbasi, S.; Safaie, N.; Sadeghi, A.; Shamsbakhsh, M. Streptomyces strains Induce Resistance to Fusarium oxysporum f. sp. lycopersici race 3 in tomato through different molecular mechanisms. Front. Microbiol. 2019, 10, 1505. [Google Scholar] [PubMed]
- Boukerma, L.; Benchabane, M.; Charif, A.; Khelifi, L. Activity of Plant Growth Promoting Rhizobacteria (PGPRs) in the Biocontrol of Tomato Fusarium Wilt. Plant Prot. Sci. 2017, 53, 78–84. [Google Scholar]
- Ruppel, S. Isolation and Characterization of Dinitrogen-Fixing Bacteria from The Rhizosphere of Triticum Aestivum and Ammophila Arenaria. Dev. Soil Sci. 1989, 18, 253–262. [Google Scholar]
- Gouzou, L.; Burtin, G.; Philippy, R.; Bartoli, F.; Heulin, T. Effect of inoculation with Bacillus polymyxa on soil aggregation in the wheat rhizosphere: Preliminary examination. Geoderma 1993, 56, 479–491. [Google Scholar] [CrossRef]
- Lebuhn, M.; Heulin, T.; Hartmann, A. Production of auxin and other indolic and phenolic compounds by Paenibacillus polymyxa strains isolated from different proximity to plant roots. FEMS Microbiol. Ecol. 1997, 22, 325–334. [Google Scholar] [CrossRef]
- Liu, W.W.; Wei, M.U.; Zhu, B.Y.; You-Chen, D.U.; Liu, F. Antagonistic Activities of Volatiles from Four Strains of Bacillus spp. and Paenibacillus spp. Against Soil-Borne Plant Pathogens. Agric. Sci. China 2008, 7, 1104–1114. [Google Scholar] [CrossRef]
- Raza, W.; Yang, X.; Wu, H.; Wang, Y.; Xu, Y.; Shen, Q. Isolation and characterisation of fusaricidin-type compound-producing strain of Paenibacillus polymyxa SQR-21 active against Fusarium oxysporum f.sp. nevium. Eur. J. Plant Pathol. 2009, 125, 471–483. [Google Scholar] [CrossRef]
- Deng, Y.; Lu, Z.; Lu, F.; Wang, Y.; Bie, X. Study on an antimicrobial protein produced by Paenibacillus polymyxa JSa-9 isolated from soil. World J. Microbiol. Biotechnol. 2011, 27, 1803–1807. [Google Scholar] [CrossRef]
- Xu, S.J.; Kim, B.S. Biocontrol of fusarium crown and root rot and promotion of growth of tomato by paenibacillus strains isolated from soil. Mycobiology 2014, 42, 158–166. [Google Scholar] [CrossRef]
- Du, N.; Yang, Q.; Xue, L.; Guo, H.; Lv, J.; Zhang, T.; Dong, X.; Shen, S.; Piao, F. Paenibacillus polymyxa NSY50 Improves Defense Against Fusarium oxysporum by Increasing Photosynthetic Efficiency, Sucrose Metabolism, and Antioxidant Capacity in Cucumber. J. Plant Growth Regul. 2022, in press. [CrossRef]
- Ahammed, G.J.; Mao, Q.; Yan, Y.; Wu, M.; Wang, Y.; Ren, J.; Guo, P.; Liu, A.; Chen, S. Role of Melatonin in Arbuscular Mycorrhizal Fungi-Induced Resistance to Fusarium Wilt in Cucumber. Phytopathology 2020, 110, 999–1009. [Google Scholar] [CrossRef] [PubMed]
- Sevanto, S.; McDowell, N.G.; Dickman, L.T.; Pangle, R.; Pockman, W.T. How do trees die? A test of the hydraulic failure and carbon starvation hypotheses. Plant Cell Environ. 2014, 37, 153–161. [Google Scholar] [CrossRef] [PubMed]
- Kretschmer, M.; Croll, D.; Kronstad, J.W. Maize susceptibility to Ustilago maydis is influenced by genetic and chemical perturbation of carbohydrate allocation. Mol. Plant Pathol. 2017, 18, 1222–1237. [Google Scholar] [CrossRef] [PubMed]
- Rekhter, D.; Ding, Y.; Lüdke, D.; Feussner, K.; Wiermer, M.; Zhang, Y.; Feussner, I. From isochorismate to salicylate: A new reaction mechanism for salicylic acid biosynthesis. bioRxiv 2019, 1, 600–692. [Google Scholar]
- Lin, R.; Zhao, W.; Meng, X.; Wang, M.; Peng, Y. Rice gene OsNAC19 encodes a novel NAC-domain transcription factor and responds to infection by Magnaporthe grisea. Plant Sci. 2007, 172, 120–130. [Google Scholar] [CrossRef]
- Jensen, M.K.; Hagedorn, P.H.; de Torres-Zabala, M.; Grant, M.R.; Rung, J.H.; Collinge, D.B.; Lyngkjaer, M.F. Transcriptional regulation by an NAC (NAM-ATAF1,2-CUC2) transcription factor attenuates ABA signalling for efficient basal defence towards Blumeria graminis f. sp. hordei in Arabidopsis. Plant J. 2008, 56, 867–880. [Google Scholar] [PubMed]
- Bu, Q.; Jiang, H.; Li, C.B.; Zhai, Q.; Zhang, J.; Wu, X.; Sun, J.; Xie, Q.; Li, C. Role of the Arabidopsis thaliana NAC transcription factors ANAC019 and ANAC055 in regulating jasmonic acid-signaled defense responses. Cell Res. 2008, 18, 756–767. [Google Scholar] [CrossRef]
- Wang, J.; Zheng, C.; Shao, X.; Hu, Z.; Li, J.; Wang, P.; Wang, A.; Yu, J.; Shi, K. Transcriptomic and genetic approaches reveal an essential role of the NAC transcription factor SlNAP1 in the growth and defense response of tomato. Hortic. Res. 2020, 7, 209. [Google Scholar] [CrossRef]
- Akram, W.; Anjum, T.; Ahmad, A. Basal susceptibility of tomato varieties against different isolates of Fusarium oxysporum f. sp. Lysopersici. Int. J. Agric. Biol. 2014, 16, 171–176. [Google Scholar]
- Cachinero, J.M.; Hervás, A.; Jiménez-Díaz, R.M.; Tena, M. Plant defence reactions against fusarium wilt in chickpea induced by incompatible race 0 of Fusarium oxysporum f. sp. ciceris and nonhost isolates of F. oxysporum. Plant Pathol. 2002, 51, 765–776. [Google Scholar]
- Zhang, R.H.; Li, J.; Guo, S.R.; Tezuka, T. Effects of exogenous putrescine on gas-exchange characteristics and chlorophyll fluorescence of NaCl-stressed cucumber seedlings. Photosynth. Res. 2009, 100, 155–162. [Google Scholar] [CrossRef] [PubMed]
- Livak, K.J.; Schmittgen, T. Analysis of relative gene expression data using real-time quantitative PCR and the 2-DDCt method. Methods 2001, 25, 402–408. [Google Scholar] [CrossRef] [PubMed]
- Ewing, B.; Green, P. Base-Calling of Automated Sequencer Traces Using Phred. II. Error Probabilities. Genome Res. 1998, 8, 186–194. [Google Scholar] [CrossRef] [PubMed]
- Kim, D.; Langmead, B.; Salzberg, S.L. HISAT: A fast spliced aligner with low memory requirements. Nat. Methods 2015, 12, 357–360. [Google Scholar] [CrossRef]
- Love, M.I.; Huber, W.; Anders, S. Moderated estimation of fold change and dispersion for RNA-seq data with DESeq2. Genome Biol. 2014, 15, 550. [Google Scholar] [CrossRef] [PubMed]
- Young, M.D.; Wakefield, M.J.; Smyth, G.K.; Oshlack, A. Gene ontology analysis for RNA-seq: Accounting for selection bias. Genome Biol. 2010, 11, R14. [Google Scholar] [CrossRef]
- Chen, X.; Mao, X.; Huang, J.; Yang, D.; Wu, J.; Dong, S.; Lei, K.; Ge, G.; Li, C.Y.; Wei, L. KOBAS 2.0: A web server for annotation and identification of enriched pathways and diseases. Nucleic Acids Res. 2011, 39, W316–W322. [Google Scholar]
- Liu, H.; Ding, Y.D.; Zhou, Y.Q.; Jin, W.Q.; Xie, K.B.; Chen, L.L. CRISPR-P 2.0: An Improved CRISPR-Cas9 Tool forGenome Editing in Plants. Mol. Plant 2017, 10, 530–532. [Google Scholar] [CrossRef]
- Cruz-Mendívil, A.; Rivera-López, J.; Germán-Báez, L.J.; López-Meyer, M.; Hernández-Verdugo, S.; López-Valenzuela, J.A.; Reyes-Moreno, C.; Valdez-Ortiz, A. A Simple and Efficient Protocol for Plant Regeneration and Genetic Transformation of Tomato cv. Micro-Tom from Leaf Explants. Hort. Sci. 2011, 46, 1655–1660. [Google Scholar] [CrossRef]





| Treatment | Growth Parameters | Chlorophyll Content/SPAD | DI/% | |||
|---|---|---|---|---|---|---|
| Plant Height/cm | Fresh Weight/g | Dry Weight/g | Root Volume/cm3 | |||
| Control | 19.72 ± 0.21 a | 24.42 ± 1.03 a | 2.32 ± 0.12 a | 13.77 ± 1.05 a | 50.30 ± 0.52 a | 0.00 |
| NSY50 | 20.38 ± 0.26 a | 25.36 ± 1.18 a | 2.43 ± 0.15 a | 13.97 ± 1.39 a | 51.80 ± 0.31 a | 0.00 |
| FOL | 6.47 ± 0.46 c | 4.75 ± 0.19 c | 0.40 ± 0.04 c | 1.30 ± 0.20 c | 22.07 ± 0.88 c | 54.17 ± 1.80 a |
| NSY50 + FOL | 11.41 ± 0.33 b | 9.05 ± 0.65 b | 0.99 ± 0.06 b | 5.29 ± 0.32 b | 39.33 ± 0.64 b | 25.83 ± 2.20 b |
Publisher’s Note: MDPI stays neutral with regard to jurisdictional claims in published maps and institutional affiliations. |
© 2022 by the authors. Licensee MDPI, Basel, Switzerland. This article is an open access article distributed under the terms and conditions of the Creative Commons Attribution (CC BY) license (https://creativecommons.org/licenses/by/4.0/).
Share and Cite
Du, N.; Guo, H.; Fu, R.; Dong, X.; Xue, D.; Piao, F. Comparative Transcriptome Analysis and Genetic Methods Revealed the Biocontrol Mechanism of Paenibacilluspolymyxa NSY50 against Tomato Fusarium Wilt. Int. J. Mol. Sci. 2022, 23, 10907. https://doi.org/10.3390/ijms231810907
Du N, Guo H, Fu R, Dong X, Xue D, Piao F. Comparative Transcriptome Analysis and Genetic Methods Revealed the Biocontrol Mechanism of Paenibacilluspolymyxa NSY50 against Tomato Fusarium Wilt. International Journal of Molecular Sciences. 2022; 23(18):10907. https://doi.org/10.3390/ijms231810907
Chicago/Turabian StyleDu, Nanshan, Hui Guo, Ruike Fu, Xiaoxing Dong, Dongqi Xue, and Fengzhi Piao. 2022. "Comparative Transcriptome Analysis and Genetic Methods Revealed the Biocontrol Mechanism of Paenibacilluspolymyxa NSY50 against Tomato Fusarium Wilt" International Journal of Molecular Sciences 23, no. 18: 10907. https://doi.org/10.3390/ijms231810907
APA StyleDu, N., Guo, H., Fu, R., Dong, X., Xue, D., & Piao, F. (2022). Comparative Transcriptome Analysis and Genetic Methods Revealed the Biocontrol Mechanism of Paenibacilluspolymyxa NSY50 against Tomato Fusarium Wilt. International Journal of Molecular Sciences, 23(18), 10907. https://doi.org/10.3390/ijms231810907

