Effects of Tearing Conditions on the Crack Propagation in a Monolayer Graphene Sheet
Abstract
1. Introduction
2. Results and Discussion
2.1. In-Plane Tearing of a Graphene Ribbon
2.1.1. Effect of Loading Speed at 1 K
2.1.2. Effect of Aspect Ratio at 1 K
2.1.3. Effects of Temperature on In-Plane Tearing
2.2. Out-of-Plane Tearing of Graphene Ribbons
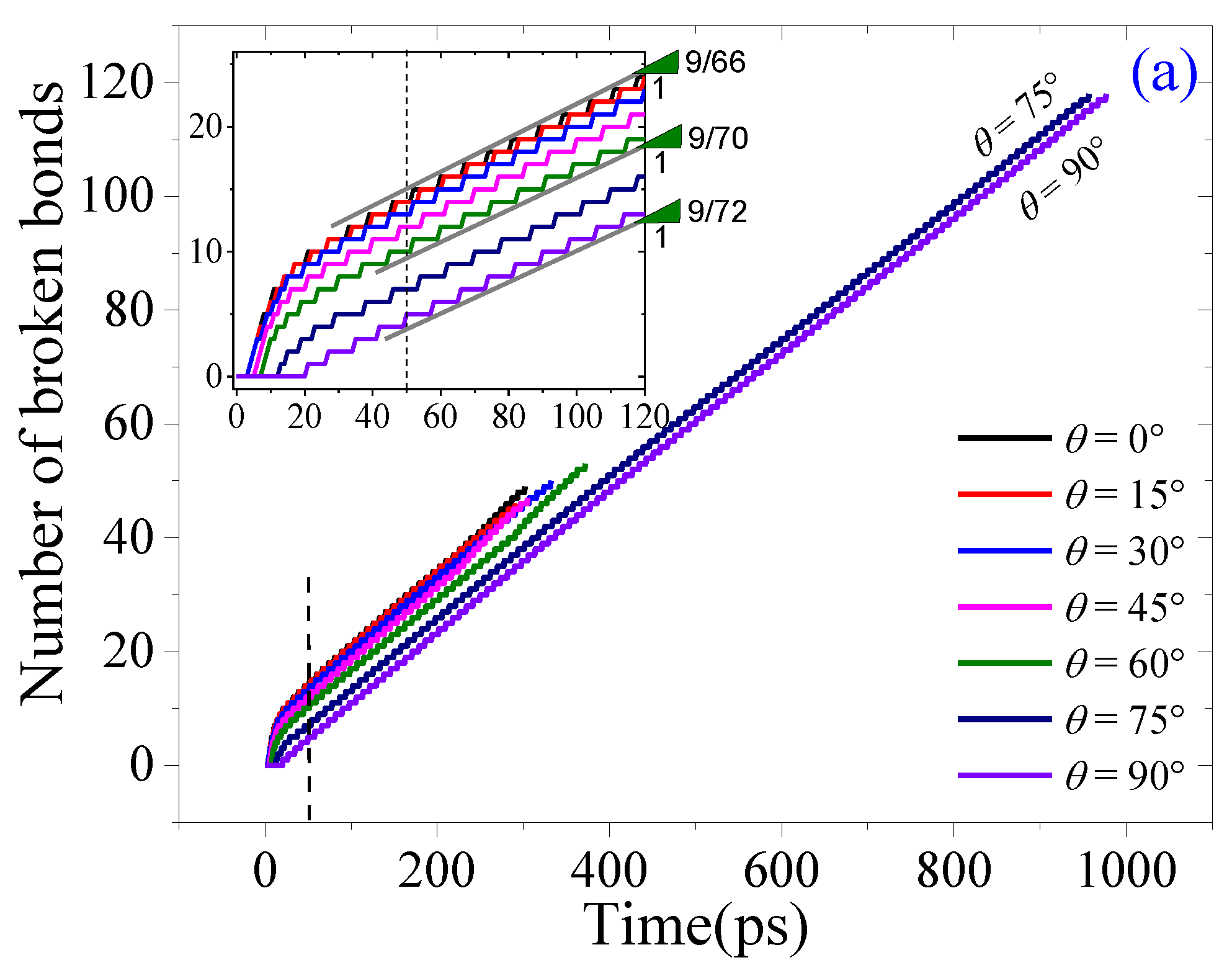
2.3. Oblique Tearing
3. Methodology
4. Conclusions
Supplementary Materials
Author Contributions
Funding
Institutional Review Board Statement
Informed Consent Statement
Data Availability Statement
Conflicts of Interest
References
- Novoselov, K.S.; Geim, A.K.; Morozov, S.V. Electric field effect in atomically thin carbon films. Science 2004, 306, 666–669. [Google Scholar] [CrossRef] [PubMed]
- Peres, N.M.R. The electronic properties of graphene and its bilayer. Vacuum 2009, 83, 1248–1252. [Google Scholar] [CrossRef]
- Geim, A.K.; Novoselov, K.S. The rise of graphene. Nat. Mater. 2007, 6, 183–191. [Google Scholar] [CrossRef] [PubMed]
- Balandin, A.A.; Ghosh, S.; Bao, W.; Calizo, I.; Teweldebrhan, A. Superior thermal conductivity of single-layer graphene. Nano Lett. 2008, 8, 902–907. [Google Scholar] [CrossRef]
- Galiotis, C.; Frank, O.; Koukaras, E.N.; Sfyris, D. Graphene mechanics: Current status and perspectives. Ann. Rev. Chem. Biomol. Eng. 2015, 6, 121–140. [Google Scholar] [CrossRef]
- Akinwande, D.; Brennan, C.J.; Bunch, J.S.; Egberts, P.; Felts, J.R.; Gao, H.; Huang, R.; Kim, J.; Li, T.; Li, Y.; et al. A review on mechanics and mechanical properties of 2D materials—Graphene and beyond. Extr. Mech. Lett. 2017, 13, 42–77. [Google Scholar] [CrossRef]
- Lee, C.; Wei, X.; Kysar, J.W.; Hone, J. Measurement of the elastic properties and intrinsic strength of monolayer graphene. Science 2008, 321, 385–387. [Google Scholar] [CrossRef]
- Bunch, J.S.; van der Zande, A.M.; Verbridge, S.S.; Frank, I.W.; Tanenbaum, D.M.; Parpia, J.M.; Craighead, H.G.; McEuen, P.L. Electromechanical resonators from graphene sheets. Science 2007, 315, 490–492. [Google Scholar] [CrossRef]
- Benameur, M.M.; Gargiulo, F.; Manzeli, S.; Autès, G.; Tosun, M.; Yazyev, O.V.; Kis, A. Electromechanical oscillations in bilayer graphene. Nat. Commun. 2015, 6, 8582. [Google Scholar] [CrossRef][Green Version]
- Kinloch, I.A.; Suhr, J.; Lou, J.; Young, R.J.; Ajayan, P.M. Composites with carbon nanotubes and graphene: An outlook. Science 2018, 362, 547–553. [Google Scholar] [CrossRef]
- Bai, J.; Zhong, X.; Jiang, S.; Huang, Y.; Duan, X. Graphene nanomesh. Nat. Nanotech. 2010, 5, 190–194. [Google Scholar] [CrossRef] [PubMed]
- Blees, M.K.; Barnard, A.W.; Rose, P.A.; Roberts, S.P.; McGill, K.L.; Huang, P.Y.; Ruyack, A.R.; Kevek, J.W.; Kobrin, B.; Muller, D.A.; et al. Graphene kirigami. Nature 2015, 524, 204–207. [Google Scholar] [CrossRef] [PubMed]
- Yang, Y.; Cai, K.; Shi, J.; Xie, Y.M. Nanotextures from orthogonal graphene ribbons: Thermal stability evaluation. Carbon 2019, 144, 81–90. [Google Scholar] [CrossRef]
- Yang, Y.; Cai, K.; Shi, J.; Qin, Q.H. Shrinkage-expansion of a tri-isometric knitting from graphene ribbons at finite temperature. Mater. Design 2020, 185, 108269. [Google Scholar]
- Cai, K.; Li, X.; Shi, J.; Qin, Q.H. Nanospring from partly hydrogenated graphene ribbon: A molecular dynamics study. Appl. Surfac. Sci. 2021, 541, 148507. [Google Scholar]
- Cai, K.; Lin, X.; Zhong, Z.; Shi, J.; Qin, Q. A method for designing tunable chiral mechanical carbon networks for energy storage. Phys. Chem. Chem. Phys. 2021, 23, 26209. [Google Scholar]
- Shi, J.; Wang, A.Q.; Song, B.; Cai, K. A GHz rotary nanoflake driven by diamond needles: A molecular dynamics study. Mater. Design 2020, 191, 108593. [Google Scholar]
- Muniz, A.R.; Machado, A.S.; Maroudas, D. Mechanical behavior of interlayer-bonded nanostructures obtained from bilayer graphene. Carbon 2015, 81, 663–677. [Google Scholar]
- Chen, M.; Muniz, A.R.; Maroudas, D. Formation and mechanical behavior of nanocomposite superstructures from interlayer bonding in twisted bilayer graphene. ACS Appl. Mater. Interfaces 2018, 10, 28898–28908. [Google Scholar] [CrossRef]
- Cai, K.; Yu, J.Z.; Shi, J.; Qin, Q.H. A method for measuring rotation of a thermal carbon nanomotor using centrifugal effect. Sci. Rep. 2016, 6, 27338. [Google Scholar]
- Zhu, C.; Guo, W.L.; Yu, T.X. Energy dissipation of high-speed nanobearings from double-walled carbon nanotubes. Nanotechnology 2008, 19, 465703. [Google Scholar] [CrossRef]
- Shi, J.; Yin, H.; Yu, J.Z.; Liu, L.; Cai, K. Configuration transition between graphene and nanoscroll using kinetic energy injecting method. Comput. Mater. Sci. 2016, 125, 146–153. [Google Scholar] [CrossRef]
- Song, B.; Shi, J.; Hu, C.W.; Wang, J.; Cai, K.; Zhang, C. Recoverability of a gigahertz rotation–translation nanoconvertor with hydrogenated deformable rotor at room temperature. Nanotechnology 2019, 30, 465301. [Google Scholar] [CrossRef] [PubMed]
- Song, B.; Shi, J.; Wang, J.B.; Shen, J.; Cai, K. Ideal oscillation of a hydrogenated deformable rotor in a gigahertz rotation–translation nanoconvertor at low temperature. Sensors 2020, 20, 1969. [Google Scholar] [CrossRef] [PubMed]
- Cai, K.; Sun, S.; Shi, J.; Qin, Q.H. A CNT nanomotor driven by graphene origami. Phys. Rev. Appl. 2021, 15, 054017. [Google Scholar] [CrossRef]
- Cai, K.; Sun, S.; Shi, J.; Zhang, C.; Zhang, Y. Position effects of the graphene–origami actuators on the rotation of a CNT nanomotor. Phys. Chem. Chem. Phys. 2021, 23, 18893–18898. [Google Scholar] [CrossRef]
- Cai, K.; Wan, J.; Yu, J.Z.; Cai, H.; Qin, Q. Molecular dynamics study on welding a defected graphene by a moving fullerene. Appl. Surf. Sci. 2016, 377, 213–220. [Google Scholar] [CrossRef]
- Duan, H.; Hu, H.; Kumar, K.; Shen, Z.; Yang, J.K.W. Direct and reliable patterning of plasmonic nanostructures with sub-10-nm Gaps. ACS Nano 2011, 5, 7593–7600. [Google Scholar] [CrossRef]
- Cui, A.; Liu, Z.; Dong, H.; Wang, Y.; Zhen, Y.; Li, W.; Li, J.; Gu, C.; Hu, W. Single Grain boundary break junction for suspended nanogap electrodes with gap width down to 1-2 nm by focused ion beam milling. Adv. Mater. 2015, 27, 3002–3006. [Google Scholar] [CrossRef]
- Ji, D.; Li, T.; Fuchs, H. Nanosphere lithography for sub-10-nm nanogap electrodes. Adv. Electr. Mater. 2017, 3, 1600348. [Google Scholar] [CrossRef]
- Girit, C.O.; Meyer, J.C.; Erni, R.; Rossell, M.D.; Kisielowski, C.; Yang, L.; Park, C.-H.; Crommie, M.F.; Cohen, M.L.; Louie, S.G.; et al. Graphene at the edge: Stability and dynamics. Science 2009, 323, 1705–1708. [Google Scholar] [CrossRef] [PubMed]
- Li, X.; Wang, X.; Zhang, L.; Lee, S.; Dai, H. Chemically derived, UI-trasmooth graphene nanoribbon semiconductors. Science 2008, 319, 1229–1232. [Google Scholar] [CrossRef] [PubMed]
- Dimiev, A.; Kosynkin, D.V.; Sinitskii, A.; Slesarev, A.; Sun, Z.; Tour, J.M. Layer-by-layer removal of graphene for device patterning. Science 2011, 331, 1168–1172. [Google Scholar] [CrossRef]
- Kosynkin, D.V.; Higginbotham, A.L.; Sinitskii, A.; Lomeda, J.R.; Dimiev, A.; Price, B.K.; Tour, J.M. Longitudinal unzipping of carbon nanotubes to form graphene nanoribbons. Nature 2009, 458, 872–876. [Google Scholar] [CrossRef] [PubMed]
- Jiao, L.; Zhang, L.; Wang, X.; Diankov, G.; Dai, H. Narrow graphene nanoribbons from carbon nanotubes. Nature 2009, 458, 877–880. [Google Scholar] [CrossRef]
- Zhang, H.; Liu, W.; Zhang, Z.; Li, M.; Xua, B.; Guo, J. Direct imaging of a single Ni atom cut graphene to form a graphene nanomesh. Phys. Chem. Chem. Phys. 2018, 2018, 26814. [Google Scholar] [CrossRef]
- Reed, M.A.; Zhou, C.; Muller, C.J.; Burgin, T.P.; Tour, J.M. Conductance of a molecular junction. Science 1997, 278, 252–254. [Google Scholar] [CrossRef]
- Loertscher, E.; Gotsmann, B.; Lee, Y.; Yu, L.; Rettner, C.; Riel, H. Transport properties of a single-molecule diode. ACS Nano 2012, 6, 4931–4939. [Google Scholar] [CrossRef]
- Xiang, D.; Jeong, H.; Lee, T.; Mayer, D. Mechanically controllable break junctions for molecular electronics. Adv. Mater. 2013, 25, 4845–4867. [Google Scholar] [CrossRef]
- Huang, X.; Yang, H.; van Duin, A.C.T.; Hsia, J.; Zhang, S. Chemomechanics control of tearing paths in graphene. Phys. Rev. B 2012, 85, 195453. [Google Scholar] [CrossRef]
- Kim, K.; Artyukhov, V.I.; Regan, W.; Liu, Y.; Crommie, M.F.; Yakobson, B.I.; Zettl, A. Ripping graphene: Preferred directions. Nano Lett. 2012, 12, 293–297. [Google Scholar] [CrossRef] [PubMed]
- Omeltchenko, A.; Yu, J.; Kalia, R.K.; Vashishta, P. Crack front propagation and fracture in a graphite sheet: A molecular-dynamics study on parallel computers. Phys. Rev. Lett. 1997, 78, 2148–2151. [Google Scholar] [CrossRef]
- Xu, M.; Tabarraei, A.; Paci, J.T.; Oswald, J.; Belytschko, T. A coupled quantum/continuum mechanics study of graphene fracture. Int. J. Fract. 2012, 173, 163–173. [Google Scholar] [CrossRef]
- Moura, M.J.B.; Marder, M. Tearing of free-standing graphene. Phys. Rev. E 2013, 88, 032405. [Google Scholar] [CrossRef]
- Khare, R.; Mielke, S.L.; Paci, J.T.; Zhang, S. Coupled quantum mechanical/molecular mechanical modeling of the fracture of defective carbon nanotubes and graphene sheets. Phys. Rev. B 2007, 75, 075412. [Google Scholar] [CrossRef]
- Zhang, T.; Li, X.; Gao, H. Designing graphene structures with controlled distributions of topological defects: A case study of toughness enhancement in graphene ruga. Extr. Mech. Lett. 2014, 1, 3–8. [Google Scholar] [CrossRef]
- Budarapu, P.R.; Javvaji, B.; Sutrakar, V.K.; Mahapatra, D.R.; Zi, G.; Rabczuk, T. Crack propagation in graphene. J. Appl. Phys. 2015, 118, 064307. [Google Scholar] [CrossRef]
- Wang, Y.; Liu, Z. The fracture toughness of graphene during the tearing process. Model. Simul. Mater. Sci. Eng. 2016, 24, 085002. [Google Scholar] [CrossRef]
- Lopez-Polín, G.; Gomez-Herrero, J.; Gomez-Navarro, C. Confining crack propagation in defective graphene. Nano Lett. 2015, 15, 2050–2054. [Google Scholar] [CrossRef]
- Shekhawat, A.; Ritchie, R.O. Toughness and strength of nanocrystalline graphene. Nature Commun. 2016, 7, 10546. [Google Scholar] [CrossRef]
- Dewapriya, M.A.N.; Meguid, S.A. Atomistic simulations of nanoscale crack-vacancy interaction in graphene. Carbon 2017, 125, 113–131. [Google Scholar] [CrossRef]
- Qiang, L.; Arroyo, M.; Huang, R. Elastic bending modulus of monolayer graphene. J. Phys. D Appl. Phys. 2009, 42, 102002. [Google Scholar]
- Charlier, J.C.; Gonze, X.; Michenaud, J.P. Graphite interplanar bonding: Electronic delocalization and van der Waals interaction. Europhys. Lett. 1994, 28, 403. [Google Scholar] [CrossRef]
- Plimpton, S. Fast parallel algorithms for short-range molecular dynamics. J. Computat. Phys. 1995, 117, 1–19. [Google Scholar] [CrossRef]
- Nosé, S. A unified formulation of the constant temperature molecular dynamics methods. J. Chem. Phys. 1984, 81, 511–519. [Google Scholar] [CrossRef]
- Hoover, W.G. Canonical dynamics: Equilibrium phase-space distributions. Phys. Rev. A 1985, 31, 1695–1697. [Google Scholar] [CrossRef]
- Stuart, S.J.; Tutein, A.B.; Harrison, J.A. A reactive potential for hydrocarbons with intermolecular interactions. J. Chem. Phys. 2000, 112, 6472–6486. [Google Scholar] [CrossRef]
- Thompson, A.P.; Plimpton, S.; Mattson, W. General formulation of pressure and stress tensor for arbitrary many-body interaction potentials under periodic boundary conditions. J. Chem. Phys. 2009, 131, 154107. [Google Scholar] [CrossRef]
















| Model | L1 (Å) = AR × L2 | L2 (Å) | AR = L1/L2 |
|---|---|---|---|
| AR1/AR2/AR3/AR4/AR5 | |||
| AC1 | 13.5 | 7.4/16.0/24.6/33.2/49.2 | 1.82/0.84/0.55/0.41/0.27 |
| AC2 | 30.8 | 4.16/1.92/1.25/0.93/0.63 | |
| AC3 | 49.2 | 6.65/3.08/2.00/1.48/1.00 | |
| ZZ1 | 13.5 | 7.1/15.6/24.2/32.7/49.7 | 1.90/0.86/0.56/0.41/0.27 |
| ZZ2 | 30.5 | 4.30/1.96/1.26/0.93/0.61 | |
| ZZ3 | 47.6 | 6.70/3.05/1.97/1.46/0.96 |
| Model | AR1 | AR2 | AR3 | AR4 | AR5 |
|---|---|---|---|---|---|
| In-AC1 | P(−30°) | P(30°) | P(30°) | P(30°) | P(30°) |
| In-AC2 | P(−30°) | P(−30°) | P(−30°) | P(−30°) | P(30°) |
| In-AC3 | P(−30°) | P(−30°) | P(−30°) | P(30°) | P(−30°) |
| In-ZZ1 | P(0°) | P(0°) | P(0°) | P(0°) | P(0°) |
| In-ZZ2 | P(0°) | P(0°) | P(0°) | P(0°) | P(0°) |
| In-ZZ3 | P(−30°) | P(0°) | P(0°) | P(0°) | P(0°) |
| In-AC3 | In-ZZ3 | |||||||||
|---|---|---|---|---|---|---|---|---|---|---|
| AR1 | AR2 | AR3 | AR4 | AR5 | AR1 | AR2 | AR3 | AR4 | AR5 | |
| v = 0.2 | NS | NS | NS | NS | NS | NS | NS | NS | NS | NS |
| v = 0.4 | NS | SC | SC | SC | SC | NS | SS | SS | SS | SS |
| v = 0.6 | SC | SS | SS | SS | SC | SC | SS | SS | SS | SS |
| v = 0.8 | SS | SS | SS | SC | SC | SS | SS | SS | SS | SS |
| v = 1.0 | SC | SC | SC | SC | SC | SC | SS | SS | SC | SC |
Publisher’s Note: MDPI stays neutral with regard to jurisdictional claims in published maps and institutional affiliations. |
© 2022 by the authors. Licensee MDPI, Basel, Switzerland. This article is an open access article distributed under the terms and conditions of the Creative Commons Attribution (CC BY) license (https://creativecommons.org/licenses/by/4.0/).
Share and Cite
Shi, J.; Yu, W.; Hu, C.; Duan, H.; Ji, J.; Kang, Y.; Cai, K. Effects of Tearing Conditions on the Crack Propagation in a Monolayer Graphene Sheet. Int. J. Mol. Sci. 2022, 23, 6471. https://doi.org/10.3390/ijms23126471
Shi J, Yu W, Hu C, Duan H, Ji J, Kang Y, Cai K. Effects of Tearing Conditions on the Crack Propagation in a Monolayer Graphene Sheet. International Journal of Molecular Sciences. 2022; 23(12):6471. https://doi.org/10.3390/ijms23126471
Chicago/Turabian StyleShi, Jiao, Weihua Yu, Chunwei Hu, Haiyan Duan, Jiaxing Ji, Yuanyuan Kang, and Kun Cai. 2022. "Effects of Tearing Conditions on the Crack Propagation in a Monolayer Graphene Sheet" International Journal of Molecular Sciences 23, no. 12: 6471. https://doi.org/10.3390/ijms23126471
APA StyleShi, J., Yu, W., Hu, C., Duan, H., Ji, J., Kang, Y., & Cai, K. (2022). Effects of Tearing Conditions on the Crack Propagation in a Monolayer Graphene Sheet. International Journal of Molecular Sciences, 23(12), 6471. https://doi.org/10.3390/ijms23126471

