Ultra-High Performance Liquid Chromatography-High Resolution Mass Spectrometry and High-Sensitivity Gas Chromatography-Mass Spectrometry Screening of Classic Drugs and New Psychoactive Substances and Metabolites in Urine of Consumers
Abstract
1. Introduction
2. Results
2.1. GC-MS and UHPLC-HRMS Methods
2.2. Methods Application
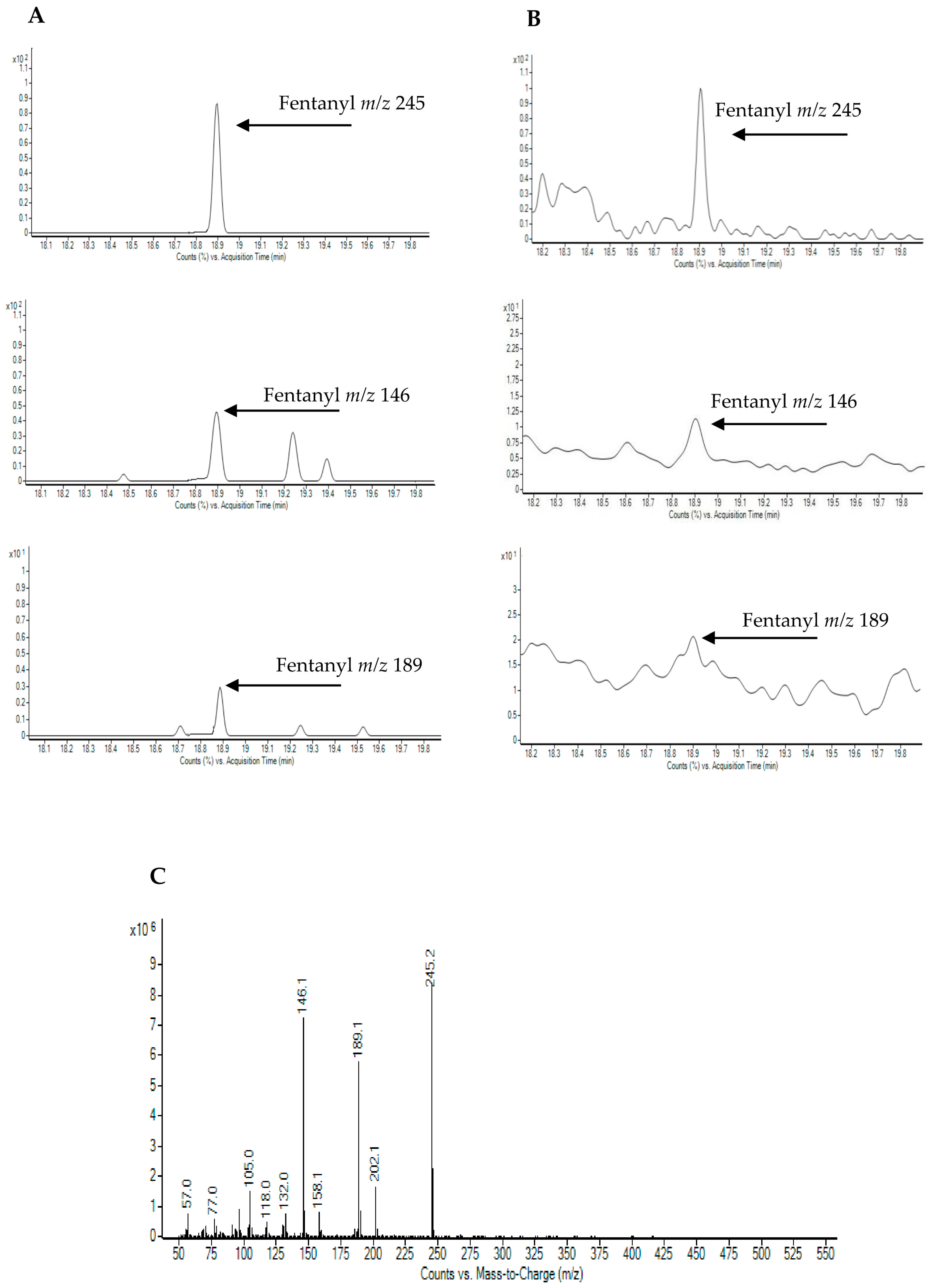
2.3. Fentanyl, Fentanyl Analogs and Novel Synthetic Opioids
2.4. Other NPS
3. Discussion
4. Materials and Methods
4.1. Chemicals and Reagents
4.2. Study Design
4.3. Sample Preparation for Screening Analysis by GC-MS and UHPLC-HRMS
4.4. Gas Chromatography-Mass Spectrometry (GC-MS) Instrumentation
4.5. Ultra-High-Performance Liquid Chromatography-High-Resolution Accurate Masses Spectrometry (UHPLC-HRMS) Instrumentation
4.6. Analytical Performance
5. Conclusions
Author Contributions
Funding
Institutional Review Board Statement
Informed Consent Statement
Data Availability Statement
Acknowledgments
Conflicts of Interest
References
- European Monitoring Centre for Drugs and Drug Addiction. New Psychoactive Substances (NPS). Available online: https://www.emcdda.europa.eu/topics/nps_en (accessed on 25 March 2021).
- European Drug Report 2020: Trends and Developments. Available online: https://www.emcdda.europa.eu/publications/edr/trends-developments/2020_en (accessed on 25 September 2020).
- Marchei, E.; Pacifici, R.; Mannocchi, G.; Marinelli, E.; Busardò, F.P.; Pichini, S. New synthetic opioids in biological and non-biological matrices: A review of current analytical methods. Trac Trends Anal. Chem. 2018, 102, 1–15. [Google Scholar] [CrossRef]
- Solimini, R.; Pichini, S.; Pacifici, R.; Busardò, F.P.; Giorgetti, R. Pharmacotoxicology of Non-fentanyl Derived New Synthetic Opioids. Front. Pharmacol. 2018, 9, 654. [Google Scholar] [CrossRef]
- Armenian, P.; Vo, K.T.; Barr-Walker, J.; Lynch, K.L. Fentanyl, fentanyl analogs and novel synthetic opioids: A comprehensive review. Neuropharmacology 2018, 134, 121–132. [Google Scholar] [CrossRef]
- Pichini, S.; Pacifici, R.; Marinelli, E.; Busardò, F.P. European Drug Users at Risk from Illicit Fentanyls Mix. Front. Pharmacol. 2017, 8, 785. [Google Scholar] [CrossRef] [PubMed]
- Prekupec, M.P.; Mansky, P.A.; Baumann, M.H. Misuse of Novel Synthetic Opioids: A Deadly New Trend. J. Addict. Med. 2017, 11, 256–265. [Google Scholar] [CrossRef] [PubMed]
- Pichini, S.; Solimini, R.; Berretta, P.; Pacifici, R.; Busardò, F.P. Acute Intoxications and Fatalities from Illicit Fentanyl and Analogues: An Update. Ther. Drug Monit. 2018, 40, 38–51. [Google Scholar] [CrossRef] [PubMed]
- Ojanperä, I.; Gergov, M.; Rasanen, I.; Lunetta, P.; Toivonen, S.; Tiainen, E.; Vuori, E. Blood Levels of 3-Methylfentanyl in 3 Fatal Poisoning Cases. Am. J. Forensic Med. Pathol. 2006, 27, 328–331. [Google Scholar] [CrossRef] [PubMed]
- Zaami, S.; Marinelli, E.; Varì, M.R. New Trends of Substance Abuse during COVID-19 Pandemic: An International Perspective. Front. Psychiatry 2020, 11, 700. [Google Scholar] [CrossRef] [PubMed]
- Giommoni, L. Why we should all be more careful in drawing conclusions about how COVID-19 is changing drug markets. Int. J. Drug Policy 2020, 83, 102834. [Google Scholar] [CrossRef] [PubMed]
- European Monitoring Centre for Drugs and Drug Addiction. New Psychoactive Substances: Global Markets, Glocal Threats and the COVID-19 Pandemic. Available online: https://www.emcdda.europa.eu/system/files/publications/13464/20205648_TD0320796ENN_PDF_rev.pdf (accessed on 25 March 2021).
- Di Trana, A.; Carlier, J.; Berretta, P.; Zaami, S.; Ricci, G. Consequences of COVID-19 Lockdown on the Misuse and Marketing of Addictive Substances and New Psychoactive Substances. Front. Psychiatry 2020, 11, 584462. [Google Scholar] [CrossRef]
- JUST-2017-AG-DRUG (GRANT AGREEMENT NUMBER-806996-JUSTSO). Available online: https://justso-eu.eu (accessed on 12 April 2021).
- Fels, H.; Dame, T.; Sachs, H.; Musshoff, F. Liquid chromatography-quadrupole-time-of-flight mass spectrometry screening procedure for urine samples in forensic casework compared to gas chromatography-mass spectrometry. Drug Test. Anal. 2016, 9, 824–830. [Google Scholar] [CrossRef]
- Mannocchi, G.; Di Trana, A.; Tini, A.; Zaami, S.; Gottardi, M.; Pichini, S.; Busardò, F.P. Development and validation of fast UHPLC-MS/MS screening method for 87 NPS and 32 other drugs of abuse in hair and nails: Application to real cases. Anal. Bioanal. Chem. 2020, 412, 5125–5145. [Google Scholar] [CrossRef]
- Di Trana, A.; Mannocchi, G.; Pirani, F.; La Maida, N.; Gottardi, M.; Pichini, S.; Busardò, F.P. A Comprehensive HPLC–MS-MS Screening Method for 77 New Psychoactive Substances, 24 Classic Drugs and 18 Related Metabolites in Blood, Urine and Oral Fluid. J. Anal. Toxicol. 2020, 44, 769–783. [Google Scholar] [CrossRef] [PubMed]
- Xian, F.; Hendrickson, C.L.; Marshall, A.G. High resolution mass spectrometry. Anal. Chem. 2012, 84, 708–710. [Google Scholar] [CrossRef] [PubMed]
- Cas, M.D.; Casagni, E.; Arnoldi, S.; Gambaro, V.; Roda, G. Screening of new psychoactive substances (NPS) by gas-chromatography/time of flight mass spectrometry (GC/MS-TOF) and application to 63 cases of judicial seizure. Forensic Sci. Int. Synerg. 2019, 1, 71–78. [Google Scholar] [CrossRef] [PubMed]
- Grappa, M.; Kaufmann, C.; Streitb, F.; Binderb, L. Systematic forensic toxicological analysis by liquid-chromatography-quadrupole-time-of-flight mass spectrometry in serum and comparison to gas chromatography-mass spectrometry. Forensic Sci. Int. 2018, 287, 63–73. [Google Scholar] [CrossRef]
- Ameline, A.; Garnier, D.; Gheddar, L.; Richeval, C.; Gaulier, J.-M.; Raul, J.-S.; Kintz, P. Identification and analytical characterization of seven NPS, by combination of 1H NMR spectroscopy, GC–MS and UPLC–MS/MS®, to resolve a complex toxicological fatal case. Forensic Sci. Int. 2019, 298, 140–148. [Google Scholar] [CrossRef] [PubMed]
- La Maida, N.; Pellegrini, M.; Papaseit, E.; Pérez-Mañá, C.; Poyatos, L.; Ventura, M.; Galindo, L.; Busardò, F.P.; Pichini, S.; Farré, M.; et al. Determination of the Synthetic Cannabinoids JWH-122, JWH-210, UR-144 in Oral Fluid of Consumers by GC-MS and Quantification of Parent Compounds and Metabolites by UHPLC-MS/MS. Int. J. Mol. Sci. 2020, 21, 9414. [Google Scholar] [CrossRef]
- McCance-Katz, E.F.; Sullivan, L.E.; Nallani, S. Drug Interactions of Clinical Importance among the Opioids, Methadone and Buprenorphine, and Other Frequently Prescribed Medications: A Review. Am. J. Addict. 2009, 19, 4–16. [Google Scholar] [CrossRef] [PubMed]
- Pichini, S.; Di Trana, A.; Torrens, M.; Scherbaum, N.; Zaami, S. Editorial: New Trends of Substance Abuse: Looking for New Psychotropic Effects of Chem Sex Drugs, Cognitive Enhancers, and New Psychoactive Substances. Front. Psychiatry 2020, 11, 612192. [Google Scholar] [CrossRef]
- Zaami, S. New psychoactive substances: Concerted efforts and common legislative answers for stemming a growing health hazard. Eur. Rev. Med. Pharmacol. Sci. 2019, 23, 9681–9690. [Google Scholar]
- Graziano, S.; Anzillotti, L.; Mannocchi, G.; Pichini, S.; Busardò, F.P. Screening methods for rapid determination of new psychoactive substances (NPS) in conventional and non-conventional biological matrices. J. Pharm. Biomed. Anal. 2019, 163, 170–179. [Google Scholar] [CrossRef] [PubMed]
- Oberacher, H.; Arnhard, K. Compound identification in forensic toxicological analysis with untargeted LC–MS-based techniques. Bioanalysis 2015, 7, 2825–2840. [Google Scholar] [CrossRef] [PubMed]
- Wu, A.H. Mechanism of interferences for gas chromatography/mass spectrometry analysis of urine for drugs of abuse. Ann. Clin. Lab. Sci. 1995, 25, 319–329. [Google Scholar] [PubMed]
- Guale, F.; Shahreza, S.; Walterscheid, J.P.; Chen, H.-H.; Arndt, C.; Kelly, A.T.; Mozayani, A. Validation of LC–TOF-MS Screening for Drugs, Metabolites, and Collateral Compounds in Forensic Toxicology Specimens. J. Anal. Toxicol. 2013, 37, 17–24. [Google Scholar] [CrossRef]
- Pellegrini, M.; Marchei, E.; Papaseit, E.; Farré, M.; Zaami, S. UHPLC-HRMS and GC-MS Screening of a Selection of Synthetic Cannabinoids and Metabolites in Urine of Consumers. Medicina 2020, 56, 408. [Google Scholar] [CrossRef] [PubMed]
- Salomone, A.; Di Corcia, D.; Negri, P.; Kolia, M.; Amante, E.; Gerace, E.; Vincenti, M. Targeted and untargeted detection of fentanyl analogues and their metabolites in hair by means of UHPLC-QTOF-HRMS. Anal. Bioanal. Chem 2020, 413, 225–233. [Google Scholar] [CrossRef]
- Tyrkkö, E.; Pelander, A.; Ojanperä, I. Differentiation of structural isomers in a target drug database by LC/Q-TOFMS using fragmentation prediction. Drug Test. Anal. 2010, 2, 259–270. [Google Scholar] [CrossRef]
- Zaami, S.; Busardò, F.P.; Pichini, S.; Pacifici, R.; Marinelli, E. The value of toxicological and forensic analyses in the global challenge to health risks caused by new psychoactive substances. Eur. Rev. Med. Pharmacol. Sci. 2019, 23, 6008–6010. [Google Scholar]
- Tittarelli, R.; Di Luca, N.M.; Pacifici, R.; Pichini, S.; Del Rio, A.; Busardò, F.P. Commentary—Heroin purity and adulteration: An updated snapshot from the Italian Early Warning System. Eur. Rev. Med. Pharmacol. Sci 2020, 24, 4461–4466. [Google Scholar]




| Compound | Formula | GC/MS | UHPLC-HRMS | ||||
|---|---|---|---|---|---|---|---|
| Rt (min) | Target m/z ion (Q) | Fragment m/z ions (Q/q) a | Rt (min) | Target m/z ion [M+H]+ (Δ-error, ppm) b | Fragment m/z ions | ||
| Anticonvulsants | |||||||
| Carbamazepine | C15H12N2O | 15.9 | 236 | 193(0.21) 165(1.4) | 5.83 | 237.1022(−2.53) | 194.0963 192.0805 |
| Gabapentin | C9H17NO2 | 7.74 | 171 | 153(0.06) 110(0.13) 81(0.05) | 2.79 | 172.1332(−3.48) | 154.1227 137.0961 95.0860 |
| Levetiracetam | C8H14N2O2 | 7.75 | 170 | 126(0.05) 98 (0.33) 69(0.13) | 2.85 | 171.1128(−3.51) | 154.0863 126.0914 |
| Pregabalin | C8H17NO2 | 6.54 | 159 | 141(0.05) 103(0.03) 84(0.04) | 2.61 | 160.1332(−3.75) | 142.1227 97.1016 83.0861 |
| Topiramate | C12H21NO8S | 5.12 | 324 | 206(2.61) 189 (2.61) 127(1.62) | 5.19 | 357.1326 * (2.20) | 264.0532 184.0970 127.0391 |
| Antidepressants | |||||||
| Amitriptyline | C20H23N | 9.59 | 277 | 215 (0.33) 202 (0.17) 58 (0.02) | 5.98 | 278.19033 (−1.94) | 233.1332 191.0861 105.0700 |
| Bupropion | C13H18ClNO | 17.53 | 239 | 139 (0.14) 100 (0.02) 44 (0.01) | 4.52 | 240.1150 (−2.08) | 184.0521 166.0419 131.0731 |
| Citalopram | C20H21FN2O | 17.27 | 324 | 238 (0.33) 208 (0.37) 58 (0.02) | 5.44 | 325.1711(−1.59) | 262.1026 234.0712 109.0452 |
| Clomipramine | C19H23ClN2 | 17.22 | 314 | 268 (0.34) 85 (0.23) 58 (0.11) | 6.23 | 315.1623(−1.59) | 270.1044 86.0964 58.0651 |
| Desmethylcitalopram | C19H19FN2O | 17.42 | 310 | 238 (0.23) 138 (0.56) 44 (0.05) | 5.40 | 311.1554(−1.60) | 293.1446 262.1025 109.0451 |
| Desmethylmirtazapine | C16H17N3 | 19.71 | 251 | 208 (2.50) 195 (0.08) | 4.08 | 252.1495(−2.38) | 235.1229 209.1073 195.0918 |
| Mirtazapine | C17H19N3 | 19.51 | 265 | 208(0.39) 195(0.05) 167(0.5) | 4.24 | 266.1652(−1.88) | 209.1076 195.0917 72.0816 |
| Trazodone | C19H22ClN5O | 30.50 | 371 | 278(0.26) 205(0.05) 176(0.16) | 4.95 | 372.1586(−1.34) | 176.0819 148.0505 96.0446 |
| Antipsychotics | |||||||
| Levomepromazine | C19H24N2OS | 19.32 | 328 | 282(6.34) 100(6.01) 58(0.79) | 6.12 | 329.1682(−1.82) | 242.0633 100.1126 58.0660 |
| Norquetiapine | C17H17N3S | 20.01 | 295 | 239(0.46) 227(0.09) 210(0.16) | 5.26 | 296.1216(−1.69) | 221.1080 210.0373 139.2405 |
| Olanzapine | C17H20N4S | 19.01 | 312 | 242(0.20) 229(0.25) 213(0.33) | 3.09 | 313.1481(−1.92) | 256.0901 213.0480 84.0814 |
| Quetiapine | C21H25N3O2S | 19.38 | 383 | 239(0.09) 210(0.04) 144(0.06) | 5.61 | 384.1740(−1.56) | 279.0949 253.0792 221.1071 |
| Risperidone | C23H27FN4O2 | 8.1 | 410 | 233(0.09) 191(2.04) 177(1.30) | 4.78 | 411.2191(−1.22) | 191.1179 110.0600 69.0334 |
| Amphetamines | |||||||
| Amphetamine | C9H13N | 5.40 | 135 | 91(0.04) 44(0.005) | 2.84 | 136.1121(−3.67) | 119.0857 91.0547 |
| Ethylamphetamine | C11H17N | 6.98 | 163 | 148 (0.11) 91 (0.02) 72 (0.005) | 3.38 | 164.1434 (−3.05) | 119.0858 91.0547 |
| MDA | C10H13NO2 | 6.67 | 179 | 136(0.03) 77(0.08) 44(0.02) | 3.24 | 180.1019(−3.33) | 163.0753 135.0439 105.0699 |
| MDMA | C11H15NO2 | 6.88 | 193 | 135(0.10) 77(0.83) 58(0.01) | 3.31 | 194.1176(−2.58) | 163.0753 135.04393 105.06986 |
| Methamphetamine | C10H15N | 5.80 | 149 | 134(0.25) 91(0.04) 58(0.01) | 3.20 | 150.1277(−3.99) | 119.0855 91.0541 |
| Benzodiazepines | |||||||
| 7-Aminoclonazepam | C15H12ClN3O | 12.60 | 285 | 256(1.15) 222(6.82) 194(6.82) | 4.06 | 286.0742(−1.75) | 250.0974 222.1025 194.0831 |
| 7-Aminoflunitrazepam | C16H14FN3O | 11.33 | 283 | 264(5.00) 255(1.53) 240(5.55) | 4.65 | 284.1194(−1.76) | 227.0978 256.1243 148.0631 |
| 7-Aminonitrazepam | C15H13N3O | 15.12 | 251 | 222(1.64) 195(5.55) 110 (5.55) | 3.20 | 252.1131(−2.38) | 224.1182 146.0714 121.0762 |
| Alprazolam | C17H13ClN4 | 13.54 | 308 | 279(0.64) 245(2.29) 204(0.83) | 6.38 | 309.0902(−1.62) | 274.1208 241.0528 205.0747 |
| Clonazepam | C15H10ClN3O3 | 12.34 | 315 | 288(1.14) 280(0.73) 234(1.14) | 6.18 | 316.0484(−1.58) | 302.0448 241.0521 214.0415 |
| Clonazolam | C17H12ClN5O2 | 17.99 | 353 | 324 (0.60) 249 (1.00) 203 (0.82) | 5.65 | 354.0752 (−1.69) | 326.0563 319.1064 |
| Diazepam | C16H13ClN2O | 17.66 | 284 | 283(0.77) 256(0.59) 221(1.43) | 6.83 | 285.0789(−2.10) | 222.1150 193.0885 154.0417 |
| Etizolam | C17H15ClN4S | 18.01 | 342 | 313 (2.64) 266 (3.22) 137 (4.83) | 6.54 | 343.0779 (−1.46) | 314.0388 259.0216 |
| Flubromazolam | C17H12BrFN4 | 370 | 341 (0.60) 222 (0.45) 195 (2.25) | 6.22 | 371.0302 (−1.62) | 343.0096 292.1105 237.0951 | |
| Flunitrazepam | C16H12FN3O3 | 22.31 | 313 | 312(0.71) 285(0.65) 266(0.95) | 6.25 | 314.0936(−1.59) | 300.0902 268.1003 239.0976 |
| Flualprazolam | C17H12ClFN4 | 326 | 297 (0.55) 257 (2.75) 222 (0.61) | 327.0806 (−2.14) | 299.0625 292.1124 223.0662 | ||
| Nitrazepam | C15H11N3O3 | 24.08 | 281 | 280 (0.44) 253 (0.64) 206(0.78) | 5.96 | 282.0873(−2.12) | 268.0842 236.0944 207.0918 |
| Nordiazepam | C15H11ClN2O | 18.66 | 270 | 242(1.04) 235(3.61) 207(4.87) | 6.41 | 271.0633(−1.84) | 208.0994 165.0214 140.0261 |
| Oxazepam | C15H11N2O2Cl | 16.70 | 286 | 268(0.06) 239(0.07) 205(0.06) | 6.11 | 287.0581(−2.09) | 241.0525 269.0475 104.0498 |
| Temazepam | C16H13ClN2O2 | 19.93 | 300 | 273(0.35) 271(0.12) 256(0.86) | 6.51 | 301.0738(−1.99) | 283.0630 256.0715 255.0681 |
| Cocaine | |||||||
| Benzoylecgonine | C16H19NO4 | 15.15 | 289 | 168(0.27) 124(0.07) 105(0.22) | 3.84 | 290.1387(−1.72) | 168.1019 105.0335 82.0650 |
| Cocaethylene | C18H23NO4 | 15.03 | 317 | 196(0.23) 82(0.11) 105(0.35) | 4.72 | 318.1704(−0.31) | 196.1330 82.0657 105.0341 |
| Cocaine | C17H21NO4 | 14.27 | 303 | 272(2.00) 182(0.24) 82(0.17) | 4.25 | 304.1543(−1.97) | 182.1175 82.0657 105.0337 |
| Ecgonine methyl ester | C10H17NO3 | 7.12 | 199 | 182(1.63) 94(0.39) 82(0.31) | 0.6 | 200.1281(−2.99) | 182.1177 150.0911 82.0658 |
| Cannabinoids | |||||||
| 11-OH-THC | C21H30O3 | 15.91 | 330 | 300(0.74) 299(0.16) 41(1.86) | 8.15 | 331.2267(−1.81) | 313.2161 193.1224 105.0703 |
| Cannabidiol | C21H30O2 | 16.42 | 314 | 246(0.53) 231(0.06) 193(0.75) | 8.64 | 315.2319(−1.59) | 193.1225 135.1169 93.0704 |
| Cannabinol | C21H26O2 | 17.30 | 310 | 295(0.11) 238(0.79) 165(2.36) | 8.88 | 311.2006(−1.61) | 293.1901 241.1224 223.1118 |
| Delta-9-tetrahydrocannabinol | C21H30O2 | 16.90 | 314 | 299(0.79) 271(1.66) 231(1.01) | 9.02 | 315.2319(−1.59) | 193.1223 123.0441 93.0701 |
| THC-COOH | C21H28O4 | 17.20 | 344 | 329 (0.70) 299(0.41) 41(0.40) | 8.26 | 345.2060(−1.74) | 327.1953 299.2004 193.1223 |
| Fentanyls and NSOs | |||||||
| 4-ANPP | C19H24N2 | 18.16 | 280 | 189(0.08) 146(0.07) 91(0.24) | 5.04 | 281.2012(−2.13) | 188.1435 134.0965 105.0703 |
| Acetyl fentanyl | C21H26N2O | 18.01 | 322 | 231(0.03) 188(0.08) 146(0.05) | 4.89 | 323.2118 (−1.54) | 188.1434 105.0703 132.0809 |
| AH-7921 | C16H22Cl2N2O | 11.22 | 329 | 172(0.20) 144(0.20) 126(0.05) | 3.73 | 329.1182(−1.52) | 284.0610 189.9555 172.0610 |
| Alfentanil | C21H32N6O3 | 18.47 | 416 | 289(0.01) 268(0.03) 140(0.04) | 5.35 | 417.2609(−1.20) | 268.17651 197.1284 165.10223 |
| Alpha-methylfentanyl | C23H30N2O | 18.30 | 350 | 259(0.05) 146(0.20) 91(0.25) | 5.50 | 351.2431(−1.42) | 202.1588 119.0856 91.0546 |
| Beta-Hydroxyfenatnyl | C22H28N2O2 | 17.52 | 352 | 245 (0.02) 189 (0.05) 146 (0.03) | 4.90 | 353.2224 (−1.42) | 204.1384 186.1276 132.0809 |
| Carfentanil | C24H30N2O3 | 18.72 | 394 | 303(0.01) 187(0.05) 105(0.08) | 5.60 | 395.2329(−1.52) | 134.0965 105.0702 113.0600 |
| Despropionyl para-fluorofentanyl | C19H23FN2 | 18.45 | 298 | 207(0.08) 164(0.08) 136 (0.40) | 5.33 | 299.1918(−2.01) | 188.1435 134.0966 105.0703 |
| Fentanyl | C22H28N2O | 18.89 | 245 | 189(2.77) 146(1.57) 105(4.27) | 5.38 | 337.2279 (−0.30) | 188.1436 105.0703 132.08010 |
| Fluorofentanyl | C22H27FN2O | 17.05 | 354 | 263(0.01) 207(0.04) 164(0.02) | 3.55 | 355.2180(−1.69) | 234.1289 188.1433 105.0699 |
| Isotonitazene | C23H30N4O3 | 17.76 | 410 | 236 (0.40) 107 (0.12) 86 (0.01) | 7.02 | 411.2391(−1.21) | 250.1077 100.1109 72.0809 |
| MT-45 | C24H32N2 | 12.01 | 348 | 257(0.01) 165(0.17) 91(0.05) | 4.03 | 349.2638(−1.72) | 181.1011 169.1699 87.0916 |
| N-methyl Norfentanyl | C15H22N2O | 17.32 | 246 | 189(0.12) 96(0.08) 82(0.22) | 4.20 | 247.1805(−2.02) | 150.0915 98.0969 69.0707 |
| Norfentanyl | C14H20N2O | 17.90 | 232 | 175(0.09) 159(0.12) 83(0.05) | 3.77 | 233.1649 (−2.14) | 204.1038 150.0914 84.0814 |
| Ocfentanil | C22H27FN2O2 | 17.34 | 370 | 279(0.01) 176(0.05) 105(0.05) | 4.83 | 371.2129(−1.62) | 188.1434 134.0966 105.0702 |
| Remifentanil | C20H28N2O5 | 16.81 | 376 | 227(0.02) 212(0.02) 168(0.01) | 4.48 | 377.2071(−1.33) | 228.1230 146.0964 113.0600 |
| Sufentanil | C22H30N2O2S | 18.50 | 386 | 289(0.01) 140(0.03) 93(0.03) | 5.97 | 387.2101(−1.29) | 355.1838 238.1257 111.0266 |
| Thienyl fentanyl | C19H24N2OS | 17.99 | 328 | 179(0.20) 97(0.03) 82(0.04) | 4.87 | 329.1682(−1.82) | 97.0111 82.0657 |
| U-47700 | C16H22Cl2N2O | 10.80 | 329 | 172(0.05) 125(0.02) 84(0.01) | 3.52 | 329.1182(−1.52) | 284.0596 172.9579 81.0699 |
| Opioids and SOs | |||||||
| 6-Monoacetylmorphine | C19H21NO4 | 18.83 | 327 | 268(0.92) 214(2.44) 162(4.40) | 3.37 | 328.1543(−1.82) | 268.1327 211.0753 165.0698 |
| Buprenorphine | C29H41NO4 | 32.0 | 467 | 434 (0.33) 410(0.17) 378 (0.04) | 5.72 | 468.3108(−1.28) | 396.2165 84.0808 55.0544 |
| Codeine | C18H21NO3 | 16.94 | 299 | 229(3.33) 214(5.00) 162(3.00) | 2.88 | 300.1594(−1.28) | 243.1012 215.1065 58.0659 |
| EDDP | C20H23N | 11.96 | 277 | 262(2.17) 220(3.09) 165(3.82) | 5.61 | 278.1903(−1.43) | 249.1509 234.1275 186.1275 |
| EMDP | C19H21N | 11.60 | 263 | 208(0.08) 130(0.17) 115(0.20) | 5.95 | 264.1747(−1.89) | 235.1355 234.1275 220.1121 |
| Hydrocodone | C18H21NO3 | 16.01 | 299 | 284(7.80) 242(1.50) 185(2.44) | 3.35 | 300.1594(−1.99) | 283.175 133.0860 89.0602 |
| Hydromorphone | C17H19NO3 | 16.35 | 285 | 229(3.12) 214(4.08) 200(5.30) | 2.49 | 286.1438(−1.75) | 185.0597 227.0699 199.0753 |
| Methadone | C21H27NO | 13.41 | 309 | 178(0.33) 165(0.25) 72(0.03) | 6.15 | 310.2165(−1.93) | 105.0338 265.1584 223.1116 |
| Morphine | C17H19NO3 | 17.18 | 285 | 268(6.67) 215(2.50) 162(2.13) | 1.91 | 286.1438(−1.75) | 201.0912 229.0857 183.0807 |
| Norcodeine | C17H19NO3 | 16.84 | 285 | 242(6.67) 215 (2.00) 148 (2.50) | 2.91 | 286.1438(−1.74) | 268.13263 215.10689 225.09088 |
| Normorphine | C16H17NO3 | 16.12 | 271 | 201(0.02) 150(1.05) 148(1.33) | 1.23 | 272.1281(−2.20) | 254.1173 201.0916 121.0649 |
| Noroxycodone | C17H19NO4 | 15.32 | 301 | 216(1.76) 201(4.14) 188(3.63) | 3.17 | 302.1387(−1.65) | 284.1281 227.0941 187.0754 |
| Noroxymorphone | C16H17NO4 | 15.30 | 287 | 253(5.93) 202(1.63) 174(4.15) | 1.78 | 288.1230 (−2.08) | 270.1122 213.0783 173.0597 |
| Oxycodone | C18H21NO4 | 15.83 | 315 | 258(4.42) 230(1.91) 187(7.64) | 3.21 | 316.1543(−1.90) | 298.1438 256.1330 241.1093 |
| Oxymorphone | C17H19NO4 | 16.25 | 301 | 244(9.07) 216(2.62) 203(6.18) | 2.24 | 302.1387(−1.65) | 284.1278 242.1173 227.0934 |
| Tramadol | C16H25NO2 | 14.41 | 263 | 188 (2.00) 135 (2.00) 58(0.13) | 4.13 | 264.1958(−2.27) | 58.0659 |
| Synthetic Cannabinoids | |||||||
| JWH 018 | C24H23NO | 8.55 | 341 | 284(1.50) 214(1.31) 127(0.82) | 8.74 | 342.1852(−1.75) | 214.1224 155.0605 144.0444 |
| JWH 073 | C23H21NO | 6.98 | 327 | 284(1.62) 200(0.98) 127(0.84) | 8.58 | 328.1696(−1.52) | 230.1172 155.0489 125.0962 |
| JWH 073 N-4-Hydroxybutyl | C23H21NO2 | 11.10 | 343 | 270(0.95) 144(1.11) 127(0.77) | 7.32 | 344.1645(−1.74) | 155.0490 127.1062 |
| JWH 081 | C25H25NO2 | 11.57 | 371 | 314(2.00) 214(1.43) 185(1.43) | 8.92 | 372.1958(−1.61) | 214.1223 185.0596 144.0443 |
| JWH 081 4-Hydroxynaphtyl | C24H23NO2 | 12.44 | 357 | 300(1.32) 214(1.31) 171(1.48) | 8.36 | 358.1802(−1.39) | 214.1222 171.0438 144.0443 |
| JWH 081 N-5-Hydroxypentyl | C25H25NO3 | 19.93 | 387 | 314(1.45) 230(1.50) 185(0.90) | 7.70 | 388.1907(−1.55) | 230.1172 185.0596 144.0443 |
| JWH 122 | C25H25NO | 9.33 | 355 | 338(1.82) 298(1.38) 214(1.45) | 8.91 | 356.2009(−1.40) | 214.1223 169.0646 141.0697 |
| JWH 122 N-4-Hydroxypentyl | C25H25NO2 | 13.26 | 371 | 284(0.66) 169(0.92) 144(0.96) | 7.81 | 372.1958(−1.61) | 169.0647 141.0698 |
| JWH 122 N-5-Hydroxypentyl | C25H25NO2 | 15.87 | 371 | 284(1.57) 141(1.29) 115(1.56) | 7.80 | 372.1958(−1.61) | 169.0646 141.0697 |
| JWH 210 | C26H27NO | 10.77 | 369 | 352(1.71) 312(1.64) 214(0.90) | 9.21 | 370.2165(−1.62) | 214.1223 183.0804 144.0443 |
| JWH 210 N-4-Hydroxypentyl | C26H27NO2 | 14.56 | 385 | 298(0.64) 183(0.86) 144(0.90) | 8.08 | 386.2115(−1.29) | 183.0804 155.0854 144.0443 |
| JWH 210 N-5-Hydroxypentyl | C26H27NO2 | 17.79 | 385 | 368(2.75) 230(3.24) 144(2.20) | 8.06 | 386.2115(−1.29) | 230.1172 183.0803 155.0853 |
| UR 144 | C21H29NO | 9.94 | 311 | 296(0.98) 214(0.13) 144(0.40) | 9.07 | 312.2322(−1.60) | 214.1223 125.0962 97.1016 |
| UR 144 N-5-Hydroxypentyl | C21H29NO2 | 10.70 | 327 | 231 (0.33) 230(0.001) 144(0.10) | 7.85 | 328.2271(−1.83) | 230.1172 125.0962 97.1016 |
| XLR 11 | C21H28FNO | 10.73 | 329 | 314(0.90) 232 (0.09) 144(0.36) | 8.64 | 330.2228(−1.51) | 232.1129 125.0962 97.1016 |
| XLR 11 N-4-Hydroxypentyl | C21H28FNO2 | 11.73 | 345 | 330(0.83) 248(0.11) 144(0.29) | 7.57 | 346.2177(−1.44) | 248.1077 144.0443 67.0550 |
| AM-2201 | C24H22FNO | 10.35 | 359 | 342 (0.20) 284 (1.25) 232 (1.30) | 360.1764 | ||
| Synthetic Cathinones | |||||||
| MDPV | C16H21NO3 | 8.23 | 275 | 149(0.25) 126(0.01) 119(0.50) | 4.35 | 276.1594 (−2.17) | 126.1278 149.0232 |
| 4-MEC | C12H17NO | 6.43 | 191 | 119(0.33) 91(0.17) 72(0.03) | 3.66 | 192.1383 (−2.60) | 174.1277 159.1040 119.0857 |
| Butylone | C12H15NO3 | 8.72 | 221 | 149(0.10) 121(0.20) 72(0.02) | 3.52 | 222.1125(−2.25) | 204.1018 174.0913 72.0815 |
| Mephedrone | C11H15NO | 6.45 | 177 | 119(0.20) 91(0.10) 58(0.02) | 3.37 | 178.1226(−3.36) | 160.1121 145.0886 119.0857 |
| Methcathinone | C10H13NO | 5.98 | 163 | 105(0.20) 77(0.07) 58(0.02) | 2.67 | 164.107(−1.83) | 146.0965 131.0731 105.0703 |
| Pentylone | C13H17NO3 | 8.13 | 235 | 149(0.17) 121(0.25) 86(0.01) | 4.16 | 236.1281(−2.54) | 218.1174 188.1069 86.0969 |
| Miscellaneous | |||||||
| 4-FA | C9H12FN | 4.81 | 153 | 109(0.06) 83(0.10) 44(0.01) | 2.95 | 154.1027(−3.24) | 109.0451 137.0761 114.0917 |
| 4-MA or PMA | C10H15NO | 9.50 | 165 | 122(0.03) 78(0.08) 44(0.01) | 3.27 | 166.1226(−3.61) | 150.0499 137.0419 117.0701 |
| PMMA | C11H17NO | 10.33 | 179 | 121(0.10) 78(0.13) 58(0.01) | 3.43 | 180.1383(−2.78) | 149.0961 121.0649 |
| m-CPP | C10H13ClN2 | 7.39 | 196 | 154 (0.25) 138 (2.00) | 3.97 | 197.0840(−3.04) | 154.0416 119.0730 |
| Ketamine | C13H16ClNO | 8.28 | 237 | 209(0.07) 179(0.02) 125(0.08) | 3.77 | 238.0993(−2.51) | 207.0574 179.0622 125.0154 |
| Sample Code | Detected Compound (GC/MS) | Detected Compound UHPLC-HRMS |
|---|---|---|
| MI-1029 | ND | Fentanyl Norfentanyl |
| MI-1077 | Fluorfentanyl | ND |
| MI-1078 | N-(3-ethylindole) Norfentanyl | ND |
| MI-1079 | Fluorfentanyl | Fentanyl Beta-Hydroxyfentanyl Norfentanyl |
| BS-2003 | Fentanyl | Fentanyl |
| MI-3009 | Fluoro acetyl Fentanyl | ND |
| MI-5016 | Fluoro Valeryl fentanyl | ND |
| US-010 | Fentanyl | Fentanyl Norfentanyl |
| US-017 | Fentanyl | Norfentanyl |
| US-039 | Fentanyl | Beta-hydroxyfentanyl Fentanyl Norfentanyl |
| US-059 | Fluorfentanyl | ND |
| US-060 | ND | Norfentanyl |
| US-065 | Fluorfentanyl | ND |
| US-077 | Fluoro Valeryl fentanyl | ND |
| US-083 | Fluoro Valeryl fentanyl | ND |
| US-095 | Fluoro Valeryl fentanyl | ND |
| US-109 | Fluoro Valeryl fentanyl | ND |
| US-139 | Acetyl-methylfentanyl 2’-fluoro ortho-Fluorofentanyl | ND |
| US-142 | Thiofentanyl | ND |
| US-144 | Fentanyl | Fentanyl Norfentanyl Beta-Hydroxyfentanyl |
| US-145 | Fluorfentanyl | ND |
| US-148 | Fentanyl | Norfentanyl |
| US-155 | Thiofentanyl | Norfentanyl |
| NPS Classes | Substances (n) |
|---|---|
| synthetic cathinones | MDPV (2) 4-cloro N butylcathinone (1) 4-Methyl-PV8 (6) Fenethylline (4) |
| synthetic cannabinoids | JWH-122 (1) JWH-032 (1) JWH-200 (1) UR-144 (1) |
Publisher’s Note: MDPI stays neutral with regard to jurisdictional claims in published maps and institutional affiliations. |
© 2021 by the authors. Licensee MDPI, Basel, Switzerland. This article is an open access article distributed under the terms and conditions of the Creative Commons Attribution (CC BY) license (https://creativecommons.org/licenses/by/4.0/).
Share and Cite
Marchei, E.; Ferri, M.A.; Torrens, M.; Farré, M.; Pacifici, R.; Pichini, S.; Pellegrini, M. Ultra-High Performance Liquid Chromatography-High Resolution Mass Spectrometry and High-Sensitivity Gas Chromatography-Mass Spectrometry Screening of Classic Drugs and New Psychoactive Substances and Metabolites in Urine of Consumers. Int. J. Mol. Sci. 2021, 22, 4000. https://doi.org/10.3390/ijms22084000
Marchei E, Ferri MA, Torrens M, Farré M, Pacifici R, Pichini S, Pellegrini M. Ultra-High Performance Liquid Chromatography-High Resolution Mass Spectrometry and High-Sensitivity Gas Chromatography-Mass Spectrometry Screening of Classic Drugs and New Psychoactive Substances and Metabolites in Urine of Consumers. International Journal of Molecular Sciences. 2021; 22(8):4000. https://doi.org/10.3390/ijms22084000
Chicago/Turabian StyleMarchei, Emilia, Maria Alias Ferri, Marta Torrens, Magí Farré, Roberta Pacifici, Simona Pichini, and Manuela Pellegrini. 2021. "Ultra-High Performance Liquid Chromatography-High Resolution Mass Spectrometry and High-Sensitivity Gas Chromatography-Mass Spectrometry Screening of Classic Drugs and New Psychoactive Substances and Metabolites in Urine of Consumers" International Journal of Molecular Sciences 22, no. 8: 4000. https://doi.org/10.3390/ijms22084000
APA StyleMarchei, E., Ferri, M. A., Torrens, M., Farré, M., Pacifici, R., Pichini, S., & Pellegrini, M. (2021). Ultra-High Performance Liquid Chromatography-High Resolution Mass Spectrometry and High-Sensitivity Gas Chromatography-Mass Spectrometry Screening of Classic Drugs and New Psychoactive Substances and Metabolites in Urine of Consumers. International Journal of Molecular Sciences, 22(8), 4000. https://doi.org/10.3390/ijms22084000

