Synthesis of a Coumarin-Based PPARγ Fluorescence Probe for Competitive Binding Assay
Abstract
1. Introduction
2. Results
2.1. Design and Synthesis of a Coumarin-Based PPARγ Ligand
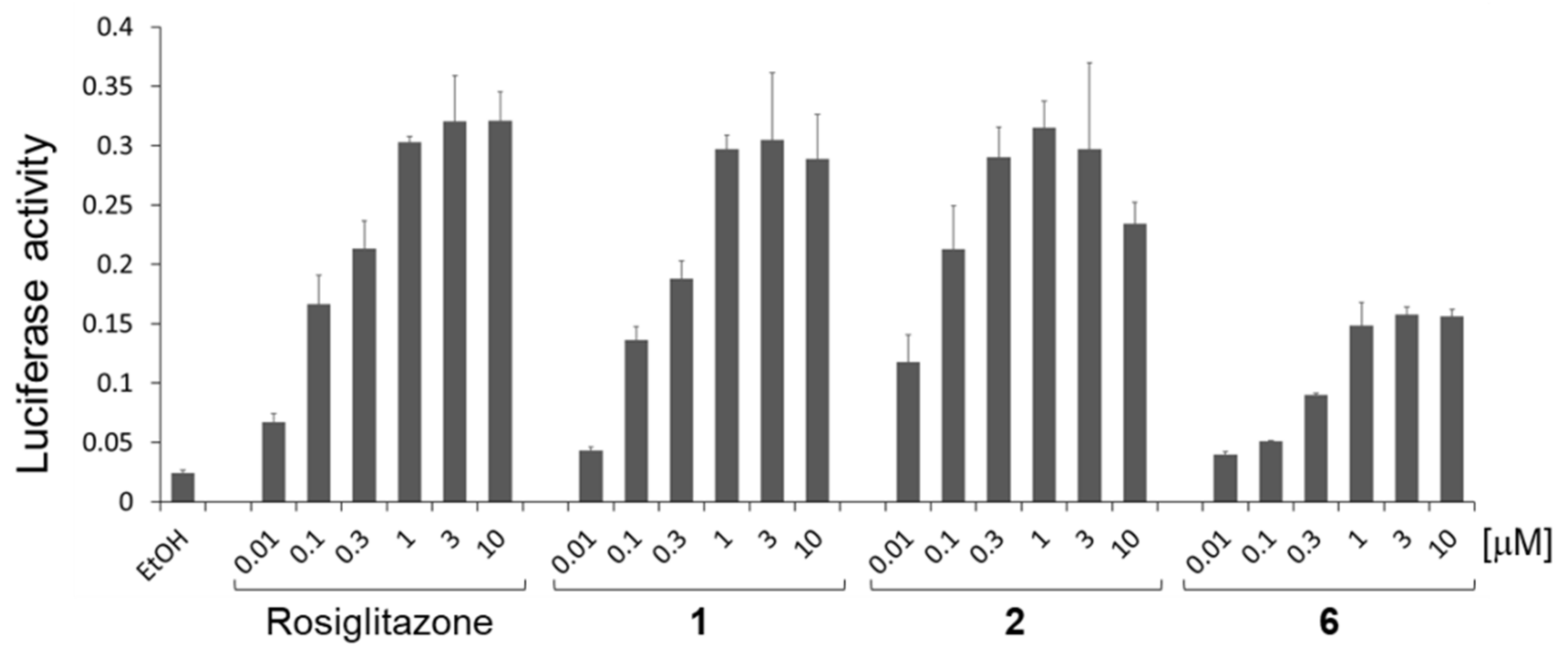
2.2. Transcriptional Activity
2.3. Fluorescence Spectra
2.4. X-ray Crystal Structure
2.5. Application of PPARγ Binding Assay
3. Discussion
4. Materials and Methods
4.1. General Information for Synthesis
4.1.1. 5-(4-(2-((7-(diethylamino)-2-oxo-2H-chromen-4-yl) (methyl)amino)ethoxy)benzyl)thiazolidine-2,4-dione (2)
4.1.2. 4,7-bis(diethylamino)-2H-chromen-2-one (5)
4.1.3. 5-(4-(2-((7-(diethylamino)-2-oxo-2H-chromen-4-yl)(methyl)amino)ethoxy)benzyl)-3-ethylthiazolidine-2,4-dione (6)
4.2. General Information for Biological Experiments
4.3. Transactivation Assay
4.4. Protein Expression and Purifications
4.5. X-Ray Crystallography
4.6. UV-Visible Absorption and Fluorescence Spectroscopic Analyses
4.7. Kd Determination of 2 or 6
4.8. Binding Assay of Rosiglitazone or Farglitazar with hPPARγ- LBD Using 2
4.9. Binding Assay of Pioglitazone or LT175 with hPPARγ- LBD Using 6
5. Conclusions
Supplementary Materials
Author Contributions
Funding
Institutional Review Board Statement
Informed Consent Statement
Data Availability Statement
Acknowledgments
Conflicts of Interest
References
- Ban, S.; Oyama, T.; Kasuga, J.; Ohgane, K.; Nishio, Y.; Morikawa, K.; Hashimoto, Y.; Miyachi, H. Bidirectional fluorescence properties of pyrene-based peroxisome proliferator-activated receptor (PPAR) α/δ dual agonist. Bioorg. Med. Chem. 2012, 20, 3460–3464. [Google Scholar] [CrossRef] [PubMed]
- Lee, W.S.; Kim, J. Peroxisome Proliferator-Activated Receptors and the Heart: Lessons from the Past and Future Directions. PPAR Res. 2015, 2015, 1–15. [Google Scholar] [CrossRef] [PubMed]
- Wahli, W.; Michalik, L. PPARs at the crossroads of lipid signaling and inflammation. Trends Endocrinol. Metab. 2012, 23, 351–363. [Google Scholar] [CrossRef]
- Murphy, G.J.; Holder, J.C. PPAR-γ agonists: Therapeutic role in diabetes, inflammation and cancer. Trends Pharm. Sci. 2000, 21, 469–474. [Google Scholar] [CrossRef]
- Berger, J.P.; Petro, A.E.; Macnaul, K.L.; Kelly, L.J.; Zhang, B.B.; Richards, K.; Elbrecht, A.; Johnson, B.A.; Zhou, G.; Doebber, T.W.; et al. Distinct Properties and Advantages of a Novel Peroxisome Proliferator-Activated Protein γ Selective Modulator. Mol. Endocrinol. 2003, 17, 662–676. [Google Scholar] [CrossRef]
- Capelli, D.; Cerchia, C.; Montanari, R.; Loiodice, F.; Tortorella, P.; Laghezza, A.; Cervoni, L.; Pochetti, G.; Lavecchia, A. Structural basis for PPAR partial or full activation revealed by a novel ligand binding mode. Sci. Rep. 2016, 6, 34792. [Google Scholar] [CrossRef]
- Itoh, T.; Fairall, L.; Amin, K.; Inaba, Y.; Szanto, A.; Balint, B.L.; Nagy, L.; Yamamoto, K.; Schwabe, J.W.R. Structural basis for the activation of PPARγ by oxidized fatty acids. Nat. Struct. Mol. Biol. 2008, 15, 924–931. [Google Scholar] [CrossRef]
- Soares, A.F.; Nosjean, O.; Cozzone, D.; D’Orazio, D.; Becchi, M.; Guichardant, M.; Ferry, G.; Boutin, J.A.; Lagarde, M.; Géloën, A. Covalent binding of 15-deoxy-delta12,14-prostaglandin J2 to PPARγ. Biochem. Biophys. Res. Commun. 2005, 337, 521–525. [Google Scholar] [CrossRef]
- Hashimoto, Y.; Miyachi, H. Nuclear receptor antagonists designed based on the helix-folding inhibition hypothesis. Bioorg. Med. Chem. 2005, 13, 5080–5093. [Google Scholar] [CrossRef] [PubMed]
- Henke, B.R.; Blanchard, S.G.; Brackeen, M.F.; Brown, K.K.; Cobb, J.E.; Collins, J.L.; Harrington, W.W., Jr.; Hashim, M.A.; Hull-Ryde, E.A.; Kaldor, I.; et al. N-(2-Benzoylphenyl)-L-tyrosine PPARγ Agonists. 1. Discovery of a Novel Series of Potent Antihyperglycemic and Antihyperlipidemic Agents. J. Med. Chem. 1998, 41, 5020–5036. [Google Scholar] [CrossRef]
- Montanari, R.; Saccoccia, F.; Scotti, E.; Crestani, M.; Godio, C.; Gilardi, F.; Loiodice, F.; Fracchiolla, G.; Laghezza, A.; Tortorella, P.; et al. Crystal Structure of the Peroxisome Proliferator-Activated Receptor γ (PPARγ) Ligand Binding Domain Complexed with a Novel Partial Agonist: A New Region of the Hydrophobic Pocket Could Be Exploited for Drug Design. J. Med. Chem. 2008, 51, 7768–7776. [Google Scholar] [CrossRef]
- Gilardi, F.; Giudici, M.; Mitro, N.; Maschi, O.; Guerrini, U.; Rando, G.; Maggi, A.; Cermenati, G.; Laghezza, A.; Loiodice, F.; et al. LT175 is a novel PPARα/γ ligand with potent insulin sensitizing effects and reduced adipogenic properties. J. Biol. Chem. 2014, 289, 6908–6920. [Google Scholar] [CrossRef] [PubMed]
- Landreth, G.E.; Heneka, M.T. Anti-inflammatory actions of peroxisome proliferator-activated receptor gamma agonists in Alzheimer’s disease. Neurobiol. Aging 2001, 22, 937–944. [Google Scholar] [CrossRef]
- Jiang, C.; Ting, A.T.; Seed, B. PPAR-γ agonists inhibit production of monocyte inflammatory cytokines. Nature 1998, 391, 82–86. [Google Scholar] [CrossRef]
- Kapadia, R.; Yi, J.H.; Vemuganti, R. Mechanisms of anti-inflammatory and neuroprotective actions of PPAR-γ agonists. Front. Biosci. 2008, 13, 1813–1826. [Google Scholar] [CrossRef] [PubMed]
- Yamamoto, K.; Ninomiya, Y.; Iseki, M.; Nakachi, Y.; Kanesaki-Yatsuka, Y.; Yamanoue, Y.; Itoh, T.; Nishii, Y.; Petrovsky, N.; Okazaki, Y. 4-Hydroxydocosahexaenoic acid, a potent peroxisome proliferator-activated receptor γ agonist alleviates the symptoms of DSS-induced colitis. Biochem. Biophys. Res. Commun. 2008, 367, 566–572. [Google Scholar] [CrossRef]
- Nolte, R.; Wisely, G.B.; Westin, S.; Cobb, J.E.; Lambert, M.H.; Kurokawa, R.; Rosenfeld, M.G.; Willson, T.M.; Glass, C.K.; Milburn, M.V. Ligand binding and co-activator assembly of the peroxisome proliferator-activated receptor-γ. Nature 1998, 395, 137–143. [Google Scholar] [CrossRef] [PubMed]
- Uppenberg, J.; Svensson, C.; Jaki, M.; Bertilsson, G.; Jendeberg, L.; Berkenstam, A. Crystal structure of the ligand binding domain of the human nuclear receptor PPARγ. J. Biol. Chem. 1998, 273, 31108–31112. [Google Scholar] [CrossRef]
- Raucy, J.L.; Lasker, J.M. Current In Vitro High Throughput Screening Approaches to Assess Nuclear Receptor Activation. Curr. Drug Metab. 2010, 11, 806–814. [Google Scholar] [CrossRef]
- Lehmann, J.M.; Moore, L.B.; Smith-Oliver, T.A.; Wilkinson, W.O.; Willson, T.M.; Kliewer, S.A. An antidiabetic thiazolidinedione is a high affinity ligand for peroxisome proliferator activated receptor γ (PPARγ). J. Biol. Chem. 1995, 270, 12953–12956. [Google Scholar] [CrossRef]
- Leopoldo, M.; Lacivita, E.; Berardi, F.; Perrone, R. Developments in fluorescent probes for receptor research. Drug Discov. Today 2009, 14, 706–712. [Google Scholar] [CrossRef]
- DeGrazia, M.J.; Thompson, J.; Heuvelb, J.P.V.; Peterson, B.R. Synthesis of a High-Affinity Fluorescent PPARγ Ligand for High-Throughput Fluorescence Polarization Assays. Bioorg. Med. Chem. 2003, 11, 4325–4332. [Google Scholar] [CrossRef]
- Seethala, R.; Golla, R.; Ma, Z.; Zhang, H.; O’Malley, K.; Lippy, J.; Cheng, L.; Mookhtiar, K.; Farrelly, D.; Zhang, L.; et al. A rapid, homogeneous, fluorescence polarization binding assayfor peroxisome proliferator-activated receptors alpha and gamma using a fluorescein-tagged dual PPARα/γ activator. Anal. Biochem. 2007, 363, 263–274. [Google Scholar] [CrossRef]
- Loving, G.S.; Sainlos, M.; Imperiali, B. Monitoring protein interactions and dynamics with solvatochromic fluorophores. Trends Biotechnol. 2010, 28, 73–83. [Google Scholar] [CrossRef]
- Nomura, W.; Ohashi, N.; Okuda, Y.; Narumi, T.; Ikura, T.; Ito, N.; Tamamura, H. Fluorescence-Quenching Screening of Protein Kinase C Ligands with an Environmentally Sensitive Fluorophore. Bioconjugate Chem. 2011, 22, 923–930. [Google Scholar] [CrossRef] [PubMed]
- Bhatia, R.; Pathania, S.; Singh, V.; Rawal, R.K. Metal-catalyzed synthetic strategies toward coumarin derivatives. Chem. Heterocycl. Compd. 2018, 54, 280–291. [Google Scholar] [CrossRef]
- Sekino, E.; Kumamoto, T.; Tanaka, T.; Ikeda, T.; Ishikawa, T. Concise Synthesis of Anti-HIV-1 Active (+)-Inophyllum B and(+)-Calanolide A by Application of (-)-Quinine-Catalyzed Intramolecular Oxo-Michael Addition. J. Org. Chem. 2004, 69, 2760–2767. [Google Scholar] [CrossRef]
- Donnelly, A.C.; Mays, J.R.; Burlison, J.A.; Nelson, J.T.; Vielhauer, G.; Holzbeierlein, J.; Blagg, B.S.J. The Design, Synthesis, and Evaluation of Coumarin Ring Derivatives of the Novobiocin Scaffold that Exhibit Antiproliferative Activity. J. Org. Chem. 2008, 73, 8901–8920. [Google Scholar] [CrossRef]
- Perkin, W.H. XXIII.—On the hydride of aceto-salicyl. J. Chem. Soc. 1868, 21, 181–186. [Google Scholar] [CrossRef]
- Pechmann, H.; Duisberg, C. Ueber die Verbindungen der Phenole mit Acetessigäther. Ber. Dtsch. Chem. Ges. 1883, 16, 2119–2128. [Google Scholar] [CrossRef]
- Pechmann, H. Neue Bildungsweise der Cumarine. Synthese des Daphnetins. I. Ber. Dtsch. Chem. Ges. 1884, 17, 929–936. [Google Scholar] [CrossRef]
- Aydıner, B.; Seferoğlu, Z. Proton Sensitive Functional Organic Fluorescent Dyes Based on Coumarin-imidazo [1,2-a]pyrimidine; Syntheses, Photophysical Properties, and Investigation of Protonation Ability. Eur. J. Org. Chem. 2018, 2018, 5921–5934. [Google Scholar] [CrossRef]
- Kaye, P.T.; Musa, M.A.; Nocanda, X.W. Efficient and Chemoselective Access to 3-(Chloromethyl)coumarins via Direct Cyclisation of Unprotected Baylis–Hillman Adducts. Synthesis 2003, 2003, 531–534. [Google Scholar] [CrossRef]
- Mizoroki, T.; Mori, K.; Ozaki, A. Arylation of Olefin with Aryl Iodide Catalyzed by Palladium. Bull. Chem. Soc. Jpn. 1971, 44, 581. [Google Scholar] [CrossRef]
- Heck, R.F.; Nolley, J.P., Jr. Palladium-catalyzed vinylic hydrogen substitution reactions with aryl, benzyl, and styryl halides. J. Org. Chem. 1972, 37, 2320–2322. [Google Scholar] [CrossRef]
- Yoshikawa, C.; Ishida, H.; Itoh, T. Incorporation of a coumarin unit by nucleophilic addition into a PPARγ ligand. Tetrahedron Lett. 2020, 61, 151842. [Google Scholar] [CrossRef]
- Kojima, H.; Fujita, Y.; Takeuchi, R.; Ohashi, N.; Itoh, T. Cyclization Reaction-Based Turn-on Probe for Covalent Labeling of Target Proteins. Cell Chem. Biol. 2020, 27, 334–349. [Google Scholar] [CrossRef]
- Droumaguet, C.L.; Wang, C.; Wang, Q. Fluorogenic click reaction. Chem. Soc. Rev. 2010, 39, 1233–1239. [Google Scholar] [CrossRef]
- Yoshikawa, C.; Ishida, H.; Ohashi, N.; Kojima, H.; Itoh, T. Construction of 7-diethylaminocoumarins promoted by an electron-withdrawing group. Chem. Pharm. Bull. Accepted. [CrossRef]
- Yamaguchi, J.; Sugiyama, S. Conjugate addition of an ynone containing azulene with a tertiary amine. Tetrahedron Lett. 2016, 57, 4514–4518. [Google Scholar] [CrossRef]
- Raikar, U.S.; Renuka, C.G.; Nadaf, Y.F.; Mulimani, B.G.; Karguppikar, A.M.; Soudagar, M.K. Solvent effects on the absorption and fluorescence spectra of coumarins 6 and 7 molecules: Determination of ground and excited state dipole moment. Spectrochim. Acta A 2006, 65, 673–677. [Google Scholar] [CrossRef]
- Mayer, U.; Gutmann, V.; Gerger, W. The Acceptor Number–A Quantitative Empirical Parameter for the Electrophilic Properties of Solvents. Mon. Chem. 1975, 106, 1235–1257. [Google Scholar] [CrossRef]
- Shiraishi, T.; Kagechika, H.; Hirano, T. 6-Arylcoumarins: Versatile scaffolds for fluorescent sensors. New J. Chem. 2015, 39, 8389–8396. [Google Scholar] [CrossRef]
- Xu, H.E.; Lambert, M.H.; Montana, V.G.; Plunket, K.D.; Moore, L.B.; Collins, J.L.; Oplinger, J.A.; Kliewer, S.A.; Gampe, R.T., Jr.; McKee, D.D.; et al. Structural determinants of ligand binding selectivity between the peroxisome proliferatoractivated receptors. Proc. Natl. Acad. Sci. USA 2001, 98, 13919–13924. [Google Scholar] [CrossRef]
- Bruning, J.B.; Chalmers, M.J.; Prasad, S.; Busby, S.A.; Kamenecka, T.M.; He, Y.; Nettles, K.W.; Griffin, P.R. Partial Agonists Activate PPARγ Using a Helix 12 Independent Mechanism. Structure 2007, 15, 1258–1271. [Google Scholar] [CrossRef]
- Egawa, D.; Itoh, T.; Akiyama, Y.; Saito, T.; Yamamoto, K. 17-OxoDHA Is a PPARα/γ Dual Covalent Modifier and Agonist. ACS Chem. Biol. 2016, 11, 2447–2455. [Google Scholar] [CrossRef]
- Kato, A.; Anami, Y.; Egawa, D.; Itoh, T.; Yamamoto, K. Helix12-stabilization antagonist of vitamin D receptor. Bioconjug. Chem. 2016, 27, 1750–1761. [Google Scholar] [CrossRef] [PubMed]
- Pochetti, G.; Godio, C.; Mitro, N.; Caruso, D.; Galmozzi, A.; Scurati, S.; Loiodice, F.; Fracchiolla, G.; Tortorella, P.; Laghezza, A.; et al. Insights into the mechanism of partial agonism: Crystal structures of the peroxisome proliferator-activated receptor γ ligand-binding domain in the complex with two enantiomeric ligands. J. Biol. Chem. 2007, 282, 17314–17324. [Google Scholar] [CrossRef]
- Inglese, J.; Johnson, R.L.; Simeonov, A.; Xia, M.; Zheng, W.; Austin, C.P.; Auld, D.S. High-throughput screening assays for the identification of chemical probes. Nat. Chem. Biol. 2007, 3, 466–479. [Google Scholar] [CrossRef] [PubMed]
- Sun, S.; Almaden, J.; Carlson, T.J.; Barker, J.; Gehring, M.R. Assay development and data analysis of receptor-ligand binding based on scintillation proximity assay. Metab. Eng. 2005, 7, 38–44. [Google Scholar] [CrossRef]
- Long, L.; Li, X.; Zhang, D.; Meng, S.; Zhang, J.; Sun, X.; Zhang, C.; Zhou, L.; Wang, L. Amino-coumarin based fluorescence ratiometric sensors for acidic pH and their application for living cells imaging. RSC Adv. 2013, 3, 12204–12209. [Google Scholar] [CrossRef]
- Yamada, S.; Kawasaki, M.; Fujihara, M.; Watanabe, M.; Takamura, Y.; Takioku, M.; Nishioka, H.; Takeuchi, Y.; Makishima, M.; Motoyama, T.; et al. Competitive Binding Assay with an Umbelliferone-Based Fluorescent Rexinoid for Retinoid X Receptor Ligand Screening. J. Med. Chem. 2019, 62, 8809–8818. [Google Scholar] [CrossRef]
- Breidenbach, J.; Bartz, U.; Gütschow, M. Coumarin as a structural component of substrates and probes for serine and cysteine proteases. Biochim. Biophys. Acta Protein Proteonomics 2020, 1868, 140445. [Google Scholar] [CrossRef]
- Takadate, A.; Masuda, T.; Murata, C.; Tanaka, T.; Irikura, M.; Goya, S. Fluorescence Characteristics of Methoxycoumarins as Novel Fluorophores. Anal. Sci. 1995, 11, 97–101. [Google Scholar] [CrossRef]
- Li, H.; Yao, Y.; Li, L. Coumarins as potential antidiabetic agents. J. Pharm. Pharmacol. 2017, 69, 1253–1264. [Google Scholar] [CrossRef]
- Leslie, A.G.W.; Powell, H.R. Processing Diffraction Data with Mosflm. In Evolving Methods for Macromolecular Crystallography; Read, R.J., Sussman, J.L., Eds.; NATO Science Series II, Physics and Chemistry; Springer: Dordrecht, The Netherlands, 2007; Volume 245, pp. 41–51. [Google Scholar]
- Battye, T.G.G.; Kontogiannis, L.; Johnson, O.; Powell, H.R.; Leslie, A.G.W. iMOSFLM: A New Graphical Interface for Diffraction-Image Processing with MOSFLM. Acta Cryst. Sect. D Biol. Cryst. 2011, 67, 271–281. [Google Scholar] [CrossRef]
- McCoy, A.J.; Grosse-Kunstleve, R.W.; Adams, P.D.; Winn, M.D.; Storoni, L.C.; Read, R.J. Phaser Crystallographic Software. J. Appl. Cryst. 2007, 40, 658–674. [Google Scholar] [CrossRef]
- Collaborative Computational Project, Number 4. The CCP4 Suite: Programs for Protein Crystallography. Acta Cryst. Sect. D Biol. Cryst. 1994, 50, 760–763. [Google Scholar] [CrossRef] [PubMed]
- Emsley, P.; Lohkamp, B.; Scott, W.G.; Cowtan, K. Features and Development of Coot. Acta Cryst. Sect. D Biol. Cryst. 2010, 66, 486–501. [Google Scholar] [CrossRef]
- Murshudov, G.N.; Vagin, A.A.; Dodson, E.J. Refinement of Macromolecular Structures by the Maximum-Likelihood Method. Acta Cryst. Sect. D Biol. Cryst. 1997, 53, 240–255. [Google Scholar] [CrossRef] [PubMed]
- Pannu, N.S.; Murshudov, G.N.; Dodson, E.J.; Read, R.J. Incorporation of Prior Phase Information Strengthens Maximum-Likelihood Structure Refinement. Acta Cryst. Sect. D Biol. Cryst. 1998, 54, 1285–1294. [Google Scholar] [CrossRef] [PubMed]
- Winn, M.D.; Isupov, M.N.; Murshudov, G.N. Use of TLS Parameters to Model Anisotropic Displacements in Macromolecular Refinement. Acta Cryst. Sect. D Biol. Cryst. 2001, 57, 122–133. [Google Scholar] [CrossRef] [PubMed]
- Steiner, R.; Lebedev, A.A.; Murshudov, G.N. Fisher’s Information in Maximum-Likelihood Macromolecular Crystallographic Refinement. Acta Cryst. Sect. D Biol. Cryst. 2003, 59, 2114–2124. [Google Scholar] [CrossRef] [PubMed]
- Murshudov, G.N.; Skubák, P.; Lebedev, A.A.; Pannu, N.S.; Steiner, R.A.; Nicholls, R.A.; Winn, M.D.; Long, F.; Vagin, A.A. REFMAC 5 for the Refinement of Macromolecular Crystal Structures. Acta Cryst. Sect. D Biol. Cryst. 2011, 67, 355–367. [Google Scholar] [CrossRef] [PubMed]










| Entry | Solvent | Base | Temperature (°C) | Yield (%) | ||
|---|---|---|---|---|---|---|
| 2 | 5 | 6 | ||||
| 1 | Et3N | - | 100 | - | 40 | - |
| 2 | DMF: Et3N = 1:1 | - | 100 | 14 | 51 | 14 |
| 3 | DMF | Et3N (3.0 equiv.) | 60 | 57 | 11 | - |
| Compound | Rosiglitazone | 1 | 2 | 6 |
|---|---|---|---|---|
| EC50 (μM) | 0.17 | 0.18 | 0.034 | 0.35 |
| Comp. | In CH2Cl2 | In THF | In MeOH | In H2O | ||||
|---|---|---|---|---|---|---|---|---|
| Absmax 1 Emmax Δ 3 (nm) | Q.Y. 2 | Absmax 1 Emmax Δ 3 (nm) | Q.Y. 2 | Absmax 1 Emma Δ 3 (nm) | Q.Y. 2 | Absmax 1 Emmax Δ 3 (nm) | Q.Y. 2 | |
| 1 | 316 469 153 | 0.00359 | 314 467 153 | 0.00461 | 314 392 78 | 0.0039 | 312 451 139 | 0.00369 |
| 2 | 359 423 64 | 0.541 | 354 416 62 | 0.191 | 359 449 90 | 0.532 | 364 462 98 | 0.143 |
| 6 | 359 423 64 | 0.764 | 353 416 63 | 0.172 | 358 449 91 | 0.432 | 369 461 92 | 0.0865 |
| Concentration (nM) [ref] | Rosiglitazone | Farglitazar | Pioglitazone | LT175 |
|---|---|---|---|---|
| The calculated Ki value using 2 or 6 1 | 1157 ± 1.08 | 132.3 ± 1.13 | 5495 ± 3.14 | 2334 ± 1.46 |
| The reported IC50 value [23] | 660 ± 252 | 90 ± 34 | 4500 ± 465 | - |
| The reported EC50 value [44] | 18 ± 4 | 0.20 ± 0.05 | 280 ± 42 | - |
| The reported EC50 value [11] | 40 ± 20 | - | - | 480 ± 80 |
Publisher’s Note: MDPI stays neutral with regard to jurisdictional claims in published maps and institutional affiliations. |
© 2021 by the authors. Licensee MDPI, Basel, Switzerland. This article is an open access article distributed under the terms and conditions of the Creative Commons Attribution (CC BY) license (https://creativecommons.org/licenses/by/4.0/).
Share and Cite
Yoshikawa, C.; Ishida, H.; Ohashi, N.; Itoh, T. Synthesis of a Coumarin-Based PPARγ Fluorescence Probe for Competitive Binding Assay. Int. J. Mol. Sci. 2021, 22, 4034. https://doi.org/10.3390/ijms22084034
Yoshikawa C, Ishida H, Ohashi N, Itoh T. Synthesis of a Coumarin-Based PPARγ Fluorescence Probe for Competitive Binding Assay. International Journal of Molecular Sciences. 2021; 22(8):4034. https://doi.org/10.3390/ijms22084034
Chicago/Turabian StyleYoshikawa, Chisato, Hiroaki Ishida, Nami Ohashi, and Toshimasa Itoh. 2021. "Synthesis of a Coumarin-Based PPARγ Fluorescence Probe for Competitive Binding Assay" International Journal of Molecular Sciences 22, no. 8: 4034. https://doi.org/10.3390/ijms22084034
APA StyleYoshikawa, C., Ishida, H., Ohashi, N., & Itoh, T. (2021). Synthesis of a Coumarin-Based PPARγ Fluorescence Probe for Competitive Binding Assay. International Journal of Molecular Sciences, 22(8), 4034. https://doi.org/10.3390/ijms22084034

