Analysis of a Preliminary microRNA Expression Signature in a Human Telangiectatic Osteogenic Sarcoma Cancer Cell Line
Abstract
1. Introduction
2. Results
2.1. Establishment of a Putative TOS-CSCs Cell Line
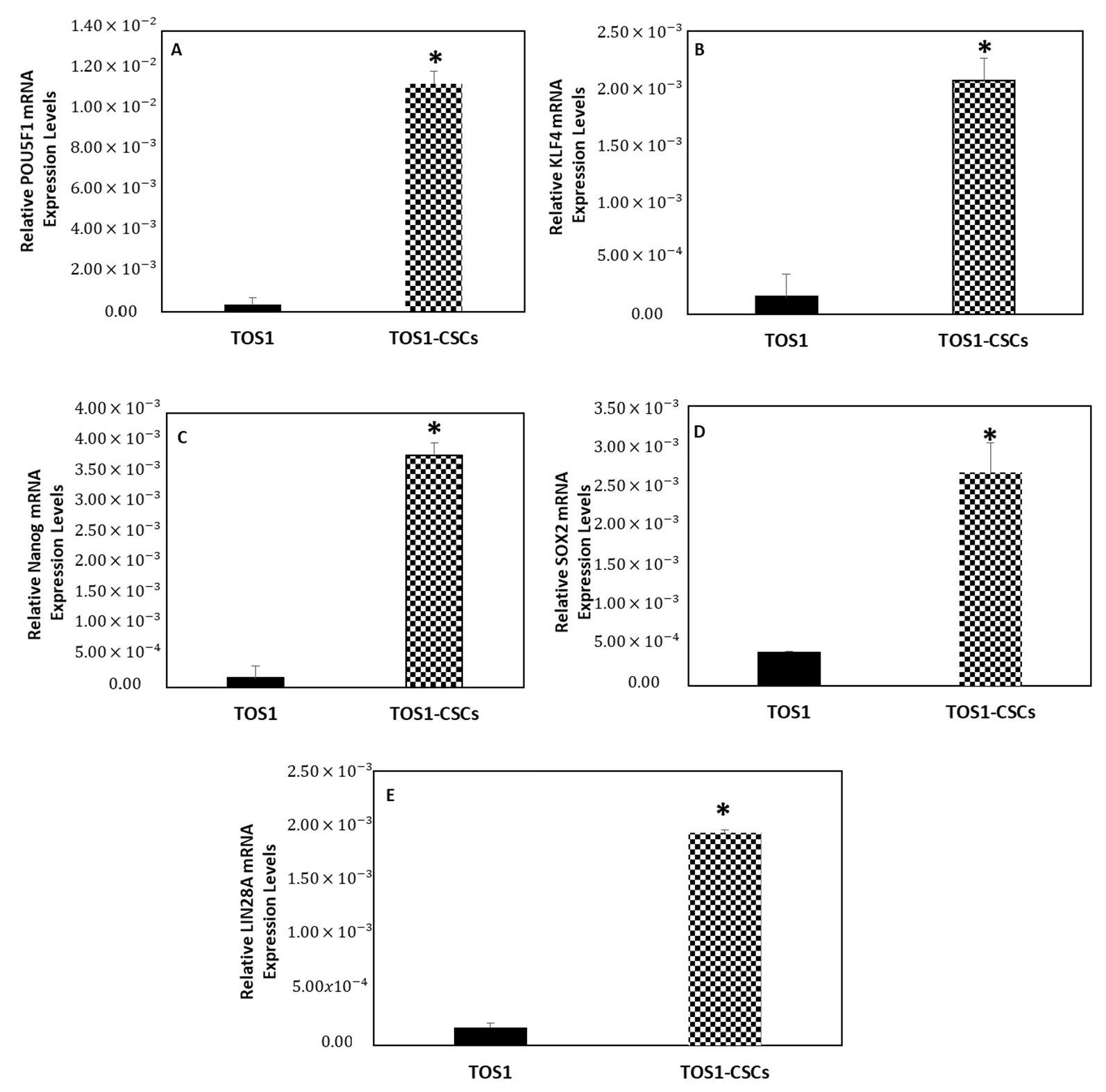
2.2. In Vitro Characterization of the Isolated Cellular Model
2.3. miRNA Expression Profile in TOS-CSCs Model
3. Discussion
4. Materials and Methods
4.1. Primary Telangiectatic Osteosarcoma Cell Culture
4.2. Sarcosphere Formation Assay
4.3. Telangiectatic Osteosarcoma Cancer Stem Cell Culture
4.4. Cancer Stem Cell Phenotype Characterization
4.4.1. Soft Agar Assay
4.4.2. Colony Forming Unit Assay
4.4.3. Adipogenesis Differentiation of TOS1-CSCs In Vitro
4.4.4. Osteogenic Differentiation of TOS1-CSCs In Vitro
4.4.5. Chondrogenic Differentiation of TOS1-CSCs In Vitro
4.4.6. Aldheyde Dehydrogenase Activity Assay
4.4.7. Immunofluorescence Staining
4.5. Gene Expression Analyses by Real-Time PCR
4.6. Gene Expression Analyses by Quantitative Real-Time PCR
4.7. miRNA Analysis by RT-qPCR Assay
5. Conclusions
Author Contributions
Funding
Institutional Review Board Statement
Informed Consent Statement
Data Availability Statement
Conflicts of Interest
Abbreviations
| TOS | Telangiectatic Osteosarcoma |
| OS | Osteosarcoma |
| CSCs | Cancer Stem Cells |
| TOS-CSCs | Telangiectatic Osteosarcoma Cancer Stem Cells |
| miRNA | microRNA |
| GM | Growth Medium |
| LPL | Lipoprotein Lipase |
| PPARγ | Peroxisome Proliferator-Activated Receptor gamma |
| ALP | Alkaline Phosphatase |
| HA | Hydroxyapatite |
| COLXA1 | Type X Alpha Collagen I |
| ACAN | Aggrecan |
| DCN | Decorin |
| BGN | Biglycan |
| COLXA1 | Type X Alpha 1 Collagen |
| ACs | Articular Chondrocytes |
| MSCs | Mesenchymal Stem Cells |
| LSCM | Laser Scanning Confocal Microscopy |
| ESCs | Embryonic Stem Cells |
| CFU | Colony Forming Unit |
| ALDH1A1 | Aldheide Dehydrogenase 1 family, A1 |
| EMT | Epithelial Mesenchymal Transition |
| OM | Osteogenic Medium |
| Nanog | Homeobox protein NANOG |
| SOX2 | (Sex determining region Y)-box 2 |
| POU5F1 | POU domain, class 5, transcription factor 1 |
| KLF4 | Kruppel Like Factor 4 |
| Lin28A | Lin-28 homolog A |
| AXL | Tyrosine-protein kinase receptor UFO |
| EZR | Ezrin |
| MYC | MYC Proto-Oncogene |
| PROM1 | Prominin-1 |
| PPARγ | Peroxisome Proliferator Activated Receptor gamma |
| LPL | Lipoprotein Lipase |
References
- Marina, N.; Gebhardt, M.; Teot, L.; Gorlik, R. Biology and therapeutic advances for pediatric osteosarcoma. Oncologist 2004, 9, 422–441. [Google Scholar] [CrossRef] [PubMed]
- Longhi, A.; Errani, C.; De Paolis, M.; Mercuri, M.; Bacci, G. Primary bone osteosarcoma in the pediatric age: State of the art. Cancer Treat Rev. 2006, 32, 423–436. [Google Scholar] [CrossRef] [PubMed]
- Meyers, P.A.; Gorlick, R. Osteosarcoma. Pediatr. Clin. N. Am. 1997, 44, 973–989. [Google Scholar] [CrossRef]
- Bielack, S.S.; Kempf-Bielack, B.; Delling, G.; Exner, G.U.; Flege, S.; Helmke, K.; Kotz, R.; Salzer-Kuntschik, M.; Werner, M.; Winkelmann, W.; et al. Prognostic factors in high grade osteosarcoma of the extremities or trunk: An analysis of 1702 patients treated on neoadjuvant cooperative osteosarcoma study group protocols. J. Clin. Oncol. 2002, 20, 776–790. [Google Scholar] [CrossRef] [PubMed]
- Geller, D.S.; Gorlik, R. Osteosarcoma: A review of diagnosis, management, and treatment strategies. Clin. Adv. Haematol. Oncol. 2010, 8, 705–718. [Google Scholar]
- Yarmish, G.; Klein, M.J.; Landa, J.; Lefkowitz, R.A.; Hwang, S. Imaging characteristics of primary osteosarcoma: Nonconventional subtypes. Radiographic 2010, 30, 1652–1672. [Google Scholar] [CrossRef] [PubMed]
- Sangle, N.A.; Layfield, L.J. Telangiectatic osteosarcoma. Arch. Pathol. Lab. Med. 2012, 136, 572–576. [Google Scholar] [CrossRef]
- Matsuno, T.; Unni, K.K.; McLeod, R.A.; Dahlin, D.C. Telangiectatic osteogenic sarcoma. Cancer 1976, 38, 2538–2547. [Google Scholar] [CrossRef]
- Alves, F.A.; Lopes, M.A.; Ikeda, M.K.; Kowalski, L.P.; Almeida, O.P. Oral metastasis of telangiectatic osteosarcoma. Oral Dis. 2003, 9, 104–106. [Google Scholar] [CrossRef]
- Bloem, J.L.; Kroon, H.M. Osseous lesions. Radiol. Clin. N. Am. 1993, 31, 261–278. [Google Scholar]
- Bacci, G.; Ferrari, S.; Ruggeri, P.; Biagini, R.; Fabbri, N.; Campanacci, L.; Bacchini, P.; Longhi, A.; Forni, C.; Bertoni, F. Telangiectatic osteosarcoma of the extremity. Acta Orthop. Scand 2001, 72, 167–172. [Google Scholar] [CrossRef] [PubMed]
- Chowdhury, K.; Bachynski, B.; Alport, E.C. Telangiectatic osteosarcoma: Unusual behaviour. Can. J. Surg. 1986, 1, 29–31. [Google Scholar]
- Whitehead, R.E.; Melhem, E.R.; Kaszanica, J.; Eustace, S. Telangiectatic osteosarcoma of the skull base. Ajnr Am. J. Neuroradiol. 1998, 19, 754–757. [Google Scholar] [PubMed]
- Patibanda, M.R.; Uppin, S.G.; Thotakura, A.K.; Panigrahi, M.K.; Challa, S. Primary telangiectatic osteosarcoma of occipital bone: A case report and review of literature. Neurol. India 2011, 59, 117–119. [Google Scholar]
- Tomar, D.; DHillon, M.; Thayath, M.N.; Zaid, I.; Singh, S. Central telangiectatic osteosarcoma of the mandible in a pediatric patient: A rarity. J. Clin. Diagn. Res. 2016, 10, XD01–XD03. [Google Scholar] [PubMed]
- Chan, C.W.; Kung, T.M.; Ma, L. Telangiectatic osteosarcoma of the mandible. Cancer 1986, 58, 2110–2115. [Google Scholar] [CrossRef]
- Amritanand, R.; Venkatesh, K.; Cherian, R.; Shah, A.; Sundararaj, G.D. Telangiectatic osteosarcoma of the spine: A case report. Eur. Spine J. 2008, 17 (Suppl. S2), S342–S346. [Google Scholar] [CrossRef][Green Version]
- Sirikulchayanonta, V.; Jovisidha, S. Soft tissue telangiectatic osteosarcoma in a young patient: Imaging and immunostains. Skelet. Radiol. 2005, 34, 295–298. [Google Scholar] [CrossRef]
- Lee, K.H.; Joo, J.K.; Kim, D.Y.; Lee, J.S.; Choi, C.; Lee, J.H. Mesenteric extaskeletal osteosarcoma with telangiectasic features: A case report. BMC Cancer 2007, 7, 82. [Google Scholar] [CrossRef][Green Version]
- Graadt van Roggen, J.F.; Zonderland, H.M.; Welvaart, K.; Peters, J.L.; Hogendoorn, P.C. Local recurrence of phyllodestumour of the breast presenting with widespread differentiation to telangiectatic osteosarcoma. J. Clin. Pathol. 1998, 51, 706–708. [Google Scholar] [CrossRef]
- Paget, J. Lectures on Surgical Pathology; Lindsay & Blackston: Philadelphia, PA, USA, 1854; p. 486. [Google Scholar]
- Gaylord, H.R. On the Pathology of So-Called Bone Aneurism. Ann. Surg. 1903, 37, 834–847. [Google Scholar] [PubMed]
- Ewing, J. A review and classification of bone sarcomas. Bull. Am. Coll. Surg. 1939, 24, 290–295. [Google Scholar] [CrossRef]
- Roessner, A.; Hobik, H.P.; Immenkamp, M.; Grundmann, E. Ultrastructure of telangiectatic osteosarcoma. J. Cancer Res. Clin. Oncol. 1979, 95, 197–207. [Google Scholar] [CrossRef] [PubMed]
- Weiss, A.; Khoury, J.D.; Hoffer, F.A.; Wu, J.; Billups, C.A.; Heck, R.K.; Quintana, J.; Poe, D.; Rao, B.N.; Daw, N.C. Telangiectatic osteosarcoma: The St. Jude Children’s Research Hospital’s experience. Cancer 2007, 109, 1627–1637. [Google Scholar] [CrossRef]
- Wines, A.; Bonar, F.; Lam, P.; McCarthy, S.; Stalley, P. Telangiectatic dedifferentiation of a parosteal osteosarcoma. Skelet. Radiol. 2000, 29, 597–600. [Google Scholar] [CrossRef]
- Liu, J.J.; Liu, S.; Wang, J.G.; Zhu, W.; Hua, Y.Q.; Sun, W.; Cai, Z.D. Telangiectatic osteosarcoma: A review of literature. Oncotargets 2013, 6, 593–602. [Google Scholar]
- Mervak, T.R.; Unni, K.K.; Pritchard, D.J.; McLeod, R.A. Telangiectatic osteosarcoma. Clin. Ortoph. Relat. Res. 1991, 270, 135–139. [Google Scholar] [CrossRef]
- Chen, X.; Fan, S.; Song, E. Noncoding Rnas: New players in cancers. In The Long and Short Non-Coding RNAs in Cancer Biology; Song, E., Ed.; Springer Science + Business Media: Singapore, 2016; Volume 927, pp. 1–47. [Google Scholar]
- Calin, G.A.; Dimitru, C.D.; Shimizu, M.; Bichi, R.; Zupo, S.; Noch, E.; Adler, H.; Rattan, S.; Keating, M.; Rai, K.; et al. Frequent deletions and down-regulation of micro-RNA genes miR15 and miR16 at 13q14 in chronic lymphocytic leukemia. Proc. Natl. Acad. Sci. USA 2002, 99, 15524–15529. [Google Scholar] [CrossRef]
- Kong, Y.W.; Ferland-McCollough, D.; Jackson, T.J.; Bushell, M. microRNAs in cancer management. Lancet Oncol. 2012, 13, e249–e258. [Google Scholar] [CrossRef]
- Xi, J.J. MicroRNAs in cancer. Cancer Treat Res. 2013, 158, 119–137. [Google Scholar]
- Leichter, A.L.; Sullivan, M.J.; Eccles, M.R.; Charatterjee, A. MicroRNA expression patterns and signalling pathways in the development and progression of childhood solid tumors. Mol. Cancer 2017, 16, 15. [Google Scholar] [CrossRef] [PubMed]
- Palmini, G.; Marini, F.; Brandi, M.L. What is new in the miRNA world regarding osteosarcoma e chondrosarcoma? Molecules 2017, 22, 417. [Google Scholar] [CrossRef] [PubMed]
- Clarke, M.F.; Dick, J.E.; Dirks, P.B.; Eaves, C.J.; Jamiensin, C.H.; Jones, D.L.; Weissman, I.L.; Wahl, G.M. Cancer stem cells—Perspectives on current status and future directions: AACR Workshop on cancer stem cells. Cancer Res. 2006, 66, 9339–9344. [Google Scholar] [CrossRef] [PubMed]
- Bonnet, D.; Dick, J.E. Human acute myeloid leukemia is organized as a hierarchy that originatesfrom a primitive hematopoietic cell. Nat. Med. 1997, 3, 730–737. [Google Scholar] [CrossRef] [PubMed]
- Lapidot, T.; Sirard, C.; Vormoor, J.; Murdoch, B.; Hoang, T.; Caceres-Cortes, J.; Minden, M.; Paterson, B.; Caligiuri, M.A.; Dick, J.E. A cell initiating human acute myeloid leukemia after transplantation into SCID mice. Nature 1994, 367, 645–648. [Google Scholar] [CrossRef]
- Visvader, J.; Lindeman, G.J. Cancer stem cells in solid tumors: Accumulating evidenceand unresolved question. Nat. Rev. Cancer 2008, 8, 755–768. [Google Scholar] [CrossRef]
- Dean, M.; Fojo, T.; Bates, S. Tumor stem cells and drug resistance. Nat. Rev. Cancer 2005, 5, 275–284. [Google Scholar] [CrossRef]
- Ma, S.; Lee, T.K.; Zheng, B.J.; Chan, K.W.; Guan, X.Y. Cd133 + HCC cancer stem cells confer chemoresistance by preferential expression of the Akt/PKB survival pathway. Oncogene 2008, 27, 1749–1758. [Google Scholar] [CrossRef]
- Wu, C.; Wei, Q.; Utomo, V.; Nadesan, P.; Whetstone, H.; Kandel, R.; Wunder, J.S.; Alman, B.A. Side population cells isolated from mesenchymal neoplasms have tumor initiating potential. Cancer Res. 2007, 67, 8216–82122. [Google Scholar] [CrossRef]
- Palmini, G.; Zonefrati, R.; Mavilia, C.; Aldinucci, A.; Luzi, E.; Marini, F.; Franchi, A.; Capanna, R.; Tanini, A.; Brandi, M.L. Establishment of cancer stem cell cultures from human conventional osteosarcoma. J. Vis. Exp. 2016, 14, e53884. [Google Scholar] [CrossRef]
- Palmini, G.; Zonefrati, R.; Romagnoli, C.; Aldinucci, A.; Mavilia, C.; Leoncini, G.; Franchi, A.; Capanna, R.; Brandi, M.L. Establishment and characterization of a human small cell osteosarcoma cancer stem cell line: A new possible in vitro model for discovering small cell osteosarcoma biology. Stem Cells Int. 2016, 2016, 3042198. [Google Scholar] [CrossRef] [PubMed]
- Di Fiore, R.; Santulli, A.; Ferrante, R.D.; Giuliano, M.; De Blasio, A.; Messina, C.; Pirozzi, G.; Tirino, V.; Tesoriere, G.; Vento, R. Identification and expansion of human osteosarcoma-cancer-stem cells by long-term 3-aminobenzamide treatment. J. Cell Physiol. 2009, 219, 301–313. [Google Scholar] [CrossRef] [PubMed]
- Gibbs, C.P.; Kukekov, V.G.; Reith, J.D.; Tchigrinova, O.; Suslov, O.N.; Scott, E.W.; Ghivizzani, S.C.; Ignatova, T.N.; Steindler, D.A. Stem-like cells in bone sarcomas:implications for tumorigenesis. Neoplasia 2005, 7, 967–976. [Google Scholar] [CrossRef] [PubMed]
- Takahashi, K.; Ichisaka, T.; Yamanaka, S. Identification of genes involved in tumor-like properties of Embryonic Stem cells. Methods Mol. Biol. 2006, 329, 449–458. [Google Scholar]
- Carmel-Gross, I.; Bollag, N.; Armon, L.; Urbach, A. LIN28A: A stem cell factor with a key role in pediatric tumor formation. Stem Cells Dev. 2016, 25, 367–377. [Google Scholar] [CrossRef]
- Adachi, K.; Suemori, H.; Yasuda, S.Y.; Nakatsuji, N.; Kawase, E. Role of Sox2 in maintaining pluripotency of human embryonic stem cells. Genes Cells 2010, 15, 455–470. [Google Scholar]
- Looijenga, L.H.J.; Stoop, H.; Hubert, P.J.C.; de Gouveia Brazao, C.A.; Gillis, A.J.; van Roozendaal, K.E.; van Zoelen, E.J.; Weber, R.F.; Wolffenbuttel, K.P.; van Dekken, H.; et al. POU5F1 (OCT3/4) identifies cells with pluripotent potential in human germ cell tumors. Cancer Res. 2003, 63, 2244–2250. [Google Scholar]
- Gong, S.; Li, Q.; Jeter, C.R.; Fan, Q.; Tang, D.G.; Liu, B. Regulation of NANOG in cancer cells. Mol. Carcinog. 2015, 54, 679–687. [Google Scholar] [CrossRef]
- Ma, I.; Allison, A.L. The role of human aldehyde dehydrogenase in normal and in cancer stem cells. Stem Cell Rev. Rep. 2011, 7, 292–306. [Google Scholar] [CrossRef]
- Hunter, K.W. Ezrin, a key component in tumor metastasis. Trends Mol. Med. 2004, 10, 201–204. [Google Scholar] [CrossRef]
- Brown, M.; Black, J.R.M.; Sharma, R.; Stebbing, J.; Pinato, D.J. Gene of the month: Axl. J. Clin. Pathol. 2016, 69, 391–397. [Google Scholar] [CrossRef] [PubMed]
- Kafchinski, L.A.; Jones, K.B. MicroRNAs in osteosarcomagenesis. Adv. Exp. Med. Biol. 2014, 804, 119–127. [Google Scholar] [PubMed]
- Nugent, M. microRNA and bone cancer. Adv. Exp. Med. Biol. 2015, 889, 201–230. [Google Scholar] [CrossRef]
- Kim, Y.H.; Goh, T.S.; Lee, C.S.; Oh, S.O.; Kim, J.I.; Jeung, S.H.; Pak, K. Prognostic value of microRNAs in osteosarcoma: A meta-analysis. Oncotarget 2017, 8, 8726–8737. [Google Scholar] [CrossRef] [PubMed]
- Andersen, G.; Knudsen, A.; Hager, H.; Hansen, L.L.; Tost, J. miRNA profiling identifies deregulated miRNAs associated with osteosarcoma development and time to metastasis in two large cohorts. Mol. Oncol. 2018, 12, 114–131. [Google Scholar] [CrossRef]
- Gougelet, A.; Pissaloux, D.; Besse, A.; Perez, J.; Duc, A.; Dutour, A.; Blay, J.Y.; Alberti, L. Micro-RNA profiles in osteosarcoma as a predictive tool for ifosfamide response. Int. J. Cancer 2011, 129, 680–690. [Google Scholar] [CrossRef]
- Lauvrak, S.U.; Munthe, E.; Kresse, S.H.; Stratford, E.W.; Namløs, H.M.; Meza-Zepeda, L.A.; Myklebost, O. Functional characterisation of osteosarcoma cell lines and identification of mRNAs and miRNAs associated with aggressive cancer phenotypes. Br. J. Cancer 2013, 109, 2228–2236. [Google Scholar] [CrossRef]
- Lu, J.; Song, G.; Tang, Q.; Yin, J.; Zou, C.; Zhao, Z.; Xie, X.; Xu, H.; Huang, G.; Wang, J.; et al. Mir-26 inhibits stem-cell like phenotype and tumor growth of osteosarcoma by targeting Jagged1. Oncogene 2016, 36, 1–11. [Google Scholar]
- Di Fiore, R.; Drago-Ferrante, R.; Pentimalli, F.; Di Marzo, D.; Forte, I.M.; Carlisi, D.; De Blasio, A.; Tesoriere, G.; Giordano, A.; Vento, R. Let-7d miRNA shows both antioncogenic and oncogenic functions in osteosarcoma-derived 3AB-OS cancer stem cells. J. Cell Physiol. 2015, 231, 1832–18141. [Google Scholar] [CrossRef]
- Niu, J.; Sun, Y.; Guo, Q.; Niu, D.; Liu, B. Mir-1 inhibits cell growth, migration, and invasion by targeting VEGFA in osteosarcoma cells. Dis. Marker 2016, 2016, 7068986. [Google Scholar] [CrossRef]
- Fujii, R.; Osaka, E.; Sato, K.; Tokushi, Y. Mir-1 suppressed proliferation of osteosarcoma cells by up-regulating p21 via PAX3. Cancer Genom. Proteom. 2019, 16, 71–79. [Google Scholar] [CrossRef] [PubMed]
- Wu, H.; Li, W.; Zhang, M.; Zhu, S.; Zhang, D.; Wang, X. Inhibitory roles of miR-320 in osteosarcoma via regulating E2F1. J. Cancer Res. 2016, 12, 68–71. [Google Scholar]
- Gong, N.; Gong, M. MIRNA-221 from tissue may predict the prognosis of patients with osteosarcoma. Medicine 2018, 97, 29. [Google Scholar] [CrossRef] [PubMed]
- Zhao, H.; Yan, P.; Wang, J.; Zhang, Y.; Zhang, M.; Wang, Z.; Fu, Q.; Liang, W. Clinical significance of tumor miR-21, miR-221, miR-143, and miR-106a as biomarkers in patients with osteosarcoma. Int. J. Biol. Markers 2019, 34, 184–193. [Google Scholar] [CrossRef]
- Hu, X.H.; Zhao, Z.X.; Dai, J.; Geng, D.C.; Xu, Y.Z. MicroRNA-221 regulates osteosarcoma cell proliferation apoptosis, migration, and invasion by targeting CDKN1B/p27. J. Cell Biochem. 2019, 120, 4665–4674. [Google Scholar] [CrossRef]
- Yu, W.C.; Chen, H.H.; Qu, Y.Y.; Xu, C.W.; Yang, C.; Liu, Y. MicroRNA-221 promotes cisplatin resistance in osteosarcoma cells by targeting PPP2RA. Biosci. Rep. 2019, 39, BSR20190198. [Google Scholar] [CrossRef]
- Du, Z.; Li, F.; Wang, L.; Huang, H.; Xu, S. Regulatory effects of microRNA-184 on osteosarcoma via Wnt/β-catenin signaling pathway. Mol. Med. Rep. 2018, 18, 1917–1924. [Google Scholar] [CrossRef]
- Lin, B.; Huang, D.; Yu, C.Q.; Mou, Y.; Liu, Y.H.; Zhang, D.W.; Shi, F.J. MicroRNA-184 modulates doxorubicin resistance in osteosarcoma cels by targerting BCL2L1. Med. Sci. Monit. 2016, 22, 1761–1765. [Google Scholar] [CrossRef]
- Tao, F.; Feng, J.; Li, Q.; Liu, W.; Yang, L.; Zhao, X.; Ni, H.; Xia, P. Expression of miR-664 and miR-184 on proliferation, apoptosis and migration of osteosarcoma cells. Oncol. Lett. 2019, 17, 1791–1797. [Google Scholar] [CrossRef]
- Yin, G.R.; Wang, Q.; Zhang, X.B.; Wang, S.J. Reguatory role of microRNA184 in osteosarcoma cells. Genet Mol. 2015, 14, 1424–1452. [Google Scholar]
- Xu, H.; Mei, Q.; Xiong, C.; Zhao, J. Tumor-Suppressing effects of miR-141 in human osteosarcoma. Cell Biochem. Biosphys. 2014, 69, 319–325. [Google Scholar] [CrossRef] [PubMed]
- Wang, J.; Wang, G.; Li, B.; Qiu, C.; He, M. miR-141-3p is a key negative regulator of the EGFR pathway in osteosarcoma. Oncol. Targets 2018, 11, 4461–4478. [Google Scholar] [CrossRef] [PubMed]
- Lu, C.; Peng, K.; Guo, H.; Ren, X.; Hu, S.; Cai, Y.; Han, Y.; Ma, L.; Xu, P. miR-18a--5p promotes cell invasion and migration of osteosarcoma by directly targeting IRF2. Oncol. Lett. 2018, 16, 3150–3156. [Google Scholar] [CrossRef] [PubMed]
- Pei, H.; Jin, Z.; Chen, S.; Xianglun, S.; Yu, J.; Guo, W. Mir-135b promotes proliferation and invasion of osteosarcoma cells via taergeting FOXO1. Mol. Cell. Biochem. 2015, 400, 245–252. [Google Scholar] [CrossRef] [PubMed]
- Iwasaki, T.; Tanaka, K.; Kawano, M.; Itonaga, I.; Tsumura, H. Tumor-suppressive micrRNA-let-7a inhibits cell proliferation via targeting of E2F2 in osteosarcoma cells. Int. J. Oncol. 2015, 46, 1543–1550. [Google Scholar] [CrossRef]
- Hua, J.; Liu, D.; Lumin, C.; Dengfeng, W.; Tao, W.; Fanguo, L.; Peng, S.; Yanping, N.; Yongming, S. Diagnostic and prognostic values of blood microRNA let-7a for osteosarcoma. J. Bone Oncol. 2018, 12, 65–68. [Google Scholar] [CrossRef]
- Gao, Y.; Feng, Y.; Shen, J.K.; Lin, M.; Choy, E.; Cote, G.M.; Harmon, D.C.; Mankin, H.J.; Hornicek, F.J.; Duan, Z. CD44 is a direct target of miR-199a-3p and contributes to aggressive progression in osteosarcoma. Sci. Rep. 2015, 5, 11365. [Google Scholar] [CrossRef]
- Lei, W.; Yan, C.; Ya, J.; Yong, D.; Yujun, B.; Kai, L. MiR-199a-3p affects the multi-chemoresistance of osteosarcoma through targeting AK4. BMC Cancer 2018, 18, 631. [Google Scholar] [CrossRef]
- Xu, Y.; Chu, Z.; Zhou, Y.; Wang, J.; Dong, C.; Yin, R. miR-365 functions as a tumor suppressor by directly targeting CYR61 in osteosarcoma. Biomed. Pharm. 2018, 98, 531–537. [Google Scholar] [CrossRef]
- Huang, W.C.; Jang, T.H.; Tung, S.L.; Yen, T.C.; Chan, S.H.; Wang, L.H. A novel miR-365-3p/EHF/keratin 16 axis promotes oral squamous cell carcinoma metastasis, cancer stemness and drug resistance via enhancing β5-integrin/c-met signaling pathway. J. Exp. Clin. Cancer Res. 2019, 38, 89. [Google Scholar] [CrossRef]
- Sun, L.; Liu, M.; Luan, S.; Shi, Y.; Wang, Q. MicroRNA-744 promotes carcinogenesis in osteosarcoma through targeting LATS2. Oncol. Lett. 2019, 18, 2523–2529. [Google Scholar] [CrossRef] [PubMed]
- Nohata, N.; Hanazawa, T.; Enokida, H.; Seki, N. microRNA1/133a and microRNA-206/133b clusters: Dysregulation and functional roles in human cancers. Oncotarget 2012, 3, 9–21. [Google Scholar] [CrossRef] [PubMed]
- Han, C.; Yu, Z.; Duan, Z.; Kan, Q. Role of microRNA-1 in human cancer and its therapeutic potentials. BioMed Res. Int. 2014, 428371. [Google Scholar] [CrossRef]
- Gregory, P.A.; Bert, A.G.; Paterson, E.L.; Barry, S.C.; Tsykin, A.; Farshid, G.; Vadas, M.A.; Khew-Goodall, Y.; Goodall, G.J. The miR-200 family and miR-205 regulate epithelial to mesenchymal transition by targeting ZEB1 and SIP1. Nat. Cell Biol. 2008, 10, 593–601. [Google Scholar] [CrossRef] [PubMed]
- Tejero, R.; Navarro, A.; Campayo, M.; Viñolas, N.; Marrades, R.M.; Cordeiro, A.; Ru Ruíz-Martínez, M.; Santasusagna, S.; Molins, L.; Ramirez, J.; et al. Mir-141 and miR-200c as markers of overal survival in early stage non-small cel lung cancer adenocarcinoma. PLoS ONE 2014, 9, e101899. [Google Scholar] [CrossRef]
- Ma, L.; Zhai, B.; Zhu, H.; Li, W.; Jiang, W.; Lei, L.; Zhang, S.; Qiao, H.; Jiang, X.; Sun, X. The miR-141/neuropilin-1 axis is associated with the clinicopathology and contributes to the growth and metastasis of pancreatic cancer. Cancer Cell Int. 2019, 19, 248. [Google Scholar] [CrossRef]
- Fornari, F.; Milazzo, M.; Chieco, P.; Negrini, M.; Calin, G.A.; Grazi, G.L.; Pollutri, D.; Croce, C.M.; Bolondi, L.; Gramantieri, L. MiR-199a-3p regulates mTOR and c-Met to influence the doxorubicin sensitivity of human hepatocarcinoma cells. Cancer Res. 2010, 70, 5184–5193. [Google Scholar] [CrossRef]
- Cheng, W.; Liu, T.; Wan, X.; Gao, Y.; Wang, H. MicroRNA-199a targets CD44 to suppress the tumorigenicity and multidrug resistance of ovarian cancer-initiating cells. FEBS J. 2012, 279, 2047–2059. [Google Scholar] [CrossRef]
- Wang, W.; Yang, J.; Xuiang, Y.Y.; Pi, J.; Bian, J. Overexpression of Has-miR-320 is associated with invasion and metastasis of ovarian cancer. J. Cell Biochem. 2017, 118, 3654–3661. [Google Scholar] [CrossRef]
- Wan, L.Y.; Deng, J.; Xiang, X.J.; Zhang, L.; Yu, F.; Chen, J.; Sun, Z.; Feng, M.; Xiong, J.P. miR-320 enhances the sensitivity of human colon cancer cells to chemotherapy in vitro by targeting FOXM1. Biochem. Biophys. Res. Commun. 2015, 457, 125–132. [Google Scholar] [CrossRef]
- Li, X.; Luo, F.; Li, Q.; Xu, M.; Feng, D.; Zhang, G.; Wu, W. Identification of a new aberrantly expressed miRNAs in intestinal-type gastriccancer and its clinical significance. Oncol. Rep. 2011, 26, 1431–1439. [Google Scholar] [PubMed]
- Luo, Z.; Dai, Y.; Zhang, L.; Jiang, C.; Li, Z.; Yang, J.; McCarthy, J.B.; She, X.; Zhang, W.; Ma, J.; et al. miR-18a promotes malignant progression by impairing microRNA biogenesisi in nasopharyngeal carcinoma. Carcinogenesis 2013, 34, 415–425. [Google Scholar] [CrossRef] [PubMed]
- Sakai, T.; Mashima, H.; Yamada, Y.; Goto, T.; Sato, W.; Dohmen, T.; Kamada, K.; Yoshioka, M.; Uchinami, H.; Yamamoto, Y.; et al. The roles of interferon regulatory factors 1 and 2 in the progression of human pancreatic cancer. Pancreas 2014, 43, 909–916. [Google Scholar] [CrossRef] [PubMed]
- Song, Y.; Wang, P.; Zhao, W.; Yao, Y.; Liu, X.; Ma, J.; Xue, Y.; Liu, Y. MiR-18a regulates the proliferation, migration and invasion of human gioblastoma cell by targeting neogenin. Exp. Cell Res. 2014, 324, 54–64. [Google Scholar] [CrossRef] [PubMed]
- Liang, C.; Zhang, X.; Wang, H.M.; Liu, X.M.; Zhang, X.J.; Zheng, B.; Qian, G.R.; Ma, Z.L. MicroRNA-18a-5p functions as an oncogene by directly targeting IRF2 in lung cancer. Cell Death Dis. 2017, 8, e2764. [Google Scholar] [CrossRef]
- Mamane, Y.; Heylbroeck, C.; Génin, P.; Algarté, M.; Servant, M.J.; LePage, C.; DeLuca, C.; Kwon, H.; Lin, R.; Hiscott, J. Interferon regulatory factors: The next generation. Gene 1999, 237, 1–14. [Google Scholar] [CrossRef]
- Wong, T.S.; Ho, W.K.; Chan, J.Y.; Ng, R.W.; We, W.I. Mature miR-184 and squamous cell carcinoma of the tongue. Sci. World J. 2009, 9, 130–132. [Google Scholar] [CrossRef]
- Fulda, S. Targeting apoptosis for anticancer therapy. Semin Cancer Biol. 2015, 31, 84–88. [Google Scholar] [CrossRef]
- Dai, Y.; Grant, S. BCL2L11/Bi mas a dual agent regulating authophagy and apoptosis in drug resistance. Autophagy 2015, 11, 416–418. [Google Scholar] [CrossRef]
- Sun, X.; Jiao, X.; Pestell, G.; Fan, C.; Qin, S.; Mirabelli, E.; Ren, H.; Pestell, R.G. MicroRNAs and cancerstem cells: The sword and the shields. Oncogene 2014, 33, 4967–4977. [Google Scholar] [CrossRef]
- Boyerinas, B.; Park, S.M.; Hau, A.; Murmann, A.E.; Peter, M.E. The role of let-7 in cell differentiation and cancer. Endocr. Relat. Cancer 2010, 17, F19–F36. [Google Scholar] [CrossRef] [PubMed]
- Ito, K.; Suda, T. Metaboli requirments for the maintainance of self-renewing stem cells. Nat. Rev. Mol. Cell Biol. 2014, 15, 243–256. [Google Scholar] [CrossRef] [PubMed]
- Yu, F.; Yao, H.; Zhu, P.; Zhang, X.; Pan, Q.; Gong, C.; Huang, Y.; Hu, X.; Su, F.; Lieberman, J.; et al. Let-7 regulates self renwal and tumorigenicity of breast cancer cells. Cell 2007, 131, 1109–1123. [Google Scholar] [CrossRef] [PubMed]
- Zheng, L.; Qi, T.; Yang, D.; Qi, M.; Li, D.; Xiang, X.; Huang, K.; Tong, Q. microRNA-9 suppresses the proliferation, invasion and metastasis of gastric cancer cells through targeting cyclin D1 and Ets1. PLoS ONE 2013, 8, e55719. [Google Scholar] [CrossRef]
- Hildebrandt, M.A.; Gu, J.; Lin, J.; Ye, Y.; Tan, W.; Tamboli, P.; Wood, C.G.; Wu, X. Has-miR-9 methylation status is associated with cancer development and metastatic recurrence in patients with clear cell renal cell carcinoma. Oncogene 2010, 29, 5724–5728. [Google Scholar] [CrossRef]
- Xu, S.; Yang, Y.; Han, S.; Wu, Z. microRNA-9 expression is a prognostic biomarker in patients with osteosarcoma. World J. Clin. Oncol. 2014, 12, 195. [Google Scholar] [CrossRef]
- Gang, W.; Tanjun, W.; Yong, H.; Jiajun, Q.; Yi, Z.; Hao, H. Inhibition of miR-9 decreses osteosarcoma cel proliferation. Bosn. J. Basic Med. Sci. 2019, 20, 218. [Google Scholar]
- Liu, P.; Ma, C.; Wu, Q.; Zhang, W.; Wang, C.; Yuan, L.; Xi, X. miR-369-3p participates in endometrioid adenocarcinoma via the regulation of authophagy. Cancer Cell Int. 2019, 19, 178. [Google Scholar] [CrossRef]
- Yoon, A.; Gao, R.; Kaul, Z.; Choi, I.; Ryu, J.; Noble, J.R.; Kato, Y.; Saito, S.; Hirano, T.; Ishii, T.; et al. MicroRNA-296 is enriched in cancer cells and downregulates p21WAF1 mRNA expression via interaction with its 3’ untranslated region. Nucleic Acid Res. 2011, 39, 8078–8091. [Google Scholar] [CrossRef]
- Lee, H.; Shin, C.H.; Kim, H.R.; Choi, K.H.; Kim, H.H. microRNA-296-5p promotes invasiveness through downregulation of nerve growth factor receptor and caspase-8. Mol. Cells 2017, 40, 254–261. [Google Scholar] [CrossRef]
- Lu, M.; Wang, C.; Chen, W.; Mao, C.; Wang, J. miR-654-5p GRAP to promote cell proliferation, metastasis, and chemoresistance of oral squamous cell carcinoma through Ras/MAPK signaling. DNA Cell Biol. 2018, 37, 381–388. [Google Scholar] [CrossRef] [PubMed]
- Maia, D.; Carvalho, A.C.; Horst, M.A.; Carvalho, A.L.; Scapulatempo-Neto, C.; Vettore, A.L. Wxpression of miR-295-5p as predictive marker for radiotherapy resistance in early-stagy laryngeal carcinoma. J. Transl. Med. 2015, 13, 262. [Google Scholar] [CrossRef] [PubMed]
- Deng, Y.; Li, Y.; Fang, Q.; Luo, H.; Zhu, G. microRNA-744is downregulated in glioblastoma and inhibits the aggressive behaviors by directly targeting NOB1. Am. J. Cancer Res. 2018, 8, 2238–2253. [Google Scholar] [PubMed]
- Zhou, W.; Li, Y.; Gou, S.; Xiong, J.; Wu, H.; Wang, C.; Yan, H.; Liu, T. Mir-744 increases tumorigenecity of pancreatic cancer by activating Wnt/β-catenin pathway. Oncotarget 2015, 6, 37557–37569. [Google Scholar] [CrossRef] [PubMed]
- Yu, Q.; Zhang, F.; Du, Z.; Xiang, Y. Up-regulation of serum miR-744 predicts poor prognosis in patients with nasopharyngeal carcinoma. Int. J. Clin. Exp. Med. 2015, 8, 13296–13302. [Google Scholar]
- Zhang, L.; Ding, Y.; Yuan, Z.; Liu, J.; Sun, J.; Lei, F.; Wu, S.; Li, S.; Zhang, D. MicroRNA-500 sustains nuclear factor-kB activation and induces gastric cancer cell proliferation and resitance to apoptosis. Oncotarget 2015, 6, 2483–2495. [Google Scholar] [CrossRef]
- Zhang, Z.; Cui, R.; Li, H.; Li, J. miR-500 promotes cell proliferation by directly targetting LRP1B in prostate cancer. Biosci. Rep. 2019, 39, BSR20181854. [Google Scholar] [CrossRef]
- Liu, Y.; Zhang, W.; Liu, S.; Liu, K.; Ji, B.; Wang, Y. miR-365 targets ADAM10 and suppresses the cell growth and metastasis of hepatocellular carcinoma. Oncol. Rep. 2017, 37, 1857–1864. [Google Scholar] [CrossRef][Green Version]
- Zhu, Y.; Zhao, H.; Rao, M.; Xu, S. MicroRNA-365 inhibits proliferation, migration and invasion of glioma by targeting PIK3R3. Oncol. Rep. 2017, 37, 2185–2192. [Google Scholar] [CrossRef]
- Chen, B.; Liu, J.; Qu, J.; Song, Y.; Li, Y.; Pan, S. MicroRNA-25 suppresses proliferation, migration, and invasion of osteosarcoma by targeting SOX4. Tumor Biol. 2017, 39, 1010428317703841. [Google Scholar] [CrossRef]
- Yoshida, A.; Fujiwara, T.; Uotani, K.; Morita, T.; Kiyono, M.; Yokoo, S.; Hasei, J.; Nakata, E.; Kunisada, T.; Ozaki, T. Clinical and functional significance of intracellular and extracellular micro-RNA-25-3-p in osteosarcoma. Acta Med. Okayama 2018, 72, 165–174. [Google Scholar] [PubMed]













| Gene | Oligonucleotides | Sequence (5′-3′) | Amplicon Size | Ta (°C) |
|---|---|---|---|---|
| SATB2 | Forward Reverse | TGTCTATCATGTTGTGACGTTGA TCATCTCTTTGAGCAGTTCCTTTA | 150 bp | 63 |
| Nanog | Forward Reverse | CCCAGCTGTGTGTACTCAAT GGTTCAGGATGTTGGAGAGTT | 87 bp | 60 |
| POU5F1 | Forward Reverse | GGGAGAGCTAGGGAAAGA TCCTTCCTTAGTGAATGAAGAACT | 77 bp | 60 |
| Sox2 | Forward Reverse | TGCAGTACAACTCCATGA GGACTTGACCACCGAACC | 125 bp | 55 |
| KLF4 | Forward Reverse | CGGGAAGGGAGAAGACACT AGTCGCTTCATGTGGGAGA | 79 bp | 60 |
| LIN28A | Forward Reverse | CGACTGTAAGTGGTTCAAC CCTTCCATGTGCAGCTTACT | 100 bp | 60 |
| MYC | Forward Reverse | GCTGCTTAGACGCTGGATTTTT GAGTCGTAGTCGAGGCATAGT | 110 bp | 63 |
| PROM1 | Forward Reverse | CCAGAAGCCGGGTCAAAAT ATTCACTCAAGGCACCATCC | 127 bp | 60 |
| EZR | Forward Reverse | GCCTTCTTGTCGATGGGTTA GCCTCTTGTCGATGGGTTTA | 134 bp | 61 |
| AXL | Forward Reverse | TTAGTGCTACGCGGAATGG CCTATGTCCATAGCACCTCG | 133 bp | 60 |
| PPARγ | Forward Reverse | GTCGGTTTCAGAAATGCCTTG ATCTCCGCCAACAGCTTC | 97 bp | 57 |
| LPL | Forward Reverse | TGCATTTCAATCACAGCAGCAA TACAGGGCGGCCACAAG | 101 bp | 57 |
| COLXA1 | Forward Reverse | AGAGGTGAAAATGGGGTTCCA GGCAAGCCTGGTTTCCCAAA | 248 bp | 60 |
| ACAN | Forward Reverse | GGGTCAACAGTGCCTATCAG GGGTGTAGCGTGTAGAGATG | 213 bp | 62 |
| BGN | Forward Reverse | ACCTCCCTGAGACCCTGAAT CACCCACTTTGGTGATGTTG | 273 bp | 62 |
| DCN | Forward Reverse | CACCAAAGTGCGAAAAGTTAC CTTAGCCAAATTATTCAGTCCTT | 261 bp | 60 |
| β-actin | Forward Reverse | AGCCTCGCCTTTGCCGA CTGGTGCCTGGGGCG | 174 bp | 60 |
| Gene | Primer Sequences and TaqMan Probes 5′-3′ | Amplicon Size | Ta (°C) |
|---|---|---|---|
| Nanog | For. CCCAGCTTGTGTGTACTCAAT Probe. FAM/AATACCTCA/ZEN/GCCTCCAGCAGATGC/3IABkFQ Rev. GGTTCAGGATGTTGGAGAGTT | 87 bp | 60 |
| POU5F1 | For. GGGAGAGCTAGGGAAAGA Probe. FAM/AACCTGGAG/ZEN/TTTGTGCCAGG/3IABkFQ Rev. TCCTTCCTTAGTGAATGAAGAACT | 77 bp | 60 |
| KLF4 | For. CGGGAAGGGAGAAGACACT Probe. FAM/AATAACCGC/ZEN/TGGCGGGAGGA/3IABkFQ Rev. AGTCGCTTCATGTGGGAGA | 79 bp | 60 |
| SOX2 | For. TGCAGTACAACTCCATGA Probe. FAM/ACAGCATGT/ZEN/CCTACTCGCAGCAG/3IABkFQ Rev. GGACTTGACCACCGAACC | 125 bp | 60 |
| LIN28A | For. GACTGTAAGTGGTTACAC Probe. FAM/TCATGGACA/ZEN/GGAAGCCGAACCC/3IABkFQ Rev. CGACTGTAAGTGGTTCAAC | 104 bp | 60 |
| GAPDH | For. AATCCGTTGACTCCGACCTTC Probe. FAM/CCACATCGC/ZEN/TCAGACACCATGGG/3iaKfq Rev. ACAGTACAGCCGCATCTTC | 179 bp | 69 |
Publisher’s Note: MDPI stays neutral with regard to jurisdictional claims in published maps and institutional affiliations. |
© 2021 by the authors. Licensee MDPI, Basel, Switzerland. This article is an open access article distributed under the terms and conditions of the Creative Commons Attribution (CC BY) license (http://creativecommons.org/licenses/by/4.0/).
Share and Cite
Palmini, G.; Romagnoli, C.; Donati, S.; Zonefrati, R.; Galli, G.; Marini, F.; Iantomasi, T.; Aldinucci, A.; Leoncini, G.; Franchi, A.; et al. Analysis of a Preliminary microRNA Expression Signature in a Human Telangiectatic Osteogenic Sarcoma Cancer Cell Line. Int. J. Mol. Sci. 2021, 22, 1163. https://doi.org/10.3390/ijms22031163
Palmini G, Romagnoli C, Donati S, Zonefrati R, Galli G, Marini F, Iantomasi T, Aldinucci A, Leoncini G, Franchi A, et al. Analysis of a Preliminary microRNA Expression Signature in a Human Telangiectatic Osteogenic Sarcoma Cancer Cell Line. International Journal of Molecular Sciences. 2021; 22(3):1163. https://doi.org/10.3390/ijms22031163
Chicago/Turabian StylePalmini, Gaia, Cecilia Romagnoli, Simone Donati, Roberto Zonefrati, Gianna Galli, Francesca Marini, Teresa Iantomasi, Alessandra Aldinucci, Gigliola Leoncini, Alessandro Franchi, and et al. 2021. "Analysis of a Preliminary microRNA Expression Signature in a Human Telangiectatic Osteogenic Sarcoma Cancer Cell Line" International Journal of Molecular Sciences 22, no. 3: 1163. https://doi.org/10.3390/ijms22031163
APA StylePalmini, G., Romagnoli, C., Donati, S., Zonefrati, R., Galli, G., Marini, F., Iantomasi, T., Aldinucci, A., Leoncini, G., Franchi, A., Beltrami, G., Campanacci, D. A., Capanna, R., & Brandi, M. L. (2021). Analysis of a Preliminary microRNA Expression Signature in a Human Telangiectatic Osteogenic Sarcoma Cancer Cell Line. International Journal of Molecular Sciences, 22(3), 1163. https://doi.org/10.3390/ijms22031163

