Synergistic Effect of Methyl Jasmonate and Abscisic Acid Co-Treatment on Avenanthramide Production in Germinating Oats
Abstract
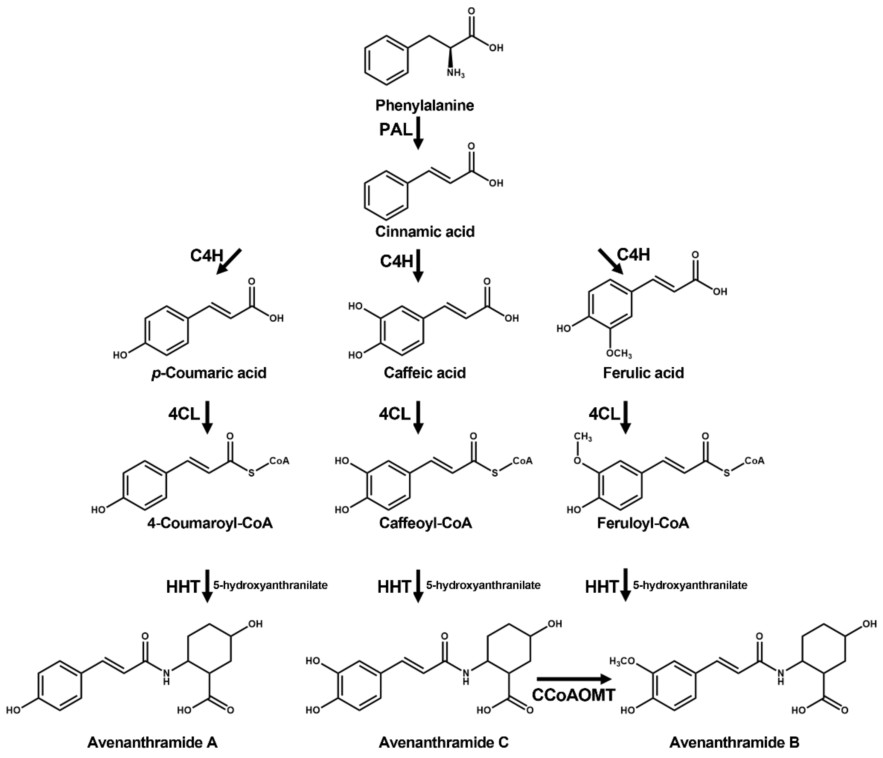
1. Introduction
2. Results
2.1. Avenanthramide Content of Germinating Oats
2.2. Induction of Avenanthramide Production and Expression of Avenanthramide-Biosynthetic Genes in Germinating Oats Following Treatment with Various Elicitors
2.3. Enhanced Production of Avnenathramides by MeJA and/or ABA Treatment
2.4. Synergistic Effect of MeJA and ABA Co-Treatment on Avenanthramide Production in Germinating Oats
2.5. Expression of Avenanthramide-Biosynthesis-Related Genes in MeJA- and ABA-Co-Treated Oats
2.6. Analysis of Avenanthramide Contents and Biosynthetic Gene Expression in Different Organs of Germinating Oats
3. Discussion
4. Materials and Methods
4.1. Plant Materials and Growth Conditions
4.2. Treatment with Various Elicitors and Sample Collection
4.3. Quantification of Avenanthramides by HPLC
4.4. RNA Extraction and qRT-PCR Analysis
4.5. Statistical Analysis
Supplementary Materials
Author Contributions
Funding
Institutional Review Board Statement
Informed Consent Statement
Data Availability Statement
Acknowledgments
Conflicts of Interest
References
- Ramakrishna, A.; Ravishankar, G.A. Influence of abiotic stress signals on secondary metabolites in plants. Plant Signal. Behav. 2011, 6, 1720–1731. [Google Scholar] [PubMed]
- Naik, P.; Al-Khayri, J. Impact of abiotic elicitors on in vitro production of plant secondary metabolites: A Review. J. Adv. Res. Biotechnol. 2016, 1, 1–7. [Google Scholar]
- Ramirez-Estrada, K.; Vidal-Limon, H.; Hidalgo, D.; Moyano, E.; Golenioswki, M.; Cusidó, R.M.; Palazon, J. Elicitation, an effective strategy for the biotechnological production of bioactive high-added value compounds in plant cell factories. Molecules 2016, 21, 182. [Google Scholar] [CrossRef]
- Kliebenstein, D. Secondary metabolites and plant/environment interactions: A view through Arabidopsis thaliana tinged glasses. Plant Cell Environ. 2004, 27, 675–684. [Google Scholar] [CrossRef]
- Collins, F.W. Oat phenolics: Avenanthramides, novel substituted N-cinnamoylanthranilate alkaloids from oat groats and hulls. J. Agric. Food Chem. 1989, 37, 60–66. [Google Scholar] [CrossRef]
- Wise, M.; Doehlert, D.; McMullen, M. Association of avenanthramide concentration in oat (Avena sativa L.) grain with crown rust incidence and genetic resistance. Cereal Chem. 2008, 85, 639–641. [Google Scholar] [CrossRef]
- Ishihara, A.; Ohtsu, Y.; Iwamura, H. Induction of biosynthetic enzymes for aventhramides in elicitor-treated oat leaves. Planta 1999, 208, 512–518. [Google Scholar] [CrossRef]
- Yang, Q.; Hoat, T.; Imai, S.; Ishihara, A.; Zhang, L.; Nakayashiki, H.; Tosa, Y.; Mayama, S. Analysis of the involvement of hydroxyanthranilate hydroxycinnamoyltransferase and caffeoyl-CoA 3-O methyltransferase in phytoalexin biosynthesis in oat. Mol. Plant Microbe Interact. 2004, 17, 81–89. [Google Scholar] [CrossRef]
- Wise, M. Effect of chemical systemic acquired resistance elicitors on avenanthramide biosynthesis in oat (Avena sativa). J. Agric. Food Chem. 2011, 59, 7028–7038. [Google Scholar] [CrossRef] [PubMed]
- Nie, L.; Wise, M.; Peterson, D.; Meydani, M. Avenanthramide, a polyphenol from oats, inhibits vascular smooth muscle cell proliferation and enhances nitric oxide production. Atherosclerosis 2006, 186, 260–266. [Google Scholar] [CrossRef] [PubMed]
- Guo, W.; Nie, L.; Wu, D.; Wise, M.; Collins, F.W.; Meydani, S.; Meydani, M. Avenanthramides inhibit proliferation of human colon cancer cell lines in vitro. Nutr. Cancer 2010, 62, 1007–1016. [Google Scholar] [CrossRef] [PubMed]
- Reynertson, K.; Garay, M.; Nebus, J.; Chon, S.; Kaur, S.; Mahmood, K.; Kizoulis, M.; Southall, M. Anti-inflammatory activities of colloidal oatmeal (Avena sativa) contribute to the effectiveness of oats in treatment of itch associated with dry, irritated skin. J. Drugs Dermatol. 2015, 14, 43–48. [Google Scholar] [PubMed]
- Perrelli, A.; Goitre, L.; Salzano, A.M.; Moglia, A.; Scaloni, A.; Retta, S. Biological activities, health benefits, and therapeutic properties of avenanthramides: From skin protection to prevention and treatment of cerebrovascular diseases. Oxid. Med. Cell. Longev. 2018, 2018, 1–17. [Google Scholar] [CrossRef] [PubMed]
- Fu, R.; Yang, P.; Amin, S.; Li, Z. Avenanthramide A induces cellular senescence via miR-129-3p/Pirh2/p53 signaling pathway to suppress colon cancer growth. J. Agric. Food Chem. 2019, 67, 4808–4816. [Google Scholar] [CrossRef]
- Turrini, E.; Maffei, F.; Milelli, A.; Calcabrini, C.; Fimognari, C. Overview of the anticancer profile of avenanthramides from oat. Int. J. Mol. Sci. 2019, 20, 4536. [Google Scholar] [CrossRef] [PubMed]
- Bratt, K.; Sunnerheim, K.; Bryngelsson, S.; Fagerlund, A.; Engman, L.; Andersson, R.; Dimberg, L. Avenanthramides in oats (Avena sativa L.) and structure−antioxidant activity relationships. J. Agric. Food Chem. 2003, 51, 594–600. [Google Scholar] [CrossRef] [PubMed]
- Meydani, M. Potential health benefits of avenanthramides of oats. Nutr. Rev. 2009, 67, 731–735. [Google Scholar] [CrossRef] [PubMed]
- Peterson, D.; Hahn, M.; Emmons, C. Oat avenanthramides exhibit antioxidant activities in vitro. Food Chem. 2002, 79, 473–478. [Google Scholar] [CrossRef]
- Boz, H. Phenolic amides (avenanthramides) in oats—A review. Czech. J. Food. Sci. 2015, 33, 399–404. [Google Scholar] [CrossRef]
- de Bruijn, W.; van Dinteren, S.; Gruppen, H.; Vincken, J.-P. Mass spectrometric characterisation of avenanthramides and enhancing their production by germination of oat (Avena sativa). Food Chem. 2018, 277, 682–690. [Google Scholar] [CrossRef] [PubMed]
- Li, Z.; Chen, Y.; Meesapyodsuk, D.; Qiu, X. The biosynthetic pathway of major avenanthramides in oat. Metabolites 2019, 9, 163. [Google Scholar] [CrossRef] [PubMed]
- Wise, M. Tissue distribution of avenanthramides and gene expression of hydroxycinnamoyl-CoA:hydroxyanthranilate N-hydroxycinnamoyl transferase (HHT) in benzothiadiazole treated. Can. J. Plant. Sci. 2017, 98, 444–456. [Google Scholar] [CrossRef]
- Matsukawa, T.; Isobe, T.; Ishihara, A.; Iwamura, H. Occurrence of avenanthramides and hydroxycinnamoyl-CoA:hydroxyanthranilate N-hydroxycinnamoyltransferase activity in oat seeds. Z. Naturforsch. C J. Biosci. 2000, 55, 30–36. [Google Scholar] [CrossRef]
- Okazaki, Y.; Isobe, T.; Iwata, Y.; Matsukawa, T.; Matsuda, F.; Miyagawa, H.; Ishihara, A.; Nishioka, T.; Iwamura, H. Metabolism of avenanthramide phytoalexins in oats. Plant J. 2004, 39, 560–572. [Google Scholar] [CrossRef] [PubMed]
- Gutierrez-Gonzalez, J.; Tu, Z.; Garvin, D. Analysis and annotation of the hexaploid oat seed transcriptome. BMC Genom. 2013, 14, 471. [Google Scholar] [CrossRef]
- Vogt, T. Phenylpropanoid biosynthesis. Mol. Plant. 2010, 3, 2–20. [Google Scholar] [CrossRef] [PubMed]
- Baenas, N.; Cristina, G.-V.; Moreno, D.A. Elicitation: A tool for enriching the bioactive composition of foods. Molecules 2014, 19, 13541–13563. [Google Scholar] [CrossRef] [PubMed]
- Yuk, H.J.; Song, Y.H.; Long, M.; Kim, D.; Woo, S.; Lee, Y.; Uddin, Z.; Kim, C.; Park, K. Ethylene induced a high accumulation of dietary isoflavones and expression of isoflavonoid biosynthetic genes in soybean (Glycine max) leaves. J. Agric. Food Chem. 2016, 64, 7315–7324. [Google Scholar] [CrossRef] [PubMed]
- Jeong, Y.; An, C.; Park, S.-C.; Pyun, J.; Lee, J.-Y.; Kim, S.; Kim, H.-S.; Kim, H.; Jeong, J.; Kim, C. Methyl jasmonate increases isoflavone production in soybean cell cultures by activating structural genes involved in isoflavonoid biosynthesis. J. Agric. Food Chem. 2018, 66, 4099–4105. [Google Scholar] [CrossRef] [PubMed]
- Kim, S.; Jeong, Y.; Park, S.; Park, S.-C.; Lee, S.; Lee, J.; Kim, S.; Ha, B.-K.; Kim, H.-S.; Kim, H.; et al. The synergistic effect of co-treatment of methyl jasmonate and cyclodextrins on pterocarpan production in Sophora flavescens cell cultures. Int. J. Mol. Sci. 2020, 21, 3944. [Google Scholar] [CrossRef]
- Krasteva, G.; Georgiev, V.; Pavlov, A. Recent applications of plant cell culture technology in cosmetics and foods. Eng. Life Sci. 2021, 21, 68–76. [Google Scholar] [CrossRef]
- Liu, R. Whole grain phytochemical and health. J. Cereal. Sci. 2007, 46, 207–219. [Google Scholar] [CrossRef]
- Sur, R.; Nigam, A.; Grote, D.; Liebel, F.; Southall, M. Avenanthramides, polyphenols from oats, exhibit anti-inflammatory and anti-itch activity. Arch. Dermatol. Res. 2008, 300, 569–574. [Google Scholar] [CrossRef] [PubMed]
- Skoglund, M.; Peterson, D.; Andersson, R.; Nilsson, J.; Dimberg, L. Avenanthramide content and related enzyme activities in oats as affected by steeping and germination. J. Cereal. Sci. 2008, 48, 294–303. [Google Scholar] [CrossRef]
- Chu, Y.; Wise, M.; Gulvady, A.; Chang, T.; Kendra, D.; van Klinken, B.; Shi, Y.; O’Shea, M. In vitro antioxidant capacity and anti-inflammatory activity of seven common oats. Food Chem. 2013, 139, 426–431. [Google Scholar] [CrossRef] [PubMed]
- Tong, L.-T.; Liu, L.; Zhong, K.; Wang, Y.; Guo, L.-N.; Zhou, S.-M. Effects of cultivar on phenolic content and antioxidant activity of naked oat in China. J. Integr. Agric. 2014, 13, 1809–1816. [Google Scholar] [CrossRef]
- Li, X.-p.; Li, M.-y.; Ling A, j.; Hu, X.-z.; Ma, Z.; Liu, L.; Li, Y.-X. Effects of genotype and environment on avenanthramides and antioxidant activity of oats grown in northwestern China. J. Cereal. Sci. 2016, 73, 130–137. [Google Scholar] [CrossRef]
- Dhakal, H.; Kim, S.-H.; Park, P.-H.; Lee, S.; Kwon, T.K.; Kim, M.-J. Avenanthramide C from germinated oats exhibits anti-allergic inflammatory effects in mast cells. Sci. Rep. 2019, 9, 6884. [Google Scholar] [CrossRef] [PubMed]
- Umugire, A.; Lee, S.; Kim, D.; Choi, M.; Kim, H.; Cho, H. Avenanthramide-C prevents noise-and drug-induced hearing loss while protecting auditory hair cells from oxidative stress. Cell Death Discov. 2019, 5, 115. [Google Scholar] [CrossRef]
- Watts, J.E.; Villiers, O.T.; Watts, L. Sterilization of wheat seeds for tissue culture purposes. S. Afr. J. Bot. 1993, 59, 641–642. [Google Scholar] [CrossRef][Green Version]
- Porebski, S.; Bailey, L.; Baum, B. Modification of CTAB DNA extraction protocol for plants containing high polysaccharide and polyphenol components. Plant Mol. Biol. Rep. 1997, 15, 8–15. [Google Scholar] [CrossRef]
- Kenneth, J.L.; Thomas, D.S. Analysis of relative gene expression data using real-time quantitative PCR and the 2−ΔΔCT method. Methods 2002, 25, 402–408. [Google Scholar]







| Organs | Avn A (mg/kg FW) | Avn B (mg/kg FW) | Avn C (mg/kg FW) | Total Avenanthramides (mg/kg FW) | |
|---|---|---|---|---|---|
| Untreated control | Leaves | 2.9 ± 1.7 a | 6.2 ± 0.4 a | 4.1 ± 2.1 a | 13.2 ± 3.9 a |
| Grains | 112.4 ± 22.7 b | 235.9 ± 41.5 b | 72.5 ± 23.8 a | 420.7 ± 85.1 b | |
| Roots | 0 ± 0 a | 2.3 ± 2.3 a | 0 ± 0 a | 2.3 ± 2.3 a | |
| MeJA + ABA * | Leaves | 9.2 ± 2.9 ab | 21.8 ± 8.5 a | 9.1 ± 0.2 a | 40.1 ± 11.5 a |
| Grains | 312.7 ± 51.1 c | 449.1 ± 78.6 c | 207.1 ± 31.7 b | 968.9 ± 160.7 c | |
| Roots | 3.9 ± 1.9 ab | 10.1 ± 5.1 a | 1.6 ± 1.6 a | 15.6 ± 8.1 a |
Publisher’s Note: MDPI stays neutral with regard to jurisdictional claims in published maps and institutional affiliations. |
© 2021 by the authors. Licensee MDPI, Basel, Switzerland. This article is an open access article distributed under the terms and conditions of the Creative Commons Attribution (CC BY) license (https://creativecommons.org/licenses/by/4.0/).
Share and Cite
Kim, S.; Kim, T.H.; Jeong, Y.J.; Park, S.H.; Park, S.C.; Lee, J.; Yang, K.Y.; Jeong, J.C.; Kim, C.Y. Synergistic Effect of Methyl Jasmonate and Abscisic Acid Co-Treatment on Avenanthramide Production in Germinating Oats. Int. J. Mol. Sci. 2021, 22, 4779. https://doi.org/10.3390/ijms22094779
Kim S, Kim TH, Jeong YJ, Park SH, Park SC, Lee J, Yang KY, Jeong JC, Kim CY. Synergistic Effect of Methyl Jasmonate and Abscisic Acid Co-Treatment on Avenanthramide Production in Germinating Oats. International Journal of Molecular Sciences. 2021; 22(9):4779. https://doi.org/10.3390/ijms22094779
Chicago/Turabian StyleKim, Soyoung, Tae Hee Kim, Yu Jeong Jeong, Su Hyun Park, Sung Chul Park, Jiyoung Lee, Kwang Yeol Yang, Jae Cheol Jeong, and Cha Young Kim. 2021. "Synergistic Effect of Methyl Jasmonate and Abscisic Acid Co-Treatment on Avenanthramide Production in Germinating Oats" International Journal of Molecular Sciences 22, no. 9: 4779. https://doi.org/10.3390/ijms22094779
APA StyleKim, S., Kim, T. H., Jeong, Y. J., Park, S. H., Park, S. C., Lee, J., Yang, K. Y., Jeong, J. C., & Kim, C. Y. (2021). Synergistic Effect of Methyl Jasmonate and Abscisic Acid Co-Treatment on Avenanthramide Production in Germinating Oats. International Journal of Molecular Sciences, 22(9), 4779. https://doi.org/10.3390/ijms22094779

