Buccal Mucosa Cells as a Potential Diagnostic Tool to Study Onset and Progression of Arrhythmogenic Cardiomyopathy
Abstract
:1. Introduction
2. Results
2.1. Patient Characteristics
2.2. Interpretation of Buccal Mucosa Smears
2.3. Plakoglobin Membrane Labelling in Healthy Controls Is Not Affected by Age or Sex
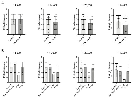
2.4. Plakoglobin Membrane Labelling Is Compromised in ACM Patients
2.5. Plakoglobin Staining Moderately Correlates with 2010 TFC Score in ACM Patients
2.6. Plakoglobin Labelling Is Not Suitable as Classification Tool
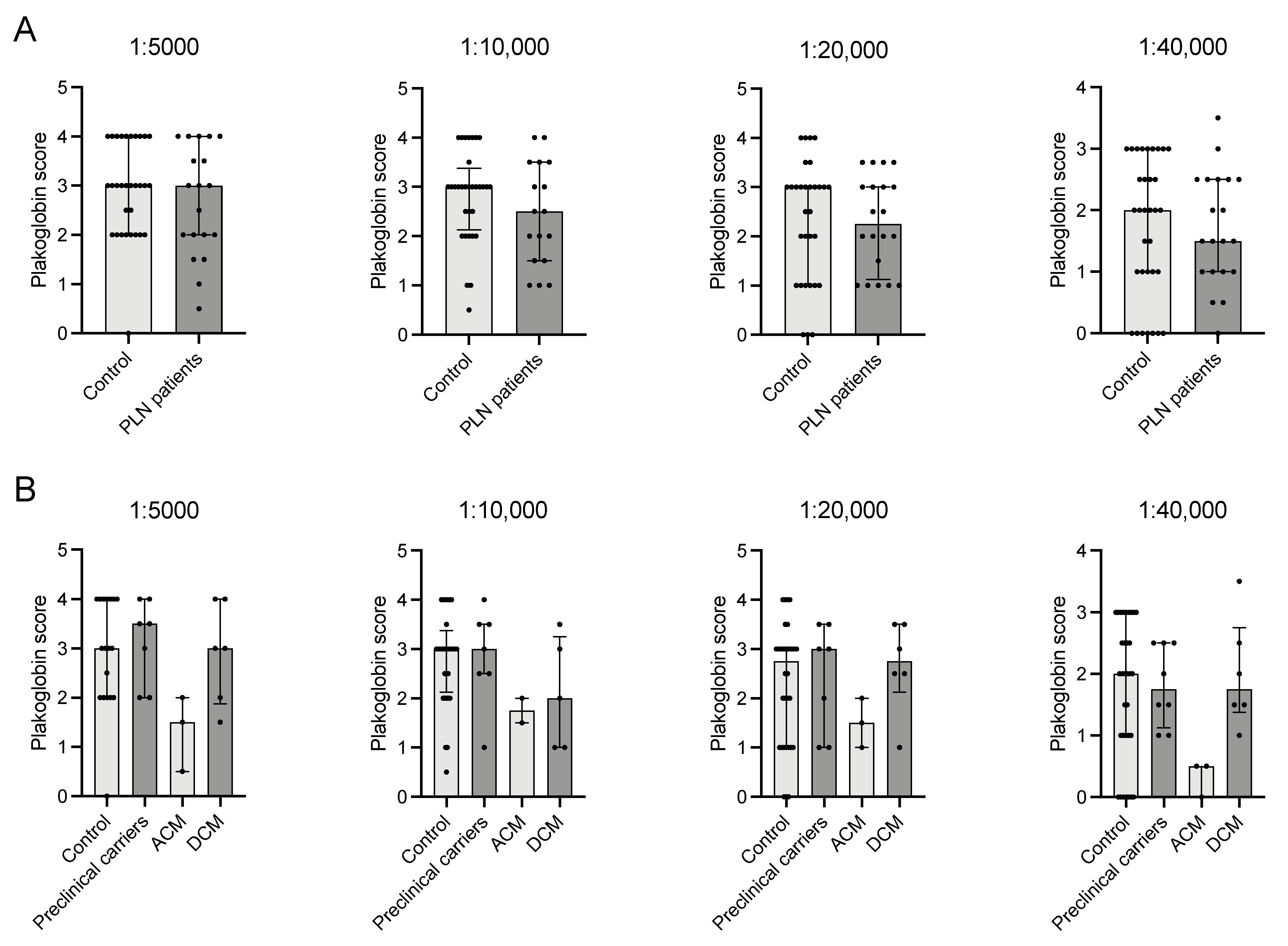
2.7. Plakoglobin Labelling in PLN p.Arg14del Patients Is Comparable to Healthy Controls
3. Discussion
4. Materials and Methods
4.1. Study Population and Clinical Data Assessment
4.2. Collection and Sample Preparation
4.3. Immunohistochemistry and H&E
4.4. Statistical Analysis
5. Conclusions
Author Contributions
Funding
Institutional Review Board Statement
Informed Consent Statement
Data Availability Statement
Acknowledgments
Conflicts of Interest
References
- Saffitz, J.E. Arrhythmogenic cardiomyopathy: Advances in diagnosis and disease pathogenesis. Circulation 2011, 124, e390–e392. [Google Scholar] [CrossRef] [Green Version]
- Cox, M.G.P.J.; van der Zwaag, P.A.; van der Werf, C.; van der Smagt, J.J.; Noorman, M.; Bhuiyan, Z.A.; Wiesfeld, A.C.P.; Volders, P.G.A.; van Langen, I.M.; Atsma, D.E.; et al. Arrhythmogenic right ventricular dysplasia/cardiomyopathy: Pathogenic desmosome mutations in index-patients predict outcome of family screening: Dutch arrhythmogenic right ventricular dysplasia/cardiomyopathy genotype-phenotype follow-up study. Circulation 2011, 123, 2690–2700. [Google Scholar] [CrossRef] [Green Version]
- Anastasakis, A.; Asimaki, A.; Basso, C.; Bauce, B.; Brooke, M.A.; Calkins, H.; Corrado, D.; Duru, F.; Green, K.J.; Judge, D.P. Definition and treatment of arrhythmogenic cardiomyopathy: An updated expert panel report. Eur. J. Heart Fail. 2019, 21, 955–964. [Google Scholar]
- Van der Zwaag, P.A.; van Rijsingen, I.A.W.; Asimaki, A.; Jongbloed, D.A.H.; van Veldhuisen, D.J.; Wiesfeld, A.C.P.; Cox, G.P.J.M.; van Lochem, L.T.; de Boer, R.A.; Hofstra, R.M.W.; et al. Phospholamban R14del mutation in patients diagnosed with dilated cardiomyopathy or arrhythmogenic right ventricular cardiomyopathy: Evidence supporting the concept of arrhythmogenic cardiomyopathy. Eur. J. Heart Fail. 2012, 14, 1199–1207. [Google Scholar] [CrossRef]
- Nasir, K.; Bomma, C.; Tandri, H.; Roguin, A.; Dalal, D.; Prakasa, K.; Tichnell, C.; James, C.; Jspevak, F.; Marcus, F.; et al. Electrocardiographic features of arrhythmogenic right ventricular dysplasia/cardiomyopathy according to disease severity: A need to broaden diagnostic criteria. Circulation 2004, 110, 1527–1534. [Google Scholar] [CrossRef] [Green Version]
- Basso, C.; Ronco, F.; Marcus, F.; Abudureheman, A.; Rizzo, S.; Frigo, A.C.; Bauce, B.; Maddalena, F.; Nava, A.; Corrado, D.; et al. Quantitative assessment of endomyocardial biopsy in arrhythmogenic right ventricular cardiomyopathy/dysplasia: An in vitro validation of diagnostic criteria. Eur. Heart J. 2008, 29, 2760–2771. [Google Scholar] [CrossRef]
- Deckers, J.W.; Hare, J.M.; Baughman, K.L. Complications of transvenous right ventricular endomyocardial biopsy in adult patients with cardiomyopathy: A seven-year survey of 546 consecutive diagnostic procedures in a tertiary referral center. J. Am. Coll. Cardiol. 1992, 19, 43–47. [Google Scholar] [CrossRef] [Green Version]
- Noorman, M.; Hakim, S.; Asimaki, A.; Vreeker, A.; van Rijen, H.V.M.; van der Heyden, M.A.G.; de Jonge, N.; de Weger, R.A.; Hauer, R.N.W.; Saffitz, J.E.; et al. Reduced plakoglobin immunoreactivity in arrhythmogenic cardiomyopathy: Methodological considerations. Cardiovasc. Pathol. 2013, 22, 314–318. [Google Scholar] [CrossRef]
- Asimaki, A.; Tandri, H.; Huang, H.; Halushka, M.K.; Gautam, S.; Basso, C.; Thiene, G.; Tsatsopoulou, A.; Protonotarios, N.; McKenna, W.J.; et al. A New Diagnostic Test for Arrhythmogenic Right Ventricular Cardiomyopathy. N. Engl. J. Med. 2009, 360, 1075–1084. [Google Scholar] [CrossRef]
- Noorman, M.; Hakim, S.; Kessler, E.; Groeneweg, J.A.; Cox, M.G.; Asimaki, A.; van Rijen, H.; van Stuijvenberg, L.; Chkourko, H.; van der Heyden, M.; et al. Remodeling of the cardiac sodium channel, connexin43, and plakoglobin at the intercalated disk in patients with arrhythmogenic cardiomyopathy. Heart Rhythm 2013, 10, 412–419. [Google Scholar] [CrossRef] [Green Version]
- Rijdt, W.P.T.; Asimaki, A.; Jongbloed, J.D.; Hoorntje, E.T.; Lazzarini, E.; van der Zwaag, P.A.; de Boer, R.A.; van Tintelen, J.P.; Saffitz, J.E.; Berg, M.P.V.D.; et al. Distinct molecular signature of phospholamban p.Arg14del arrhythmogenic cardiomyopathy. Cardiovasc. Pathol. 2018, 40, 2–6. [Google Scholar] [CrossRef] [Green Version]
- Asimaki, A.; Protonotarios, A.; James, C.; Chelko, S.; Tichnell, C.; Murray, B.; Tsatsopoulou, A.; Anastasakis, A.; Riele, A.T.; Kléber, A.G.; et al. Characterizing the Molecular Pathology of Arrhythmogenic Cardiomyopathy in Patient Buccal Mucosa Cells. Circ. Arrhythmia Electrophysiol. 2016, 9, e003688. [Google Scholar] [CrossRef] [Green Version]
- Protonotarios, N.; Tsatsopoulou, A. Naxos disease: Cardiocutaneous syndrome due to cell adhesion defect. Orphanet J. Rare Dis. 2006, 1, 4. [Google Scholar] [CrossRef] [Green Version]
- Srinivas, S.M.; Kumar, P.; Basavaraja, G. Carvajal Syndrome. Int. J. Trichology 2016, 8, 53–55. [Google Scholar] [CrossRef]
- Kaplan, S.R.; Gard, J.J.; Carvajal-Huerta, L.; Ruiz-Cabezas, J.C.; Thiene, G.; Saffitz, J.E. Structural and molecular pathology of the heart in Carvajal syndrome. Cardiovasc. Pathol. 2004, 13, 26–32. [Google Scholar] [CrossRef]
- Ermakov, S.; Ursell, P.C.; Johnson, C.J.; Meadows, A.; Zhao, S.; Marcus, G.M.; Scheinman, M. Plakoglobin Immunolocalization as a Diagnostic Test for Arrhythmogenic Right Ventricular Cardiomyopathy. Pacing Clin. Electrophysiol. 2014, 37, 1708–1716. [Google Scholar] [CrossRef]
- Kwon, Y.-S.; Park, T.I.; Cho, Y.; Bae, M.H.; Kim, S. Clinical usefulness of immunohistochemistry for plakoglobin, N-cadherin, and connexin-43 in the diagnosis of arrhythmogenic right ventricular cardiomyopathy. Int. J. Clin. Exp. Pathol. 2013, 6, 2928–2935. [Google Scholar]
- Chen, X.; Chena, L.; Chen, Z.; Chen, X.; Song, J. Remodelling of myocardial intercalated disc protein connexin 43 causes increased susceptibility to malignant arrhythmias in ARVC/D patients. Forensic. Sci. Int. 2017, 275, 14–22. [Google Scholar] [CrossRef]
- Yoshida, T.; Kawano, H.; Kusumoto, S.; Fukae, S.; Koga, S.; Ikeda, S.; Koide, Y.; Abe, K.; Hayashi, T.; Maemura, K. Relationships Between Clinical Characteristics and Decreased Plakoglobin and Connexin 43 Expressions in Myocardial Biopsies From Patients With Arrhythmogenic Right Ventricular Cardiomyopathy. Int. Heart J. 2015, 56, 626–631. [Google Scholar] [CrossRef] [Green Version]
- Begay, R.; Graw, S.L.; Sinagra, G.; Asimaki, A.; Rowland, T.J.; Slavov, D.B.; Gowan, K.; Jones, K.L.; Brun, F.; Merlo, M.; et al. Filamin C Truncation Mutations Are Associated with Arrhythmogenic Dilated Cardiomyopathy and Changes in the Cell–Cell Adhesion Structures. JACC Clin. Electrophysiol. 2018, 4, 504–514. [Google Scholar] [CrossRef]
- Henry, W.L.; Gardin, J.M.; Ware, J.H. Echocardiographic measurements in normal subjects from infancy to old age. Circulation 1980, 62, 1054–1061. [Google Scholar] [CrossRef] [PubMed] [Green Version]
- Bosman, L.P.; Verstraelen, T.E.; van Lint, F.H.M.; Cox, M.; Groeneweg, J.A.; Mast, T.P.; van der Zwaag, P.A.; Volders, P.G.A.; Evertz, R.; Wong, L.; et al. The Netherlands Arrhythmogenic Cardiomyopathy Registry: Design and status update. Neth. Heart J. 2019, 27, 480–486. [Google Scholar] [CrossRef] [PubMed] [Green Version]








| Controls | ACM | PLN | |
|---|---|---|---|
| General | |||
| n | 34 | 33 | 17 |
| Average age | 38.76 (±2.65) | 49.73 (±2.48) ** | 54.29 (±3.21) *** |
| Male | 14 (41) | 19 (58) | 6 (35) |
| Pathogenic variant | |||
| PKP2 | - | 28 (85) | - |
| DSP | - | 2 (6) | - |
| Plakoglobin | - | 1 (3) | - |
| PLN | - | - | 17 (100) |
| No known pathogenic variant | - | 2 (6) | - |
| TFC | |||
| Average | - | 4.70 (±0.43) | 1.75 (±0.60) |
| ACM (TFC ≥ 4) | - | 19 (58) | 3 (18) |
| DCM | - | - | 7 (41) |
| Preclinical variant carrier | - | 14 (42) | 7 (41) |
Publisher’s Note: MDPI stays neutral with regard to jurisdictional claims in published maps and institutional affiliations. |
© 2021 by the authors. Licensee MDPI, Basel, Switzerland. This article is an open access article distributed under the terms and conditions of the Creative Commons Attribution (CC BY) license (https://creativecommons.org/licenses/by/4.0/).
Share and Cite
Driessen, H.E.; van der Voorn, S.M.; Bourfiss, M.; van Lint, F.H.M.; Mirzad, F.; Onsri, L.E.; Vos, M.A.; van Veen, T.A.B. Buccal Mucosa Cells as a Potential Diagnostic Tool to Study Onset and Progression of Arrhythmogenic Cardiomyopathy. Int. J. Mol. Sci. 2022, 23, 57. https://doi.org/10.3390/ijms23010057
Driessen HE, van der Voorn SM, Bourfiss M, van Lint FHM, Mirzad F, Onsri LE, Vos MA, van Veen TAB. Buccal Mucosa Cells as a Potential Diagnostic Tool to Study Onset and Progression of Arrhythmogenic Cardiomyopathy. International Journal of Molecular Sciences. 2022; 23(1):57. https://doi.org/10.3390/ijms23010057
Chicago/Turabian StyleDriessen, Helen E., Stephanie M. van der Voorn, Mimount Bourfiss, Freyja H. M. van Lint, Ferogh Mirzad, Laila El Onsri, Marc A. Vos, and Toon A. B. van Veen. 2022. "Buccal Mucosa Cells as a Potential Diagnostic Tool to Study Onset and Progression of Arrhythmogenic Cardiomyopathy" International Journal of Molecular Sciences 23, no. 1: 57. https://doi.org/10.3390/ijms23010057
APA StyleDriessen, H. E., van der Voorn, S. M., Bourfiss, M., van Lint, F. H. M., Mirzad, F., Onsri, L. E., Vos, M. A., & van Veen, T. A. B. (2022). Buccal Mucosa Cells as a Potential Diagnostic Tool to Study Onset and Progression of Arrhythmogenic Cardiomyopathy. International Journal of Molecular Sciences, 23(1), 57. https://doi.org/10.3390/ijms23010057

