Synthesis, Molecular Docking and Antiplasmodial Activities of New Tetrahydro-β-Carbolines
Abstract
:1. Introduction
2. Results and Discussion
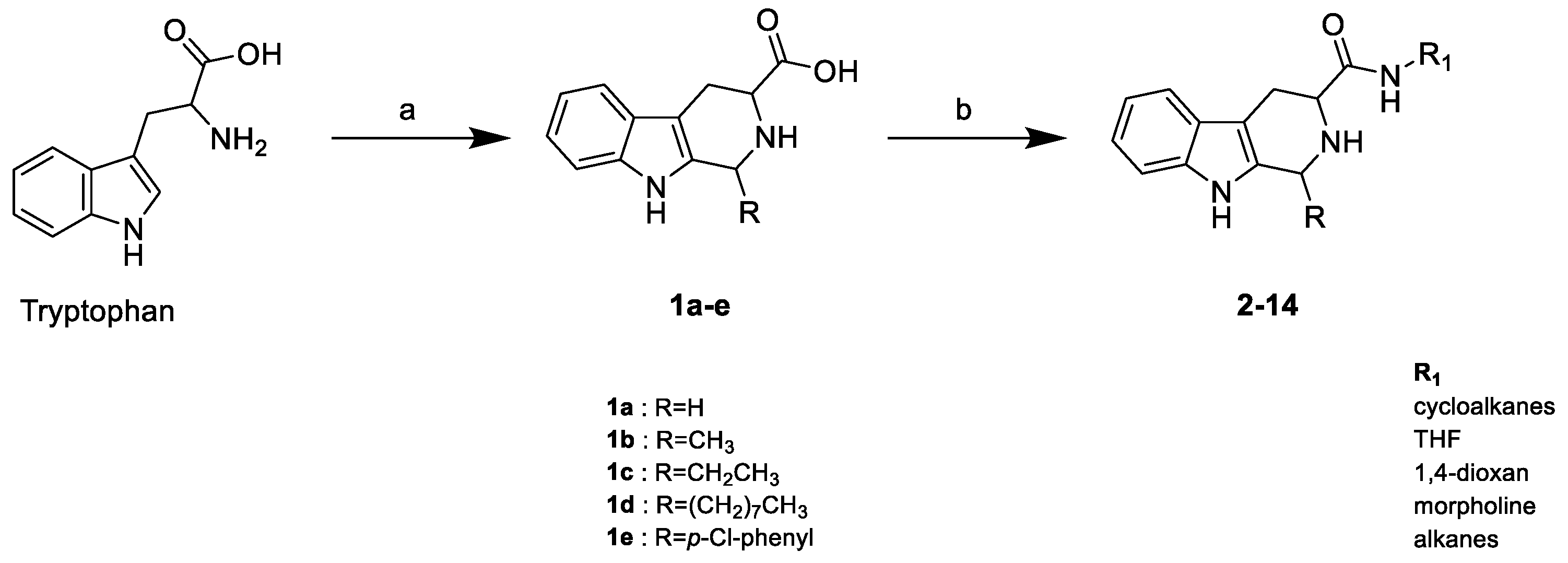
2.1. Chemistry
2.2. Log D Calculation
2.3. Antiplasmodial Activities
2.4. Biocompatibility Studies
2.5. Molecular Modeling
3. Materials and Methods
3.1. General Remarks
3.2. Synthetic Procedures
3.2.1. General Method for Synthesis of the 1-Substituted-tetrahydro-β-Carboline-3-Carboxylic Acids (1a–e)
3.2.2. General Method for Synthesis of the 3-Carboxamide Derivatives of 1-Substituted-tetrahydro-β-carboline-3-carboxylic Acids (2–14)
- N-cyclooctyl-2,3,4,9-tetrahydro-1H-pyrido[3,4-b]indole-3-carboxamide (2): (3RS)
- (1-methyl-2,3,4,9-tetrahydro-1H-pyrido[3,4-b]indol-3-yl)(piperidin-1-yl)methanone (3): (1RS,3SR)-3/(1RS,3RS)-3
- N-cyclohexyl-1-methyl-2,3,4,9-tetrahydro-1H-pyrido[3,4-b]indole-3-carboxamide (4): (1RS,3SR)-4/(1RS,3RS)-4
- N-(cyclohexylmethyl)-1-methyl-2,3,4,9-tetrahydro-1H-pyrido[3,4-b]indole-3-carboxamide (5): (1RS,3SR)-5/(1RS,3RS)-5
- N-(Adamantan-1-yl)-1-ethyl-2,3,4,9-tetrahydro-1H-pyrido[3,4-b]indole-3-carboxamide (6): (1RS,3SR)-6/(1RS,3RS)-6
- N-(3,3-dimethylbutyl)-1-octyl-2,3,4,9-tetrahydro-1H-pyrido[3,4-b]-indole-3-carboxamide (7): (1RS,3SR)-7/(1RS,3RS)-7
- 1-(4-chlorophenyl)-N-(3,3-dimethylbutyl)-2,3,4,9-tetrahydro-1H-pyrido[3,4-b]indole-3-carboxamide (8): (1RS,3SR)
- 1-(4-chlorophenyl)-N-(2,4,4-trimethylpentan-2-yl)-2,3,4,9-tetrahydro-1H-pyrido[3,4-b]indole-3-carboxamide (9): (1RS,3SR)
- 1-(4-chlorophenyl)-N-((tetrahydrofuran-2-yl)methyl)-2,3,4,9-tetrahydro-1H-pyrido[3,4-b]indole-3-carboxamide (10): (1RS,3SR)
- N-((1,4-dioxan-2-yl)methyl)-1-(4-chlorophenyl)-2,3,4,9-tetrahydro-1H-pyrido[3,4-b]indole-3-carboxamide (11): (1RS,3SR)
- 1-(4-chlorophenyl)-N-(3-morpholinopropyl)-2,3,4,9-tetrahydro-1H-pyrido[3,4-b]indole-3-carboxamide (12): (1RS,3SR)-12/(1RS,3RS)-12
- 1-(4-chlorophenyl)-N-cyclohexyl-2,3,4,9-tetrahydro-1H-pyrido[3,4-b]indole-3-carboxamide (13)
- (1RS,3SR)-1-(4-chlorophenyl)-N-cyclohexyl-2,3,4,9-tetrahydro-1H-pyrido[3,4-b]indole-3-carboxamide (trans-13)
- (1SR,3SR)-1-(4-chlorophenyl)-N-cyclohexyl-2,3,4,9-tetrahydro-1H-pyrido[3,4-b]indole-3-carboxamide (cis-13)
- 1-(4-chlorophenyl)-N-(cyclohexylmethyl)-2,3,4,9-tetrahydro-1H-pyrido[3,4-b]indole-3-carboxamide (14): (1RS,3SR)
3.3. PKa and Log D Calculation
3.4. P. falciparum Cultures and Drug Susceptibility Assay
3.5. Cytotoxicity Assay on HMEC-1 Cell Line
3.6. Determination of Hemolytic Activity
3.7. Molecular Modeling
4. Conclusions
Supplementary Materials
Author Contributions
Funding
Institutional Review Board Statement
Informed Consent Statement
Data Availability Statement
Conflicts of Interest
References
- World Malaria Report 2020. Available online: https://www.who.int/teams/global-malaria-programme/reports/world-malaria-report-2020 (accessed on 11 October 2021).
- Available online: https://www.who.int/news/item/06-10-2021-who-recommends-groundbreaking-malaria-vaccine-for-children-at-risk (accessed on 23 October 2021).
- The “World Malaria Report 2019” at a Glance. Available online: https://www.who.int/news-room/feature-stories/detail/world-malaria-report-2019 (accessed on 9 November 2020).
- Burrows, J.N.; Duparc, S.; Gutteridge, W.E.; Hooft Van Huijsduijnen, R.; Kaszubska, W.; Macintyre, F.; Mazzuri, S.; Möhrle, J.J.; Wells, T.N.C. New developments in anti-malarial target candidate and product profiles. Malar. J. 2017, 16, 26. [Google Scholar] [CrossRef] [Green Version]
- Ariey, F.; Witkowski, B.; Amaratunga, C.; Beghain, J.; Langlois, A.C.; Khim, N.; Kim, S.; Duru, V.; Bouchier, C.; Ma, L.; et al. A molecular marker of artemisinin-resistant Plasmodium falciparum malaria. Nature 2014, 505, 50–55. [Google Scholar] [CrossRef] [PubMed]
- Amaratunga, C.; Lim, P.; Suon, S.; Sreng, S.; Mao, S.; Sopha, C.; Sam, B.; Dek, D.; Try, V.; Amato, R.; et al. Dihydroartemisinin-piperaquine resistance in Plasmodium falciparum malaria in Cambodia: A multisite prospective cohort study. Lancet Infect. Dis. 2016, 16, 357–365. [Google Scholar] [CrossRef] [Green Version]
- Leang, R.; Taylor, W.R.J.; Bouth, D.M.; Song, L.; Tarning, J.; Char, M.C.; Kim, S.; Witkowski, B.; Duru, V.; Domergue, A.; et al. Evidence of plasmodium falciparum malaria multidrug resistance to artemisinin and piperaquine in Western Cambodia: Dihydroartemisinin-piperaquine open-label multicenter clinical assessment. Antimicrob. Agents Chemother. 2015, 59, 4719–4726. [Google Scholar] [CrossRef] [PubMed] [Green Version]
- Bouwman, S.A.; Zoleko-Manego, R.; Renner, K.C.; Schmitt, E.K.; Mombo-Ngoma, G.; Grobusch, M.P. The early preclinical and clinical development of cipargamin (KAE609), a novel antimalarial compound. Travel Med. Infect. Dis. 2020, 36, 101765. [Google Scholar] [CrossRef] [PubMed]
- To Evaluate Efficacy, Safety, Tolerability and PK of Intravenous Cipargamin in Participants with Severe Plasmodium Falciparum Malaria-Full Text View-ClinicalTrials.gov. Available online: https://clinicaltrials.gov/ct2/show/NCT04675931 (accessed on 27 September 2021).
- Ghavami, M.; Merino, E.F.; Yao, Z.K.; Elahi, R.; Simpson, M.E.; Fernández-Murga, M.L.; Butler, J.H.; Casasanta, M.A.; Krai, P.M.; Totrov, M.M.; et al. Biological Studies and Target Engagement of the 2- C -Methyl- d -Erythritol 4-Phosphate Cytidylyltransferase (IspD)-Targeting Antimalarial Agent (1 R,3 S)-MMV008138 and Analogs. ACS Infect. Dis. 2018, 4, 549–559. [Google Scholar] [CrossRef] [PubMed]
- Gorki, V.; Singh, R.; Walter, N.S.; Bagai, U.; Salunke, D.B. Synthesis and Evaluation of Antiplasmodial Efficacy of β-Carboline Derivatives against Murine Malaria. ACS Omega 2018, 3, 13200–13210. [Google Scholar] [CrossRef] [PubMed] [Green Version]
- Gellis, A.; Dumètre, A.; Lanzada, G.; Hutter, S.; Ollivier, E.; Vanelle, P.; Azas, N. Preparation and antiprotozoal evaluation of promising β-carboline alkaloids. Biomed. Pharmacother. 2012, 66, 339–347. [Google Scholar] [CrossRef]
- Garg, A.; Lukk, T.; Kumar, V.; Choi, J.Y.; Augagneur, Y.; Voelker, D.R.; Nair, S.; Mamoun, C. Ben Structure, Function and Inhibition of the Phosphoethanolamine Methyltransferases of the Human Malaria Parasites Plasmodium vivax and Plasmodium knowlesi. Sci. Rep. 2015, 5, 1–13. [Google Scholar] [CrossRef] [Green Version]
- Makler, M.T.; Piper, R.C.; Milhous, W.K. Lactate Dehydrogenase and the Diagnosis of Malaria. Parasitol. Today 1998, 14, 376–377. [Google Scholar] [CrossRef]
- Chan, M.; Sim, T.S. Functional characterization of an alternative [lactate dehydrogenase-like] malate dehydrogenase in Plasmodium falciparum. Parasitol. Res. 2004, 92, 43–47. [Google Scholar] [CrossRef] [PubMed]
- Kerr, I.D.; Lee, J.H.; Pandey, K.C.; Harrison, A.; Sajid, M.; Rosenthal, P.J.; Brinen, L.S. Structures of Falcipain-2 and Falcipain-3 Bound to Small Molecule Inhibitors: Implications for Substrate Specificity. J. Med. Chem. 2009, 52, 852–857. [Google Scholar] [CrossRef]
- Song, H.J.; Liu, Y.X.; Liu, Y.X.; Huang, Y.Q.; Li, Y.Q.; Wang, Q.M. Design, synthesis, anti-TMV, fungicidal, and insecticidal activity evaluation of 1,2,3,4-tetrahydro-β-carboline-3-carboxylic acid derivatives based on virus inhibitors of plant sources. Bioorg. Med. Chem. Lett. 2014, 24, 5228–5233. [Google Scholar] [CrossRef]
- Eagon, S.; Hammill, J.T.; Bach, J.; Everson, N.; Sisley, T.A.; Walls, M.J.; Durham, S.; Pillai, D.R.; Falade, M.O.; Rice, A.L.; et al. Antimalarial activity of tetrahydro-β-carbolines targeting the ATP binding pocket of the Plasmodium falciparum heat shock 90 protein. Bioorg. Med. Chem. Lett. 2020, 30, 127502. [Google Scholar] [CrossRef]
- Shibeshi, M.A.; Kifle, Z.D.; Atnafie, S.A. Antimalarial Drug Resistance and Novel Targets for Antimalarial Drug Discovery. Infect. Drug Resist. 2020, 13, 4047–4060. [Google Scholar] [CrossRef]
- Imperatore, C.; Persico, M.; Senese, M.; Aiello, A.; Casertano, M.; Luciano, P.; Basilico, N.; Parapini, S.; Paladino, A.; Fattorusso, C.; et al. Exploring the antimalarial potential of the methoxy-thiazinoquinone scaffold: Identification of a new lead candidate. Bioorg Chem. 2019, 85, 240–252. [Google Scholar] [CrossRef]
- Sonawane, D.P.; Persico, M.; Corbett, Y.; Chianese, G.; Di Dato, A.; Fattorusso, C.; Taglialatela-Scafati, O.; Taramelli, D.; Trombini, C.; Dhavale, D.D.; et al. New antimalarial 3-methoxy-1,2-dioxanes: Optimization of cellular pharmacokinetics and pharmacodynamics properties by incorporation of amino and N-heterocyclic moieties at C4. RSC Adv. 2015, 5, 72995–73010. [Google Scholar] [CrossRef] [Green Version]
- Ungemach, F.; Soerens, D.; Weber, R.; DiPierro, M.; Campos, O.; Mokry, P.; Cook, J.M.; Silverton, J.V. General Method for the Assignment of Stereochemistry of 1,3-Disubstituted 1,2,3,4-tetrahydro-β-carbolines by Carbon-13 Spectroscopy. J. Am. Chem. Soc. 1980, 102, 6976–6984. [Google Scholar] [CrossRef]
- Jaromin, A.; Czopek, A.; Parapini, S.; Basilico, N.; Misiak, E.; Gubernator, J.; Zagórska, A. Synthesis and Antiplasmodial Activity of Novel Bioinspired Imidazolidinedione Derivatives. Biomolecules 2021, 11, 33. [Google Scholar] [CrossRef]
- Trager, W.; Jensen, J.B. Human malaria parasites in continuous culture. Science 1976, 193, 673–675. [Google Scholar] [CrossRef] [PubMed]
- Makler, M.T.; Hinrichs, D.J. Measurement of the lactate dehydrogenase activity of Plasmodium falciparum as an assessment of parasitemia. Am. J. Trop. Med. Hyg. 1993, 48, 205–210. [Google Scholar] [CrossRef] [PubMed]
- Jaromin, A.; Korycińska, M.; Piętka-Ottlik, M.; Musiał, W.; Peczyńska-Czoch, W.; Kaczmarek, Ł.; Kozubek, A. Membrane perturbations induced by new analogs of neocryptolepine. Biol. Pharm. Bull. 2012, 35, 1432–1439. [Google Scholar] [CrossRef] [PubMed] [Green Version]
- Sastry, G.M.; Adzhigirey, M.; Day, T.; Annabhimoju, R.; Sherman, W. Protein and ligand preparation: Parameters, protocols, and influence on virtual screening enrichments. J. Comput. Aided. Mol. Des. 2013, 27, 221–234. [Google Scholar] [CrossRef] [PubMed]
- Sherman, W.; Day, T.; Jacobson, M.P.; Friesner, R.A.; Farid, R. Novel procedure for modeling ligand/receptor induced fit effects. J. Med. Chem. 2006, 49, 534–553. [Google Scholar] [CrossRef] [PubMed]




| Comp | Structure | Log D | Comp | Structure | Log D | ||||
|---|---|---|---|---|---|---|---|---|---|
| pH 7.4 | pH 7.2 | pH 5.5 | pH 7.4 | pH 7.2 | pH 5.5 | ||||
| 2 | ![]() | 2.53 | 2.40 | 0.87 | 10 | ![]() | 3.39 | 3.34 | 2.12 |
| 3 | ![]() | 1.73 | 1.59 | 0.05 | 11 | ![]() | 2.77 | 2.71 | 1.50 |
| 4 | ![]() | 2.47 | 2.33 | 0.80 | 12 | ![]() | 2.69 | 2.53 | 0.05 |
| 5 | ![]() | 2.79 | 2.65 | 1.11 | 1RS,3RS-13 | ![]() | 4.47 | 4.72 | 3.50 |
| 6 | ![]() | 3.18 | 3.03 | 1.47 | 1RS,3SR-13 | ![]() | 4.47 | 4.72 | 3.50 |
| 7 | ![]() | 5.65 | 5.49 | 3.93 | 14 | ![]() | 5.09 | 5.03 | 3.82 |
| 8 | ![]() | 4.88 | 4.83 | 3.61 | CQ | ![]() | 0.88 | 0.64 | 0.76 |
| 9 | ![]() | 5.58 | 5.53 | 4.31 | |||||
| Compound | P. falciparum IC50 (µM) | RI a | |
|---|---|---|---|
| D10 | W2 | ||
| 2 | 21.87 ± 5.82 | 10.12 ± 2.14 | 0.46 |
| 3 | 13.17 ± 2.85 | 9.60 ± 0.78 | 0.73 |
| 4 | 21.38 ± 4.70 | 20.10 ± 2.79 | 0.94 |
| 5 | 33.47 ± 7.58 | 16.19 ± 4.11 | 0.48 |
| 6 | 9.73 ± 0.96 | 11.36 ± 0.82 | 1.17 |
| 7 | 4.45 ± 0.83 | 4.00 ± 0.53 | 0.90 |
| 8 | 10.48 ± 1.53 | 7.80 ± 1.54 | 0.74 |
| 9 | 8.41 ± 1.20 | 6.41 ± 1.05 | 0.76 |
| 10 | 29.36 ± 7.88 | 20.54 ± 2.20 | 0.70 |
| 11 | 35.36 ± 4.86 | 29.07 ± 4.05 | 0.82 |
| 12 | 11.45 ± 0.34 | 6.15 ± 0.46 | 0.54 |
| 1RS,3RS-13 | 16.05 ± 3.36 | 13.46 ± 1.99 | 0.84 |
| 1RS,3SR-13 | 12.53 ± 0.71 | 9.13 ± 0.83 | 0.73 |
| 14 | - b | - b | - |
| CQ | 0.017 ± 0.006 | 0.27 ± 0.07 | 15.88 |
| Compound | IC50 (µM) | SI a | |
|---|---|---|---|
| D10 | W2 | ||
| 3 | 157.18 ± 42.50 | 11.93 | 16.37 |
| 6 | 21.09 ± 8.82 | 2.17 | 1.86 |
| 7 | 72.02 ± 22.40 | 16.18 | 18.00 |
| 8 | 17.95 ± 9.46 | 1.71 | 2.30 |
| 9 | 18.93 ± 10.16 | 2.25 | 2.95 |
| 12 | 102.07 ± 14.83 | 8.91 | 16.60 |
| 1RS,3RS-13 | 53.78 ± 21.89 | 3.35 | 4.00 |
| 1RS,3SR-13 | - b | - | - |
| CQ | >38 c | - | - |
Publisher’s Note: MDPI stays neutral with regard to jurisdictional claims in published maps and institutional affiliations. |
© 2021 by the authors. Licensee MDPI, Basel, Switzerland. This article is an open access article distributed under the terms and conditions of the Creative Commons Attribution (CC BY) license (https://creativecommons.org/licenses/by/4.0/).
Share and Cite
Jaromin, A.; Gryzło, B.; Jamrozik, M.; Parapini, S.; Basilico, N.; Cegła, M.; Taramelli, D.; Zagórska, A. Synthesis, Molecular Docking and Antiplasmodial Activities of New Tetrahydro-β-Carbolines. Int. J. Mol. Sci. 2021, 22, 13569. https://doi.org/10.3390/ijms222413569
Jaromin A, Gryzło B, Jamrozik M, Parapini S, Basilico N, Cegła M, Taramelli D, Zagórska A. Synthesis, Molecular Docking and Antiplasmodial Activities of New Tetrahydro-β-Carbolines. International Journal of Molecular Sciences. 2021; 22(24):13569. https://doi.org/10.3390/ijms222413569
Chicago/Turabian StyleJaromin, Anna, Beata Gryzło, Marek Jamrozik, Silvia Parapini, Nicoletta Basilico, Marek Cegła, Donatella Taramelli, and Agnieszka Zagórska. 2021. "Synthesis, Molecular Docking and Antiplasmodial Activities of New Tetrahydro-β-Carbolines" International Journal of Molecular Sciences 22, no. 24: 13569. https://doi.org/10.3390/ijms222413569
APA StyleJaromin, A., Gryzło, B., Jamrozik, M., Parapini, S., Basilico, N., Cegła, M., Taramelli, D., & Zagórska, A. (2021). Synthesis, Molecular Docking and Antiplasmodial Activities of New Tetrahydro-β-Carbolines. International Journal of Molecular Sciences, 22(24), 13569. https://doi.org/10.3390/ijms222413569
















