Promising Anticancer Activity of [Bis(1,8-quinolato)palladium (II)] Alone and in Combination
Abstract
:1. Introduction
2. Results and Discussion
2.1. Synthesis
2.2. Crystal Structure of NH3
2.3. Antitumor Activity of the Complex
2.4. Proteomics
2.5. Protein–Protein Interaction and Functional Enrichment
2.6. Survival Prediction of the Ovarian Cancer Proteins
2.7. Altered Proteins Associated with the Cancer
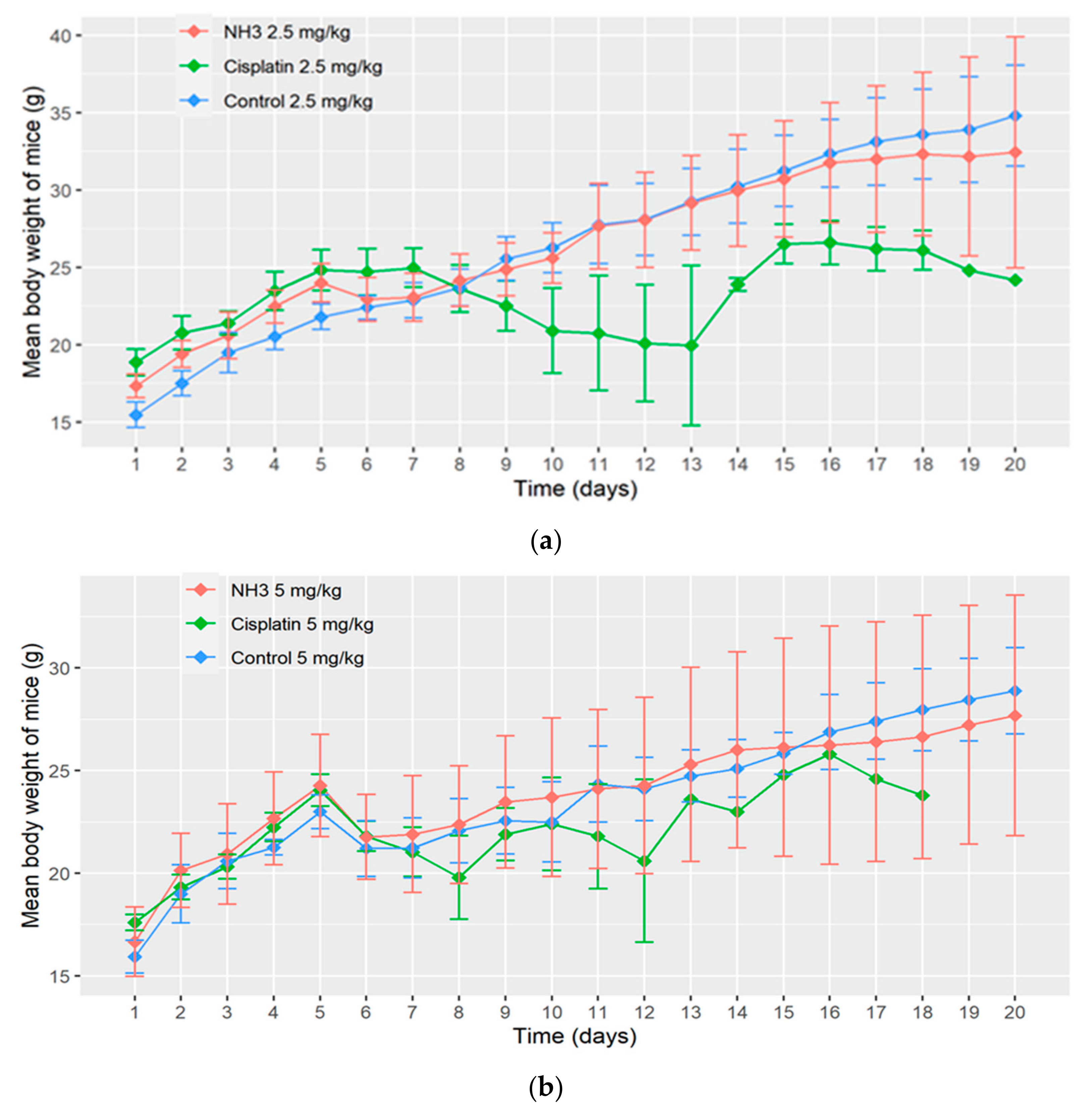
2.8. In Vivo Toxicological Study
2.9. Combination Study
3. Materials and Methods
3.1. Chemistry (Reagents and Chemicals)
3.2. Synthesis of [Bis(1,8-quinolato)palladium (II)] Coded as NH3
3.3. Elemental and Spectral Characterization
3.4. Biological Activity
3.5. Toxicity Study
4. Conclusions
Supplementary Materials
Author Contributions
Funding
Institutional Review Board Statement
Informed Consent Statement
Data Availability Statement
Acknowledgments
Conflicts of Interest
References
- Ndagi, U.; Mhlongo, N.; Soliman, M.E. Metal complexes in cancer therapy–an update from drug design perspective. Drug Des. Dev. Ther. 2017, 11, 599. [Google Scholar] [CrossRef] [PubMed]
- Alam, M.N.; Huq, F. Comprehensive review on tumour active palladium compounds and structure–activity relationships. Coord. Chem. Rev. 2016, 316, 36–67. [Google Scholar] [CrossRef]
- Alam, M.N.; Yu, J.Q.; Beale, P.; Turner, P.; Proschogo, N.; Huq, F. Crystal Structure, Antitumour and Antibacterial Activity of Imidazo [1, 2-α] pyridine Ligand Containing Palladium Complexes. ChemistrySelect 2020, 5, 668–673. [Google Scholar] [CrossRef]
- Prachayasittikul, V.; Prachayasittikul, S.; Ruchirawat, S.; Prachayasittikul, V. 8-Hydroxyquinolines: A review of their metal chelating properties and medicinal applications. Drug Des. Dev. Ther. 2013, 7, 1157. [Google Scholar] [CrossRef] [PubMed]
- Qin, Q.-P.; Chen, Z.-F.; Qin, J.-L.; He, X.-J.; Li, Y.-L.; Liu, Y.-C.; Huang, K.-B.; Liang, H. Studies on antitumor mechanism of two planar platinum (II) complexes with 8-hydroxyquinoline: Synthesis, characterization, cytotoxicity, cell cycle and apoptosis. Eur. J. Med. Chem. 2015, 92, 302–313. [Google Scholar] [CrossRef]
- Oliveri, V.; Vecchio, G. 8-Hydroxyquinolines in medicinal chemistry: A structural perspective. Eur. J. Med. Chem. 2016, 120, 252–274. [Google Scholar] [CrossRef]
- Arzuman, L.; Beale, P.; Yu, J.Q.; Proschogo, N.; Huq, F. Synthesis of a monofunctional platinum compound and its activity alone and in combination with phytochemicals in ovarian tumor models. Anticancer. Res. 2014, 34, 7077–7090. [Google Scholar]
- Alam, M.N.; Yu, J.Q.; Beale, P.; Huq, F. Cisplatin in combination with emetine and patulin showed dose and sequence dependent synergism against ovarian cancer. Synergy 2020, 10, 100060. [Google Scholar] [CrossRef]
- Alam, N.; Yu, J.; Beale, P.; Huq, F. Dose and Sequence Dependent Synergism from the Combination of Oxaliplatin with Emetine and Patulin against Colorectal Cancer. Anti-Cancer Agents Med. Chem. 2020, 20, 264–273. [Google Scholar] [CrossRef]
- Prout, C.; Wheeler, A. Molecular complexes. Part VI. The crystal and molecular structure of 8-hydroxyquinolinatopalladium (II). J. Chem. Soc. A Inorg. Phys. Theor. 1966, 1286–1290. [Google Scholar] [CrossRef]
- Low, K.H.; Xu, Z.X.; Xiang, H.F.; Chui, S.S.Y.; Roy, V.; Che, C.M. Bis (5, 7-dimethyl-8-hydroxyquinolinato) platinum (II) Complex for Efficient Organic Heterojunction Solar Cells. Chem. Asian J. 2011, 6, 3223–3229. [Google Scholar] [CrossRef]
- Tardito, S.; Barilli, A.; Bassanetti, I.; Tegoni, M.; Bussolati, O.; Franchi-Gazzola, R.; Mucchino, C.; Marchiò, L. Copper-dependent cytotoxicity of 8-hydroxyquinoline derivatives correlates with their hydrophobicity and does not require caspase activation. J. Med. Chem. 2012, 55, 10448–10459. [Google Scholar] [CrossRef] [PubMed]
- Jiang, H.; Taggart, J.E.; Zhang, X.; Benbrook, D.M.; Lind, S.E.; Ding, W.-Q. Nitroxoline (8-hydroxy-5-nitroquinoline) is more a potent anti-cancer agent than clioquinol (5-chloro-7-iodo-8-quinoline). Cancer Lett. 2011, 312, 11–17. [Google Scholar] [CrossRef]
- Ding, W.-Q.; Liu, B.; Vaught, J.L.; Yamauchi, H.; Lind, S.E. Anticancer activity of the antibiotic clioquinol. Cancer Res. 2005, 65, 3389–3395. [Google Scholar] [CrossRef]
- Shen, A.Y.; Wu, S.N.; Chiu, C.T. Synthesis and Cytotoxicity Evaluation of Some 8-Hydroxyquinoline Derivatives. J. Pharm. Pharmacol. 1999, 51, 543–548. [Google Scholar] [CrossRef] [PubMed]
- Vranec, P.; Potocnak, I.; Sabolova, D.; Farkasova, V.; Ipothova, Z.; Pisarcikova, J.; Paulikova, H. Low-dimensional compounds containing bioactive ligands. V: Synthesis and characterization of novel anticancer Pd(II) ionic compounds with quinolin-8-ol halogen derivatives. J. Inorg Biochem. 2014, 131, 37–46. [Google Scholar] [CrossRef] [PubMed]
- Szklarczyk, D.; Morris, J.H.; Cook, H.; Kuhn, M.; Wyder, S.; Simonovic, M.; Santos, A.; Doncheva, N.T.; Roth, A.; Bork, P. The STRING database in 2017: Quality-controlled protein–protein association networks, made broadly accessible. Nucleic Acids Res. 2016. [CrossRef] [PubMed]
- Xia, J.; Gill, E.E.; Hancock, R.E. NetworkAnalyst for statistical, visual and network-based meta-analysis of gene expression data. Nat. Protoc. 2015, 10, 823–844. [Google Scholar] [CrossRef]
- Kuleshov, M.V.; Jones, M.R.; Rouillard, A.D.; Fernandez, N.F.; Duan, Q.; Wang, Z.; Koplev, S.; Jenkins, S.L.; Jagodnik, K.M.; Lachmann, A. Enrichr: A comprehensive gene set enrichment analysis web server 2016 update. Nucleic Acids Res. 2016, 44, W90–W97. [Google Scholar] [CrossRef]
- Consortium, G.O. The gene ontology resource: 20 years and still GOing strong. Nucleic Acids Res. 2019, 47, D330–D338. [Google Scholar]
- Zhu, Y.; Qiu, P.; Ji, Y. TCGA-assembler: Open-source software for retrieving and processing TCGA data. Nat. Methods 2014, 11, 599–600. [Google Scholar] [CrossRef] [PubMed]
- Piñero, J.; Queralt-Rosinach, N.; Bravo, A.; Deu-Pons, J.; Bauer-Mehren, A.; Baron, M.; Sanz, F.; Furlong, L.I. DisGeNET: A discovery platform for the dynamical exploration of human diseases and their genes. Database 2015. [Google Scholar] [CrossRef]
- Valenzuela, H.F.; Grabauskas, T.; Chen, M.; Ruiz, T.; Kwak, Y. Combinations of resveratrol, curcumin and cisplatin lower the apoptosis threshold in Jurkat cell lines. J. Immunology 2017, 198, 141.15. [Google Scholar]
- Chen, P.; Li, J.; Jiang, H.-G.; Lan, T.; Chen, Y.-C. Curcumin reverses cisplatin resistance in cisplatin-resistant lung caner cells by inhibiting FA/BRCA pathway. Tumor Biol. 2015, 36, 3591–3599. [Google Scholar] [CrossRef]
- Baharuddin, P.; Satar, N.; Fakiruddin, K.S.; Zakaria, N.; Lim, M.N.; Yusoff, N.M.; Zakaria, Z.; Yahaya, B.H. Curcumin improves the efficacy of cisplatin by targeting cancer stem-like cells through p21 and cyclin D1-mediated tumour cell inhibition in non-small cell lung cancer cell lines. Oncol. Rep. 2016, 35, 13–25. [Google Scholar] [CrossRef] [PubMed]
- Park, B.H.; Lim, J.E.; Jeon, H.G.; Seo, S.I.; Lee, H.M.; Choi, H.Y.; Jeon, S.S.; Jeong, B.C. Curcumin potentiates antitumor activity of cisplatin in bladder cancer cell lines via ROS-mediated activation of ERK1/2. Oncotarget 2016, 7, 63870–63886. [Google Scholar] [CrossRef]
- Nessa, M.U.; Beale, P.; Chan, C.; Yu, J.Q.; Huq, F. Studies on combination of platinum drugs cisplatin and oxaliplatin with phytochemicals anethole and curcumin in ovarian tumour models. Anticancer Res. 2012, 32, 4843–4850. [Google Scholar]
- Tunc, D.; Dere, E.; Karakas, D.; Cevatemre, B.; Yilmaz, V.T.; Ulukaya, E. Cytotoxic and apoptotic effects of the combination of palladium (II) 5,5-diethylbarbiturate complex with bis(2-pyridylmethyl)amine and curcumin on non small lung cancer cell lines. Bioorganic Med. Chem. 2017, 25, 1717–1723. [Google Scholar] [CrossRef] [PubMed]
- Kuo, C.-L.; Wu, S.-Y.; Ip, S.-W.; Wu, P.-P.; Yu, C.-S.; Yang, J.-S.; Chen, P.-Y.; Wu, S.-H.; Chung, J.-G. Apoptotic death in curcumin-treated NPC-TW 076 human nasopharyngeal carcinoma cells is mediated through the ROS, mitochondrial depolarization and caspase-3-dependent signaling responses. Int. J. Oncol. 2011, 39, 319–328. [Google Scholar]
- Hatcher, H.; Planalp, R.; Cho, J.; Torti, F.; Torti, S. Curcumin: From ancient medicine to current clinical trials. Cell. Mol. Life Sci. 2008, 65, 1631–1652. [Google Scholar] [CrossRef]
- Banerjee, A.; Kunwar, A.; Mishra, B.; Priyadarsini, K. Concentration dependent antioxidant/pro-oxidant activity of curcumin: Studies from AAPH induced hemolysis of RBCs. Chem.-Biol. Interact. 2008, 174, 134–139. [Google Scholar] [CrossRef]
- Gan, R.-Y.; Li, H.-B.; Sui, Z.-Q.; Corke, H. Absorption, metabolism, anti-cancer effect and molecular targets of epigallocatechin gallate (EGCG): An updated review. Crit. Rev. Food Sci. Nutr. 2017, 58, 924–941. [Google Scholar] [CrossRef] [PubMed]
- Mayr, C.; Wagner, A.; Neureiter, D.; Pichler, M.; Jakab, M.; Illig, R.; Berr, F.; Kiesslich, T. The green tea catechin epigallocatechin gallate induces cell cycle arrest and shows potential synergism with cisplatin in biliary tract cancer cells. BMC Complementary Altern. Med. 2015, 15, 194. [Google Scholar] [CrossRef] [PubMed]
- Bimonte, S.; Leongito, M.; Barbieri, A.; Del, V.V.; Barbieri, M.; Albino, V.; Piccirillo, M.; Amore, A.; Di, R.G.; Nasto, A. Inhibitory effect of (-)-epigallocatechin-3-gallate and bleomycin on human pancreatic cancer MiaPaca-2 cell growth. Infect. Agents Cancer 2015, 10, 22. [Google Scholar] [CrossRef] [PubMed]
- Luo, T.; Wang, J.; Yin, Y.; Hua, H.; Jing, J.; Sun, X.; Li, M.; Zhang, Y.; Jiang, Y. (-)-Epigallocatechin gallate sensitizes breast cancer cells to paclitaxel in a murine model of breast carcinoma. Breast Cancer Res. 2010, 12, R8. [Google Scholar] [CrossRef] [PubMed]
- Mazumder, M.E.H.; Beale, P.; Chan, C.; Yu, J.Q.; Huq, F. Epigallocatechin gallate acts synergistically in combination with cisplatin and designed trans-palladiums in ovarian cancer cells. Anticancer. Res. 2012, 32, 4851–4860. [Google Scholar] [PubMed]
- Min, K.-J.; Kwon, T.K. Anticancer effects and molecular mechanisms of epigallocatechin-3-gallate. Integr. Med. Res. 2014, 3, 16–24. [Google Scholar] [CrossRef]
- Alam, M.N.; Almoyad, M.; Huq, F. Polyphenols in colorectal cancer: Current state of knowledge including clinical trials and molecular mechanism of action. BioMed Res. Int. 2018. [Google Scholar] [CrossRef] [PubMed]
- Hermersdörfer, H. RI Freshney: Culture of Animal Cells. A Manual of Basic Technique; John Wiley and Sons, Inc.: New York, NY, USA, 1994; Volume 39, pp. 184–185. [Google Scholar]
- Mosmann, T. Rapid colorimetric assay for cellular growth and survival: Application to proliferation and cytotoxicity assays. J. Immunol. Methods 1983, 65, 55–63. [Google Scholar] [CrossRef]















| Structure | a | b | c | β | Volume (Å3) | Z | Temp (Kelvin) |
|---|---|---|---|---|---|---|---|
| HQUIPD | 11.49 | 4.77 | 15.31 | 121.9 | 712.4 | 2 | 293 |
| HQUIPD01 | 11.216 | 4.719 | 14.993 | 120.22 | 685.7 | 2 | 100 |
| NH3 | 9.340 | 10.110 | 14.844 | 100.77 | 1385.6 | 4 | 150 |
| Spot No | Change in Expression | Fold Change | Protein Name | Mass (Da)/pI | Mascot Score | No of Matched Peptides | Sequence Coverage (%) |
|---|---|---|---|---|---|---|---|
| 6 | Downregulated | 4.8 | Actin, cytoplasmic 1 | 41,710/5.29 | 520 | 16 | 30 |
| 12 | Downregulated | 1.63 | Vimentin | 53,619/5.06 | 739 | 6 | 45 |
| 13 | Downregulated | 3.23 | 60 kDa heat shock protein, mitochondrial | 61,016/5.70 | 518 | 19 | 24 |
| 18 | Downregulated | 4.56 | Endoplasmin | 92,411/4.76 | 647 | 36 | 21 |
| 45 | Downregulated | 2.00 | 78 kDa glucose-regulated protein | 72,288/5.07 | 820 | 28 | 27 |
| 118 | Downregulated | 11.39 | Polyubiquitin-B | 25,746 | 40 | Not given | Not given |
| 155 | Downregulated | 6.63 | Histone H3.3 | 15,319/11.27 | 120 | 11 | 27 |
| Spot No | Change in Expression | Fold change | Protein Name | Mass (Da)/pI | Mascot Score | No of Matched Peptides | Sequence Coverage (%) |
|---|---|---|---|---|---|---|---|
| 1 | Downregulated | 1.51 | Actin, cytoplasmic 1 | 41,710/5.29 | 520 | 16 | 30 |
| Cn9 | Downregulated | 2.98 | 40S ribosomal protein SA | 32,833/4.79 | 130 | 10 | 17 |
| Cn16 | Downregulated | 1.69 | Heat shock cognate 71 kDa protein | 70,854/5.37 | 686 | 27 | 21 |
| Cn23 | Upregulated | 2.47 | Keratin, type II cytoskeletal 1 | 65,999 | 31 | Not given | Not given |
| Cn34 | Downregulated | 7.86 | Elongation factor Tu, mitochondrial | 49,510/7.26 | 88 | 13 | 16 |
| Cn41 | Downregulated | 2.93 | Citrate synthase, mitochondrial | 51,680/8.45 | 97 | 14 | 16 |
| Cn56 | Downregulated | 3.87 | Transitional endoplasmic reticulum ATPase | 89,266/5.14 | 208 | 14 | 10 |
| Cn69 | Downregulated | 2.27 | Cofilin-1 | 18,491/8.22 | 144 | 10 | 22 |
| Cn79 | Downregulated | 2.79 | Actin, cytoplasmic 1 | 41,710/5.29 | 231 | 19 | 48 |
| Spot No | Change in Expression | Fold Change | Protein Name | Mass (Da)/pI | Mascot Score | No of Matched Peptides | Sequence Coverage (%) |
|---|---|---|---|---|---|---|---|
| Hn70 | Downregulated | 2.14 | Nucleoside Diphosphate kinase B | 17,287/8.52 | 308 | 5(4) | 71 |
| Hn89 | Downregulated | 1.85 | Annexin A1 | 38,690/6.57 | 166 | 25 | 54 |
| Hn119 | Downregulated | 1.91 | Histone H4 | 11,360/11.36 | 58 | 6 | 29 |
| Tested Group | p-Value |
|---|---|
| Control vs cisplatin (2.5 mg/kg) | 2.2 × 10−16 *** |
| Control vs NH3 (2.5 mg/kg) | 1.043 × 10−5 *** |
| Control vs cisplatin (5 mg/kg) | 1.584 × 10−5 *** |
| Control vs NH3 (5 mg/kg) | 0.03752 ** |
| Mice Group | SGOT (IU/L) | SGPT (IU/L) | Creatinine (mg/dL) |
|---|---|---|---|
| C1 (Control 2.5 mg/kg) | 48 ± 7 | 42 ± 6 | 0.6 ± 0.1 |
| C2 (Control 5 mg/kg) | 47 ± 3 | 41 ± 3 | 0.6 ± 0.2 |
| S1 (Cisplatin 2.5 mg/kg) | 57 ± 4 | 61 ± 5 | 0.7 ± 0.3 |
| S2 (Cisplatin 5 mg/kg) | 61 ± 2 | 59 ± 7 | 0.9 ± 0.2 |
| E1 (NH3 2.5 mg/kg) | 53 ± 4 | 45 ± 3 | 0.9 ± 0.2 |
| E2 (NH3 5 mg/kg) | 59 ± 5 | 48 ± 4 | 0.7 ± 0.2 |
| Cell Line | Drug or Drug Combination | Sequence (h) | Molar Ratio | CI Values at | |||||
|---|---|---|---|---|---|---|---|---|---|
| ED50 | ED75 | ED90 | Dm | m | r | ||||
| A2780 | NH3 | 1:63.55 | N/A | N/A | N/A | 0.18 | 1.97 | 0.94 | |
| Curcumin | N/A | N/A | N/A | 8.63 | 1.25 | 1.00 | |||
| NH3 + Curcumin | 0/0 | 0.59 | 0.92 | 1.48 | 0.05 | 0.93 | 1.00 | ||
| NH3 + Curcumin | 0/4 | 0.30 | 0.71 | 1.74 | 0.02 | 0.69 | 0.99 | ||
| NH3 + Curcumin | 4/0 | 0.46 | 0.80 | 1.42 | 0.04 | 0.86 | 1.00 | ||
| NH3 | 1:64.2 | N/A | N/A | N/A | 0.18 | 1.97 | 0.94 | ||
| EGCG | N/A | N/A | N/A | 10.34 | 0.94 | 0.95 | |||
| NH3 + EGCG | 0/0 | 0.44 | 0.89 | 1.97 | 0.04 | 0.71 | 0.94 | ||
| NH3 + EGCG | 0/4 | 1.22 | 0.93 | 0.77 | 0.10 | 1.95 | 0.97 | ||
| NH3 + EGCG | 4/0 | 1.34 | 1.02 | 0.84 | 0.11 | 1.97 | 0.99 | ||
| A2780cisR | NH3 | 1:76.07 | N/A | N/A | N/A | 0.23 | 2.05 | 0.99 | |
| Curcumin | N/A | N/A | N/A | 16.74 | 1.56 | 1.00 | |||
| NH3 + Curcumin | 0/0 | 0.83 | 0.77 | 0.72 | 0.09 | 2.02 | 0.94 | ||
| NH3 + Curcumin | 0/4 | 0.55 | 0.66 | 0.80 | 0.06 | 1.37 | 0.97 | ||
| NH3 + Curcumin | 4/0 | 0.86 | 0.81 | 0.76 | 0.10 | 1.99 | 0.94 | ||
| NH3 | 1:64.2 | N/A | N/A | N/A | 0.23 | 2.05 | 0.99 | ||
| EGCG | N/A | N/A | N/A | 8.90 | 0.93 | 0.95 | |||
| NH3 + EGCG | 0/0 | 1.15 | 0.85 | 0.69 | 0.11 | 1.99 | 0.97 | ||
| NH3 + EGCG | 0/4 | 0.91 | 0.67 | 0.55 | 0.09 | 1.99 | 0.92 | ||
| NH3 + EGCG | 4/0 | 0.95 | 1.01 | 1.20 | 0.09 | 1.19 | 0.98 | ||
| Cell Line | Drug or Drug Combination | Sequence (h) | Molar Ratio | CI Values at | |||||
|---|---|---|---|---|---|---|---|---|---|
| ED50 | ED75 | ED90 | Dm | m | r | ||||
| HT-29 | NH3 | 1:199.97 | N/A | N/A | N/A | 0.38 | 2.06 | 0.98 | |
| Curcumin | N/A | N/A | N/A | 16.63 | 1.25 | 0.97 | |||
| NH3 + Curcumin | 0/0 | 0.98 | 0.86 | 0.77 | 0.07 | 1.62 | 1.00 | ||
| NH3 + Curcumin | 0/4 | 1.21 | 1.29 | 1.40 | 0.08 | 1.27 | 0.99 | ||
| NH3 + Curcumin | 4/0 | 0.50 | 0.57 | 0.68 | 0.03 | 1.16 | 1.00 | ||
| NH3 | 1:278.26 | N/A | N/A | N/A | 0.38 | 2.06 | 0.98 | ||
| EGCG | N/A | N/A | N/A | 3.67 | 0.39 | 0.96 | |||
| NH3 + EGCG | 0/0 | 5.69 | 1.02 | 0.46 | 0.07 | 1.29 | 0.96 | ||
| NH3 + EGCG | 0/4 | 9.00 | 1.33 | 0.50 | 0.11 | 1.67 | 1.00 | ||
| NH3 + EGCG | 4/0 | 7.54 | 1.24 | 0.52 | 0.10 | 1.43 | 1.00 | ||
| Caco-2 | NH3 | 1:61.25 | N/A | N/A | N/A | 0.56 | 1.96 | 0.93 | |
| Curcumin | N/A | N/A | N/A | 21.90 | 1.08 | 1.00 | |||
| NH3 + Curcumin | 0/0 | 0.38 | 0.65 | 1.19 | 0.08 | 0.81 | 1.00 | ||
| NH3 + Curcumin | 0/4 | 0.89 | 1.06 | 1.33 | 0.19 | 1.11 | 1.00 | ||
| NH3 + Curcumin | 4/0 | 0.71 | 0.93 | 1.28 | 0.15 | 1.01 | 1.00 | ||
| NH3 | 1:177.17 | N/A | N/A | N/A | 0.56 | 1.96 | 0.93 | ||
| EGCG | N/A | N/A | N/A | 107.58 | 1.32 | 0.94 | |||
| NH3 + EGCG | 0/0 | 0.45 | 0.69 | 1.09 | 0.13 | 0.98 | 0.95 | ||
| NH3 + EGCG | 0/4 | 0.34 | 0.73 | 1.58 | 0.10 | 0.77 | 0.99 | ||
| NH3 + EGCG | 4/0 | 0.90 | 1.15 | 1.49 | 0.26 | 1.19 | 0.98 | ||
| Activity | Duration/Date During Experiment |
|---|---|
| Acclimation of the animals | 5 days |
| Treatment phase 1 | 6th to 10th day |
| Relax phase | 11th to 15th day |
| Treatment phase 2 | 16th to 20th day |
| Treatment off/Preparation for sacrifice | 21st day |
| Sacrifice of animals | 22nd day |
Publisher’s Note: MDPI stays neutral with regard to jurisdictional claims in published maps and institutional affiliations. |
© 2021 by the authors. Licensee MDPI, Basel, Switzerland. This article is an open access article distributed under the terms and conditions of the Creative Commons Attribution (CC BY) license (https://creativecommons.org/licenses/by/4.0/).
Share and Cite
Alam, M.N.; Moni, M.A.; Yu, J.Q.; Beale, P.; Turner, P.; Proschogo, N.; Rahman, M.A.; Hossain, M.P.; Huq, F. Promising Anticancer Activity of [Bis(1,8-quinolato)palladium (II)] Alone and in Combination. Int. J. Mol. Sci. 2021, 22, 8471. https://doi.org/10.3390/ijms22168471
Alam MN, Moni MA, Yu JQ, Beale P, Turner P, Proschogo N, Rahman MA, Hossain MP, Huq F. Promising Anticancer Activity of [Bis(1,8-quinolato)palladium (II)] Alone and in Combination. International Journal of Molecular Sciences. 2021; 22(16):8471. https://doi.org/10.3390/ijms22168471
Chicago/Turabian StyleAlam, Md Nur, Mohammad Ali Moni, Jun Q. Yu, Philip Beale, Peter Turner, Nick Proschogo, Mohammad Azizur Rahman, M. Pear Hossain, and Fazlul Huq. 2021. "Promising Anticancer Activity of [Bis(1,8-quinolato)palladium (II)] Alone and in Combination" International Journal of Molecular Sciences 22, no. 16: 8471. https://doi.org/10.3390/ijms22168471
APA StyleAlam, M. N., Moni, M. A., Yu, J. Q., Beale, P., Turner, P., Proschogo, N., Rahman, M. A., Hossain, M. P., & Huq, F. (2021). Promising Anticancer Activity of [Bis(1,8-quinolato)palladium (II)] Alone and in Combination. International Journal of Molecular Sciences, 22(16), 8471. https://doi.org/10.3390/ijms22168471

