Nanoscale Elastoplastic Wrinkling of Ultrathin Molecular Films
Abstract
1. Introduction
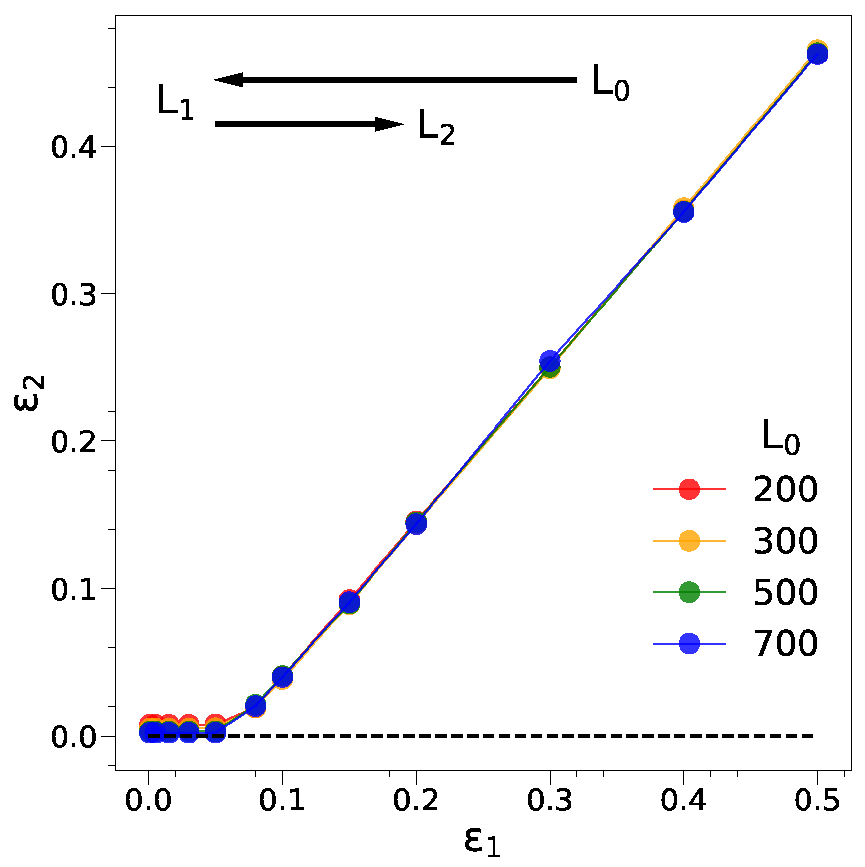
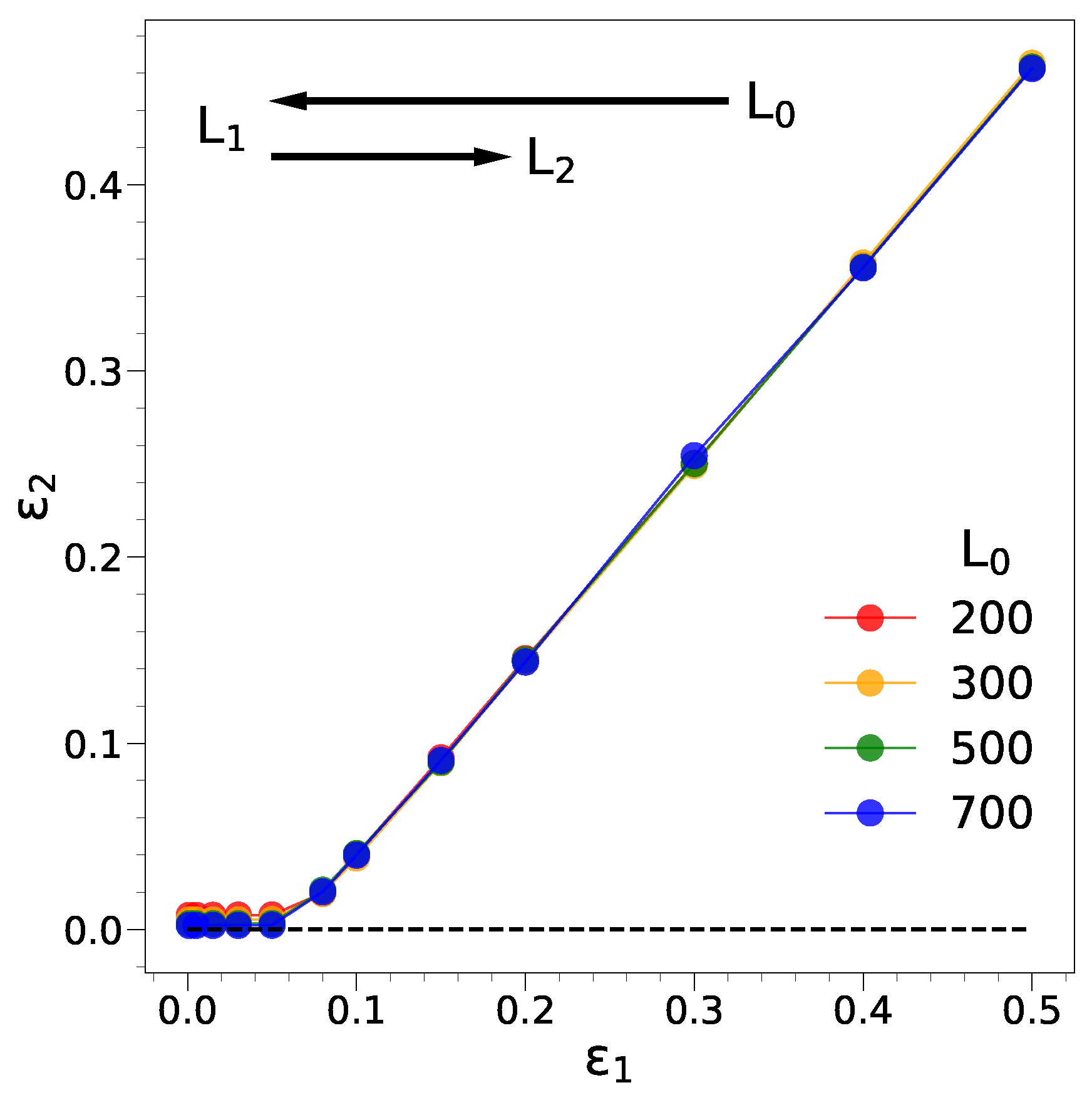
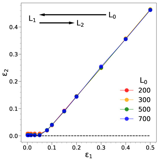
- , namely, the onset of wrinkling occurs at finite compression.
- The wavelength dependence on the compression is accounted for by Equation (3) up to remarkably large deformations.
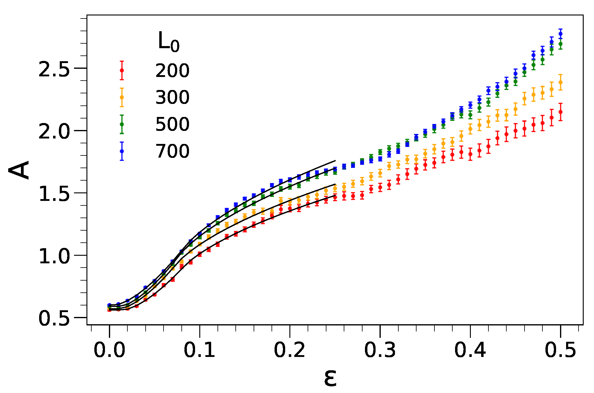
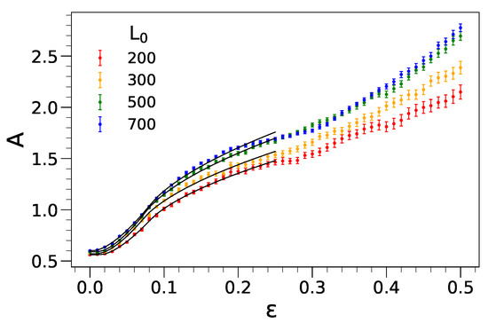
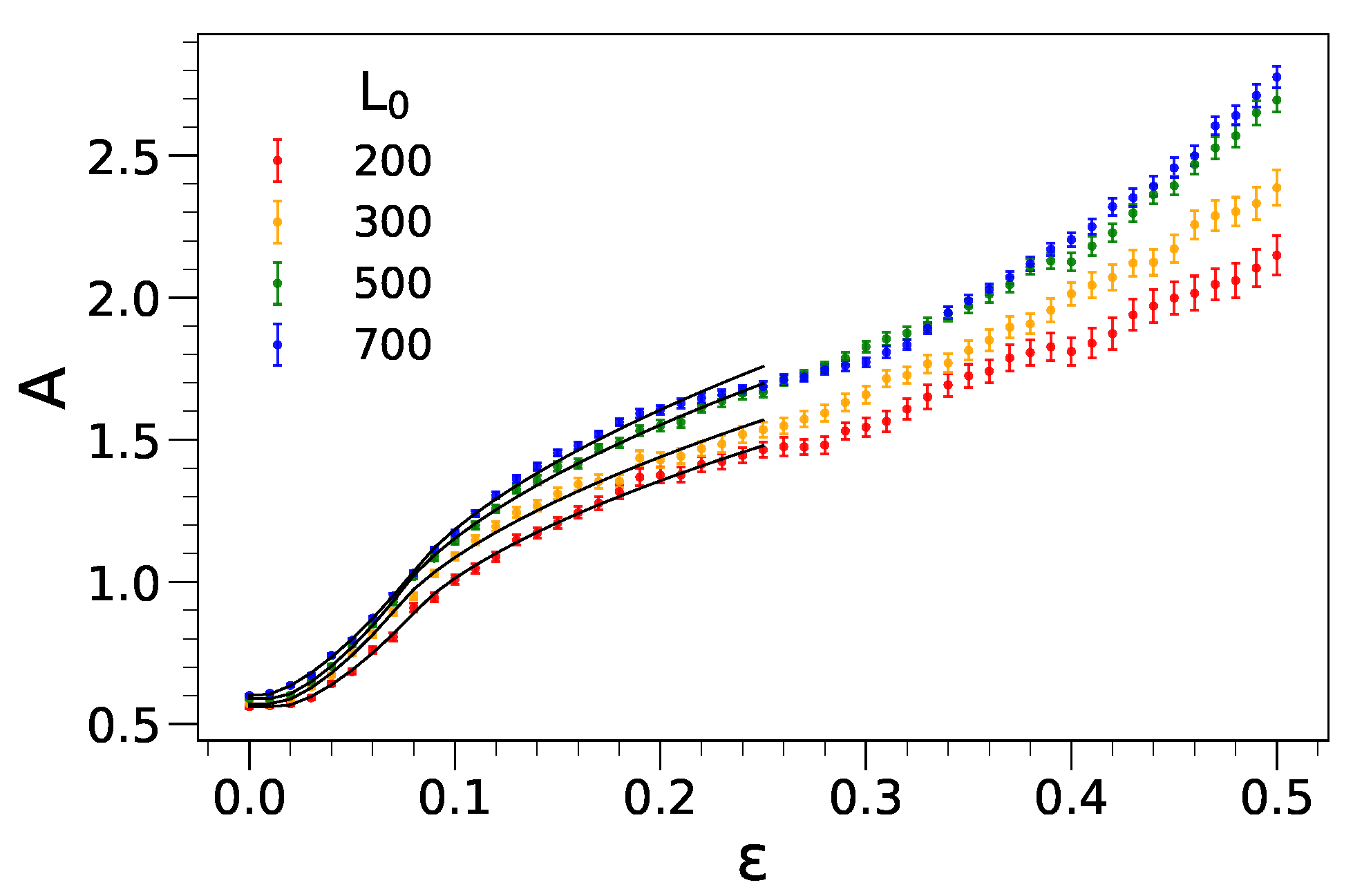
- Under small compression, the wrinkling amplitude A grows according to an extended version of Equation (2), accounting for some rounding of the bifurcation at .
- Under large compression, the amplitude A grows according to the geometrical law that the wrinkling cross section is nearly constant.
- The contour length of the topography of the wrinkled film, ℓ, changes under compression, which is in disagreement with the simple accordion model.
2. Results and Discussion
2.1. Elastic and Plastic Regimes of the Thin Film
2.2. Buckling Wavelength
2.3. Buckling Amplitude
2.3.1. Small Compression:
2.3.2. Large Compression:
3. Model and Methods
4. Conclusions
Author Contributions
Funding
Data Availability Statement
Acknowledgments
Conflicts of Interest
Abbreviations
| AQS | Athermal Quasi-Static |
| FT | Fourier Transform |
| MD | Molecular Dynamics |
| PH | Persistent homology |
References
- Landau, L.D. Theory of Elasticity; Pergamon Press: New York, NY, USA, 1986. [Google Scholar]
- Timoshenko, S.; Gere, J.M. Theory of Elastic Stability; McGraw-Hill: New York, NY, USA, 1961. [Google Scholar]
- Pippard, A.B. Response and Stability: An Introduction to the Physical Theory; Cambridge University Press: Cambridge, UK, 1985. [Google Scholar]
- Cao, Y.; Hutchinson, J.W. Wrinkling Phenomena in Neo-Hookean Film/Substrate Bilayers. J. Appl. Mech. 2012, 79, 031019. [Google Scholar] [CrossRef]
- Budiansky, B.; Hutchinson, J.W. Dynamic buckling of imperfection-sensitive structures. In Applied Mechanics; Görtler, H., Ed.; Springer: Berlin/Heidelberg, Germany, 1966; pp. 636–651. [Google Scholar]
- Hutchinson, J.W. On the Postbuckling Behavior of Imperfection-Sensitive Structures in the Plastic Range. J. Appl. Mech. 1972, 39, 155–162. [Google Scholar] [CrossRef]
- Elishakoff, I.; Li, Y.; Starnes, J.H., Jr. Non-Classical Problems in the Theory of Elastic Stability; Cambridge University Press: Cambridge, UK, 2001. [Google Scholar] [CrossRef]
- Nikravesh, S.; Ryu, D.; Shen, Y.L. Instabilities of Thin Films on a Compliant Substrate: Direct Numerical Simulations from Surface Wrinkling to Global Buckling. Sci. Rep. 2020, 10, 5728. [Google Scholar] [CrossRef]
- Schweikart, A.; Fery, A. Controlled wrinkling as a novel method for the fabrication of patterned surfaces. Microchim. Acta 2009, 165, 249–263. [Google Scholar] [CrossRef]
- Liu, N.; Yang, H.; Li, H.; Yan, S. Plastic wrinkling prediction in thin-walled part forming process: A review. Chin. J. Aeronaut. 2016, 29, 1–14. [Google Scholar] [CrossRef]
- Le Grognec, P.; Sad Saoud, K. Elastoplastic buckling and post-buckling analysis of sandwich columns. Int. J. Non-Linear Mech. 2015, 72, 67–79. [Google Scholar] [CrossRef]
- Cao, Y.P.; Zheng, X.P.; Jia, F.; Feng, X.Q. Wrinkling and creasing of a compressed elastoplastic film resting on a soft substrate. Comput. Mater. Sci. 2012, 57, 111–117. [Google Scholar] [CrossRef]
- Yang, J.; Damle, S.; Maiti, S.; Velankar, S.S. Stretching-induced wrinkling in plastic–rubber composites. Soft Matter 2017, 13, 776–787. [Google Scholar] [CrossRef] [PubMed]
- Paulsen, J.D.; Hohlfeld, E.; King, H.; Huang, J.; Qiu, Z.; Russell, T.P.; Menon, N.; Vella, D.; Davidovitch, B. Curvature-induced stiffness and the spatial variation of wavelength in wrinkled sheets. Proc. Natl. Acad. Sci. USA 2016, 113, 1144–1149. [Google Scholar] [CrossRef]
- Johnson, C.G.; Jain, U.; Hazel, A.L.; Pihler-Puzović, D.; Mullin, T. On the buckling of an elastic holey column. Proc. Math. Phys. Eng. Sci. 2017, 473, 20170477. [Google Scholar] [CrossRef] [PubMed]
- Cerda, E.; Mahadevan, L. Geometry and Physics of Wrinkling. Phys. Rev. Lett. 2003, 90, 074302. [Google Scholar] [CrossRef] [PubMed]
- Dillard, D.A.; Mukherjee, B.; Karnal, P.; Batra, R.C.; Frechette, J. A review of Winkler’s foundation and its profound influence on adhesion and soft matter applications. Soft Matter 2018, 14, 3669–3683. [Google Scholar] [CrossRef]
- Wang, Q.; Zhao, X. Beyond wrinkles: Multimodal surface instabilities for multifunctional patterning. MRS Bull. 2016, 41, 115–122. [Google Scholar] [CrossRef]
- Chung, J.Y.; Nolte, A.J.; Stafford, C.M. Surface Wrinkling: A Versatile Platform for Measuring Thin-Film Properties. Adv. Mater. 2011, 23, 349–368. [Google Scholar] [CrossRef]
- Brau, F.; Vandeparre, H.; Sabbah, A.; Poulard, C.; Boudaoud, A.; Damman, P. Multiple-length-scale elastic instability mimics parametric resonance of nonlinear oscillators. Nat. Phys. 2011, 7, 56–60. [Google Scholar] [CrossRef]
- Krieger, K. Extreme mechanics: Buckling down. Nature 2012, 488, 146–147. [Google Scholar] [CrossRef] [PubMed]
- Pocivavsek, L.; Dellsy, R.; Kern, A.; Johnson, S.; Lin, B.; Lee, K.Y.C.; Cerda, E. Stress and Fold Localization in Thin Elastic Membranes. Science 2008, 320, 912–916. [Google Scholar] [CrossRef]
- Chu, E.; Xu, Y. Hydroforming of aluminum extrusion tubes for automotive applications. Part I: Buckling, wrinkling and bursting analyses of aluminum tubes. Int. J. Mech. Sci. 2004, 46, 263–283. [Google Scholar] [CrossRef]
- Paquette, J.; Kyriakides, S. Plastic buckling of tubes under axial compression and internal pressure. Int. J. Mech. Sci. 2006, 48, 855–867. [Google Scholar] [CrossRef]
- Bardi, F.; Kyriakides, S. Plastic buckling of circular tubes under axial compression—part I: Experiments. Int. J. Mech. Sci. 2006, 48, 830–841. [Google Scholar] [CrossRef]
- Chen, W.; Gui, X.; Yang, L.; Zhu, H.; Tang, Z. Wrinkling of two-dimensional materials: Methods, properties and applications. Nanoscale Horiz. 2019, 4, 291–320. [Google Scholar] [CrossRef]
- King, H.; Schroll, R.D.; Davidovitch, B.; Menon, N. Elastic sheet on a liquid drop reveals wrinkling and crumpling as distinct symmetry-breaking instabilities. Proc. Natl. Acad. Sci. USA 2012, 109, 9716–9720. [Google Scholar] [CrossRef] [PubMed]
- Nagashima, S.; Ebrahimi, H.; Lee, K.R.; Vaziri, A.; Moon, M.W. Tunable Nanochannels Fabricated by Mechanical Wrinkling/Folding of a Stiff Skin on a Soft Polymer. Adv. Mater. Interfaces 2015, 2, 1400493. [Google Scholar] [CrossRef]
- Jambon-Puillet, E.; Josserand, C.; Protière, S. Wrinkles, folds, and plasticity in granular rafts. Phys. Rev. Mater. 2017, 1, 042601. [Google Scholar] [CrossRef]
- Vaia, R.; Baur, J. Materials science. Adaptive composites. Science 2008, 319, 420–421. [Google Scholar] [CrossRef] [PubMed]
- Song, J.; Jiang, H.; Huang, Y.; Rogers, J.A. Mechanics of stretchable inorganic electronic materials. J. Vac. Sci. Technol. A 2009, 27, 1107–1125. [Google Scholar] [CrossRef]
- Chung, J.Y.; Douglas, J.F.; Stafford, C.M. A wrinkling-based method for investigating glassy polymer film relaxation as a function of film thickness and temperature. J. Chem. Phys. 2017, 147, 154902. [Google Scholar] [CrossRef] [PubMed]
- Ekinci, K.L.; Roukes, M.L. Nanoelectromechanical systems. Rev. Sci. Instrum. 2005, 76, 061101. [Google Scholar] [CrossRef]
- Bowden, N.B.; Brittain, S.T.; Evans, A.G.; Hutchinson, J.; Whitesides, G.M. Spontaneous Formation of Ordered Structures in Thin Films of Metals Supported on an Elastomeric Polymer. Nature 1998, 393, 146–149. [Google Scholar] [CrossRef]
- Moon, M.W.; Lee, S.H.; Sun, J.Y.; Oh, K.H.; Vaziri, A.; Hutchinson, J.W. Wrinkled hard skins on polymers created by focused ion beam. Proc. Natl. Acad. Sci. USA 2007, 104, 1130–1133. [Google Scholar] [CrossRef]
- Bhadauriya, S.; Wang, X.; Pitliya, P.; Zhang, J.; Raghavan, D.; Bockstaller, M.R.; Stafford, C.M.; Douglas, J.F.; Karim, A. Tuning the Relaxation of Nanopatterned Polymer Films with Polymer-Grafted Nanoparticles: Observation of Entropy–Enthalpy Compensation. Nano Lett. 2018, 18, 7441–7447. [Google Scholar] [CrossRef]
- Bhadauriya, S.; Wang, X.; Nallapaneni, A.; Masud, A.; Wang, Z.; Lee, J.; Bockstaller, M.R.; Al-Enizi, A.M.; Camp, C.H., Jr.; Stafford, C.M.; et al. Observation of General Entropy–Enthalpy Compensation Effect in the Relaxation of Wrinkled Polymer Nanocomposite Films. Nano Lett. 2021, 21, 1274–1281. [Google Scholar] [CrossRef]
- Bhadauriya, S.; Nallapaneni, A.; Wang, X.; Zhang, J.; Masud, A.; Bockstaller, M.R.; Al-Enizi, A.M.; Stafford, C.M.; Douglas, J.F.; Karim, A. Enhanced resistance to decay of imprinted nanopatterns in thin films by bare nanoparticles compared to polymer-grafted nanoparticles. Nanoscale Adv. 2021, 3, 5348–5354. [Google Scholar] [CrossRef]
- Makke, A.; Perez, M.; Lame, O.; Barrat, J.L. Nanoscale buckling deformation in layered copolymer materials. Proc. Natl. Acad. Sci. USA 2012, 109, 680–685. [Google Scholar] [CrossRef]
- Yang, K.; Chen, Y.; Pan, F.; Wang, S.; Ma, Y.; Liu, Q. Buckling Behavior of Substrate Supported Graphene Sheets. Materials 2016, 9, 32. [Google Scholar] [CrossRef]
- Huang, R. Kinetic wrinkling of an elastic film on a viscoelastic substrate. J. Mech. Phys. Solids 2005, 53, 63–89. [Google Scholar] [CrossRef]
- Huang, Z.; Hong, W.; Suo, Z. Nonlinear analyses of wrinkles in a film bonded to a compliant substrate. J. Mech. Phys. Solids 2005, 53, 2101–2118. [Google Scholar] [CrossRef]
- Jiang, H.; Khang, D.Y.; Song, J.; Sun, Y.; Huang, Y.; Rogers, J.A. Finite deformation mechanics in buckled thin films on compliant supports. Proc. Natl. Acad. Sci. USA 2007, 104, 15607–15612. [Google Scholar] [CrossRef]
- Song, J.; Jiang, H.; Liu, Z.; Khang, D.; Huang, Y.; Rogers, J.; Lu, C.; Koh, C. Buckling of a stiff thin film on a compliant substrate in large deformation. Int. J. Solids Struct. 2008, 45, 3107–3121. [Google Scholar] [CrossRef]
- Stukowski, A. Visualization and analysis of atomistic simulation data with OVITO-the Open Visualization Tool. Model. Simul. Mater. Sci. Eng. 2010, 18. [Google Scholar] [CrossRef]
- Plimpton, S. Fast Parallel Algorithms for Short-Range Molecular Dynamics. J. Comput. Phys. 1995, 117, 1–19. [Google Scholar] [CrossRef]
- Available online: http://lammps.sandia.gov (accessed on 3 March 2020).
- Kröger, M. Simple models for complex nonequilibrium fluids. Phys. Rep. 2004, 390, 453–551. [Google Scholar] [CrossRef]
- Baschnagel, J.; Varnik, F. Computer simulations of supercooled polymer melts in the bulk and in confined geometry. J. Phys. Condens. Matter 2005, 17, R851–R953. [Google Scholar] [CrossRef]
- Giuntoli, A.; Bernini, S.; Leporini, D. Bond disorder, frustration and polymorphism in the spontaneous crystallization of a polymer melt. J. Non-Cryst. Sol. 2016, 453, 88–93. [Google Scholar] [CrossRef][Green Version]
- Giuntoli, A.; Calonaci, N.; Bernini, S.; Leporini, D. Effect of nematic ordering on the elasticity and yielding in disordered polymeric solids. J. Polym. Sci. Part Polym. Phys. 2017, 55, 1760–1769. [Google Scholar] [CrossRef]
- Barrat, J.L.; Lemaitre, A. Heterogeneities in amorphous systems under shear. In Dynamical Heterogeneities in Glasses, Colloids, and Granular Media; Berthier, L., Biroli, G., Bouchaud, J., Cipelletti, L., van Saarloos, W., Eds.; Oxford University Press: Oxford, UK, 2011; Chapter 8. [Google Scholar]
- Otter, N.; Porter, M.A.; Tillmann, U.; Grindrod, P.; Harrington, H.A. A roadmap for the computation of persistent homology. EPJ Data Sci. 2017, 6, 17. [Google Scholar] [CrossRef] [PubMed]
- Boutry, N.; Géraud, T.; Najman, L. An Equivalence Relation Between Morphological Dynamics and Persistent Homology in 1D. In Mathematical Morphology and Its Applications to Signal and Image Processing; Burgeth, B., Kleefeld, A., Naegel, B., Passat, N., Perret, B., Eds.; Springer International Publishing: Cham, Swizterland, 2019; pp. 57–68. [Google Scholar]
- Edelsbrunner, H.; Harer, J. Persistent homology-a survey. In Surveys on Discrete and Computational Geometry: Twenty Years Later; American Mathematical Society: Provincetown, RI, USA, 2008; pp. 257–282. [Google Scholar]






| b/ | |||
|---|---|---|---|
| 200 | 2.05 ± 0.01 | 0.016 ± 0.001 | 0.068 ± 0.003 |
| 300 | 2.20 ± 0.02 | 0.012 ± 0.001 | 0.063 ± 0.003 |
| 500 | 2.45 ± 0.01 | 0.012 ± 0.001 | 0.067 ± 0.002 |
| 700 | 2.56 ± 0.02 | 0.006 ± 0.002 | 0.078 ± 0.004 |
Publisher’s Note: MDPI stays neutral with regard to jurisdictional claims in published maps and institutional affiliations. |
© 2021 by the authors. Licensee MDPI, Basel, Switzerland. This article is an open access article distributed under the terms and conditions of the Creative Commons Attribution (CC BY) license (https://creativecommons.org/licenses/by/4.0/).
Share and Cite
Cordella, G.; Tripodo, A.; Puosi, F.; Pisignano, D.; Leporini, D. Nanoscale Elastoplastic Wrinkling of Ultrathin Molecular Films. Int. J. Mol. Sci. 2021, 22, 11732. https://doi.org/10.3390/ijms222111732
Cordella G, Tripodo A, Puosi F, Pisignano D, Leporini D. Nanoscale Elastoplastic Wrinkling of Ultrathin Molecular Films. International Journal of Molecular Sciences. 2021; 22(21):11732. https://doi.org/10.3390/ijms222111732
Chicago/Turabian StyleCordella, Gianfranco, Antonio Tripodo, Francesco Puosi, Dario Pisignano, and Dino Leporini. 2021. "Nanoscale Elastoplastic Wrinkling of Ultrathin Molecular Films" International Journal of Molecular Sciences 22, no. 21: 11732. https://doi.org/10.3390/ijms222111732
APA StyleCordella, G., Tripodo, A., Puosi, F., Pisignano, D., & Leporini, D. (2021). Nanoscale Elastoplastic Wrinkling of Ultrathin Molecular Films. International Journal of Molecular Sciences, 22(21), 11732. https://doi.org/10.3390/ijms222111732

