Interactions among Lacosamide and Second-Generation Antiepileptic Drugs in the Tonic-Clonic Seizure Model in Mice
Abstract
1. Introduction
2. Results
2.1. Anticonvulsant Effects of ASMs When Administered Separately in the Mouse Model of Tonic-Clonic Seizures
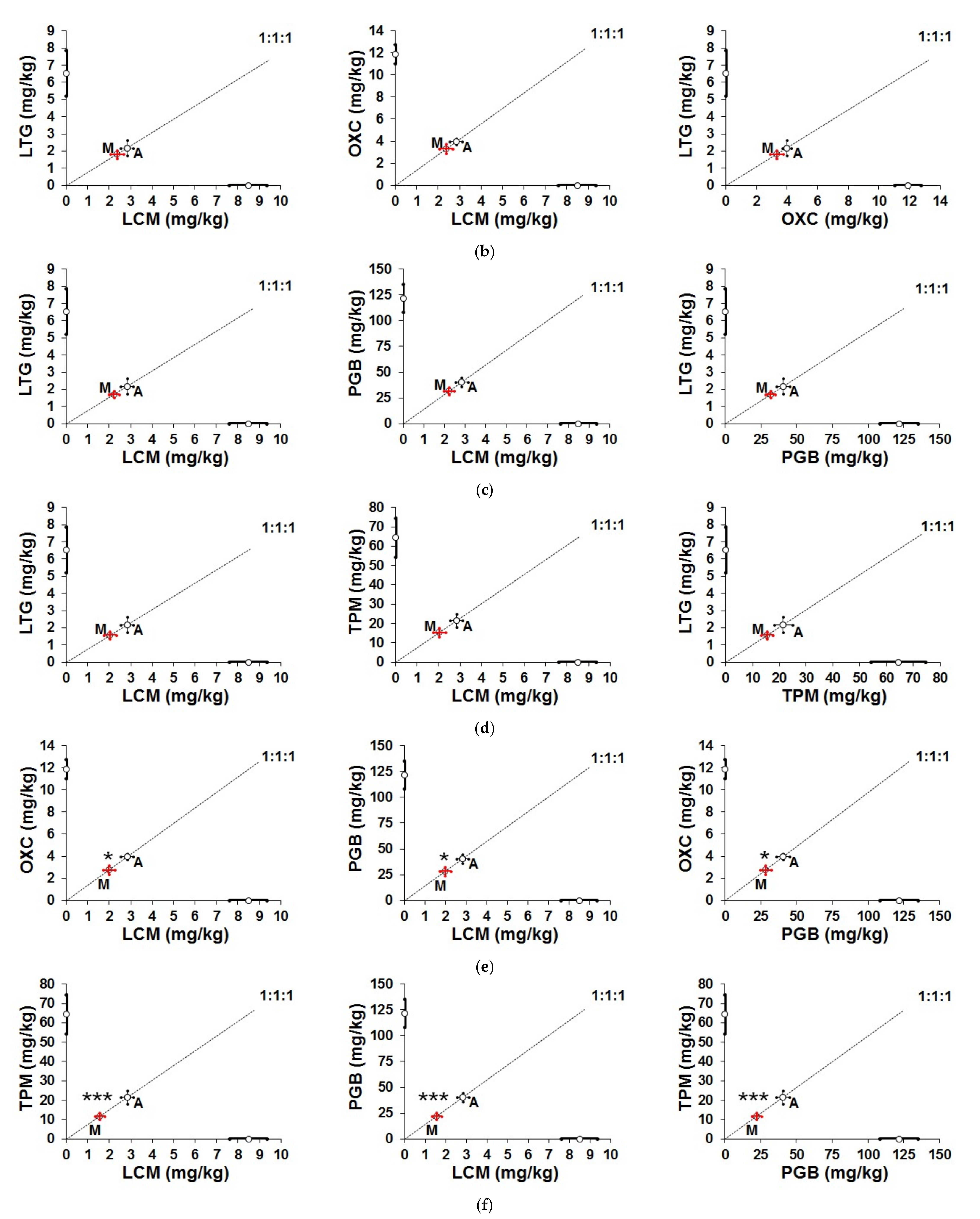
2.2. Isobolographic Analysis of Interactions among the Studied ASMs in the Mouse MES Model
2.3. Interaction Indices for the Tested Triple Combinations of ASMs
2.4. Adverse Effect Potentials of ASMs in Combination in the Rotarod and Grip-Strength Tests in Mice
3. Discussion
4. Materials and Methods
4.1. Animals
4.2. Drugs
4.3. Maximal Electroshock-Induced Tonic-Clonic Seizures in the Mouse Model
4.4. Isobolographic Analysis of Interactions
4.5. Grip-Strength Test
4.6. Rotarod Test
4.7. Statistical Analysis
5. Conclusions
Supplementary Materials
Author Contributions
Funding
Institutional Review Board Statement
Informed Consent Statement
Data Availability Statement
Acknowledgments
Conflicts of Interest
References
- Kwan, P.; Schachter, S.C.; Brodie, M.J. Drug-resistant epilepsy. N. Engl. J. Med. 2011, 365, 919–926. [Google Scholar] [CrossRef] [PubMed]
- Brodie, M.J. Pharmacological treatment of drug-resistant epilepsy in adults: A practical guide. Curr. Neurol. Neurosci. Rep. 2016, 16, 82. [Google Scholar] [CrossRef]
- Wheless, J.; Wechsler, R.T.; Lancman, M.; Aboumatar, S.; Patten, A.; Malhotra, M. Perampanel in real-world clinical care of patients with epilepsy: Interim analysis of a phase IV study. Epilepsia Open 2021, 6, 79–89. [Google Scholar] [CrossRef]
- Mehndiratta, M.M.; Gulhane, M.; Jabeen, S.A.; Patten, A.; Dash, A.; Malhotra, M. Efficacy and safety of adjunctive perampanel in patients with focal seizures or generalized tonic-clonic seizures: Post hoc analysis of Phase II and Phase III double-blind and open-label extension studies in India. Epilepsia Open 2021, 6, 90–101. [Google Scholar] [CrossRef] [PubMed]
- Lattanzi, S.; Riva, A.; Striano, P. Ganaxolone treatment for epilepsy patients: From pharmacology to place in therapy. Expert Rev. Neurother. 2021. [Google Scholar] [CrossRef] [PubMed]
- Rosenfeld, W.E.; Nisman, A.; Ferrari, L. Efficacy of adjunctive cenobamate based on number of concomitant antiseizure medications, seizure frequency, and epilepsy duration at baseline: A post-hoc analysis of a randomized clinical study. Epilepsy Res. 2021, 172, 106592. [Google Scholar] [CrossRef] [PubMed]
- Janmohamed, M.; Brodie, M.J.; Kwan, P. Pharmacoresistance—Epidemiology, mechanisms, and impact on epilepsy treatment. Neuropharmacology 2020, 168, 107790. [Google Scholar] [CrossRef] [PubMed]
- Kwan, P.; Arzimanoglou, A.; Berg, A.T.; Brodie, M.J.; Allen-Hauser, W.; Mathern, G.; Moshe, S.L.; Perucca, E.; Wiebe, S.; French, J. Definition of drug resistant epilepsy: Consensus proposal by the ad hoc Task Force of the ILAE Commission on Therapeutic Strategies. Epilepsia 2010, 51, 1069–1077. [Google Scholar] [CrossRef] [PubMed]
- Patsalos, P.N.; Perucca, E. Clinically important drug interactions in epilepsy: General features and interactions between antiepileptic drugs. Lancet Neurol. 2003, 2, 347–356. [Google Scholar] [CrossRef]
- Santulli, L.; Coppola, A.; Balestrini, S.; Striano, S. The challenges of treating epilepsy with 25 antiepileptic drugs. Pharmacol. Res. 2016, 107, 211–219. [Google Scholar] [CrossRef]
- Stephen, L.J.; Brodie, M.J. Seizure freedom with more than one antiepileptic drug. Seizure 2002, 11, 349–351. [Google Scholar] [CrossRef] [PubMed]
- Stephen, L.J.; Brodie, M.J. Antiepileptic drug monotherapy versus polytherapy: Pursuing seizure freedom and tolerability in adults. Curr. Opin. Neurol. 2012, 25, 164–172. [Google Scholar] [CrossRef] [PubMed]
- Stephen, L.J.; Forsyth, M.; Kelly, K.; Brodie, M.J. Antiepileptic drug combinations-have newer agents altered clinical outcomes? Epilepsy Res. 2012, 98, 194–198. [Google Scholar] [CrossRef]
- Deckers, C.L.; Czuczwar, S.J.; Hekster, Y.A.; Keyser, A.; Kubova, H.; Meinardi, H.; Patsalos, P.N.; Renier, W.O.; van Rijn, C.M. Selection of antiepileptic drug polytherapy based on mechanisms of action: The evidence reviewed. Epilepsia 2000, 41, 1364–1374. [Google Scholar] [CrossRef]
- Canevini, M.P.; de Sarro, G.; Galimberti, C.A.; Gatti, G.; Licchetta, L.; Malerba, A.; Muscas, G.; la Neve, A.; Striano, P.; Perucca, E. Relationship between adverse effects of antiepileptic drugs, number of coprescribed drugs, and drug load in a large cohort of consecutive patients with drug-refractory epilepsy. Epilepsia 2010, 51, 797–804. [Google Scholar] [CrossRef]
- Rationalizing combination therapies. Nature Med. 2017, 23, 1113. [CrossRef]
- Łuszczki, J.J.; Podgórska, D.; Kozińska, J.; Jankiewicz, M.; Plewa, Z.; Kominek, M.; Żółkowska, D.; Florek-Łuszczki, M. Polygonogram with isobolographic synergy for three-drug combinations of phenobarbital with second-generation antiepileptic drugs in the tonic-clonic seizure model in mice. Pharmacol. Rep. 2021, 73, 111–121. [Google Scholar] [CrossRef]
- Luszczki, J.J.; Czuczwar, S.J. Preclinical profile of combinations of some second-generation antiepileptic drugs: An isobolographic analysis. Epilepsia 2004, 45, 895–907. [Google Scholar] [CrossRef] [PubMed]
- Luszczki, J.J.; Ratnaraj, N.; Patsalos, P.N.; Czuczwar, S.J. Pharmacodynamic and pharmacokinetic interaction studies of loreclezole with felbamate, lamotrigine, topiramate, and oxcarbazepine in the mouse maximal electroshock seizure model. Epilepsia 2005, 46, 344–355. [Google Scholar] [CrossRef]
- Loscher, W. Single versus combinatorial therapies in status epilepticus: Novel data from preclinical models. Epilepsy Behav. 2015, 49, 20–25. [Google Scholar] [CrossRef] [PubMed]
- National Clinical Guideline Centre. National Clinical Guideline Centre. National Institute for Health and Clinical Excellence: Guidance. In The Epilepsies: The Diagnosis and Management of the Epilepsies in Adults and Children in Primary and Secondary Care: Pharmacological Update of Clinical Guideline 20; Royal College of Physicians (UK) National Clinical Guideline Centre: London, UK, 2012. [Google Scholar]
- Kondrat-Wróbel, M.W.; Załuska, K.; Walczak, A.; Panasiuk-Poterek, A.N.; Gut-Lepiech, A.; Wróblewska-Łuczka, P.; Łuszczki, J.J. Antagonistic interaction of lacosamide with carbamazepine and valproate in the mouse tonic-clonic seizure model. Health Prob. Civil. 2019, 13, 92–98. [Google Scholar] [CrossRef]
- Luszczki, J.J.; Kondrat-Wróbel, M.; Zagaja, M.; Karwan, S.; Bojar, H.; Plewa, Z.; Florek-Łuszczki, M. Sub-additive (antagonistic) interaction of lacosamide with lamotrigine and valproate in the maximal electroshock-induced seizure model in mice: An isobolographic analysis. Pharmacol. Rep. 2020, 72, 1288–1296. [Google Scholar] [CrossRef] [PubMed]
- Kondrat-Wrobel, M.W.; Luszczki, J.J. Interaction of three-drug combination of lacosamide, carbamazepine and phenobarbital in the mouse maximal electroshock-induced seizure model—An isobolographic analysis. Health Probl. Civil. 2016, 10, 55–61. [Google Scholar] [CrossRef]
- Kondrat-Wrobel, M.W.; Luszczki, J.J. Isobolographic additivity among lacosamide, lamotrigine and phenobarbital in the mouse tonic-clonic seizure model. Adv. Clin. Exp. Med. 2018, 27, 881–886. [Google Scholar] [CrossRef] [PubMed]
- Kondrat-Wrobel, M.W.; Luszczki, J.J. Additive interaction for three-drug combination of carbamazepine, lacosamide and lamotrigine against maximal electroshock-induced seizures—A type I isobolographic analysis. Eur. J. Clin. Exp. Med. 2017, 15, 303–309. [Google Scholar] [CrossRef]
- Załuska, K.; Marzęda, P.; Bojar, H.; Walczak, A.; Chmielewski, J.; Wróblewska-Łuczka, P.; Łuszczki, J.J. Additive suppression of tonic-clonic seizures in mice receiving the combination of carbamazepine, phenobarbital and valproate. J. Pre-Clin. Clin. Res. 2019, 13, 72–75. [Google Scholar]
- Luszczki, J.J.; Mazurkiewicz, L.P.; Wroblewska-Luczka, P.; Wlaz, A.; Ossowska, G.; Szpringer, M.; Zolkowska, D.; Florek-Luszczki, M. Combination of phenobarbital with phenytoin and pregabalin produces synergy in the mouse tonic-clonic seizure model: An isobolographic analysis. Epilepsy Res. 2018, 145, 116–122. [Google Scholar] [CrossRef]
- Załuska, K.; Kondrat-Wróbel, M.W.; Panasiuk-Poterek, A.N.; Marzęda, P.; Walczak, A.; Wróblewska-Łuczka, P.; Gut-Lepiech, A.; Łuszczki, J.J. Synergy among oxcarbazepine, pregabalin and topiramate in the mouse maximal electroshockinduced seizure test—An isobolographic analysis. J. Pre-Clin. Clin. Res. 2018, 12, 111–116. [Google Scholar] [CrossRef]
- Luszczki, J.J. Isobolographic analysis of interaction for three-drug combination of carbamazepine, phenobarbital and topiramate in the mouse maximal electroshock-induced seizure model. Pharmacology 2016, 97, 259–264. [Google Scholar] [CrossRef] [PubMed]
- Park, K.M.; Kim, S.E.; Lee, B.I. Antiepileptic drug therapy in patients with drug-resistant epilepsy. J. Epilepsy Res. 2019, 9, 14–26. [Google Scholar] [CrossRef]
- Chou, T.C. Theoretical basis, experimental design, and computerized simulation of synergism and antagonism in drug combination studies. Pharmacol. Rev. 2006, 58, 621–681. [Google Scholar] [CrossRef]
- Chou, T.C. Drug combination studies and their synergy quantification using the Chou-Talalay method. Cancer Res. 2010, 70, 440–446. [Google Scholar] [CrossRef]
- Perucca, E. Overtreatment in epilepsy: Adverse consequences and mechanisms. Epilepsy Res. 2002, 52, 25–33. [Google Scholar] [CrossRef]
- Perucca, E.; Kwan, P. Overtreatment in epilepsy: How it occurs and how it can be avoided. CNS Drugs 2005, 19, 897–908. [Google Scholar] [CrossRef]
- Nair, A.B.; Jacob, S. A simple practice guide for dose conversion between animals and human. J. Basic Clin. Pharm. 2016, 7, 27–31. [Google Scholar] [CrossRef]
- Luszczki, J.J.; Czuczwar, M.; Kis, J.; Krysa, J.; Pasztelan, I.; Swiader, M.; Czuczwar, S.J. Interactions of lamotrigine with topiramate and first-generation antiepileptic drugs in the maximal electroshock test in mice: An isobolographic analysis. Epilepsia 2003, 44, 1003–1013. [Google Scholar] [CrossRef]
- Besag, F.M.; Berry, D.J.; Pool, F.; Newbery, J.E.; Subel, B. Carbamazepine toxicity with lamotrigine: Pharmacokinetic or pharmacodynamic interaction? Epilepsia 1998, 39, 183–187. [Google Scholar] [CrossRef] [PubMed]
- De Romanis, F.; Sopranzi, N. [Lamotrigine in the therapy of resistant epilepsy]. Clin. Ter. 1999, 150, 279–282. [Google Scholar] [PubMed]
- De Romanis, F.; Sopranzi, N. [Lamotrigine: First experience in Italy]. Clin. Ter. 1995, 146, 203–209. [Google Scholar]
- Chang, T.T.; Chou, T.C. Rational approach to the clinical protocol design for drug combinations: A review. Acta Paediatr. Taiwan 2000, 41, 294–302. [Google Scholar]
- Luszczki, J.J.; Panasiuk, A.; Zagaja, M.; Karwan, S.; Bojar, H.; Plewa, Z.; Florek-Łuszczki, M. Polygonogram and isobolographic analysis of interactions between various novel antiepileptic drugs in the 6-Hz corneal stimulation-induced seizure model in mice. PLoS ONE 2020, 15, e0234070. [Google Scholar]
- Kilkenny, C.; Browne, W.; Cuthill, I.C.; Emerson, M.; Altman, D.G. Animal research: Reporting in vivo experiments: The ARRIVE guidelines. Br. J. Pharmacol. 2010, 160, 1577–1579. [Google Scholar] [CrossRef]
- Grone, B.P.; Baraban, S.C. Animal models in epilepsy research: Legacies and new directions. Nat. Neurosci. 2015, 18, 339–343. [Google Scholar] [CrossRef]
- Loscher, W. Critical review of current animal models of seizures and epilepsy used in the discovery and development of new antiepileptic drugs. Seizure 2011, 20, 359–368. [Google Scholar] [CrossRef]
- Loscher, W.; Fassbender, C.P.; Nolting, B. The role of technical, biological and pharmacological factors in the laboratory evaluation of anticonvulsant drugs. II. Maximal electroshock seizure models. Epilepsy Res. 1991, 8, 79–94. [Google Scholar] [CrossRef]
- Kandratavicius, L.; Balista, P.A.; Lopes-Aguiar, C.; Ruggiero, R.N.; Umeoka, E.H.; Garcia-Cairasco, N.; Bueno-Junior, L.S.; Leite, J.P. Animal models of epilepsy: Use and limitations. Neuropsychiatr. Dis. Treat. 2014, 10, 1693–1705. [Google Scholar] [CrossRef] [PubMed]
- Campos, G.; Fortuna, A.; Falcao, A.; Alves, G. In vitro and in vivo experimental models employed in the discovery and development of antiepileptic drugs for pharmacoresistant epilepsy. Epilepsy Res. 2018, 146, 63–86. [Google Scholar] [CrossRef] [PubMed]
- Kupferberg, H. Animal models used in the screening of antiepileptic drugs. Epilepsia 2001, 4, 7–12. [Google Scholar] [CrossRef]
- Stables, J.P.; Kupferberg, H.J. The NIH Anticonvulsant Drug Development (ADD) Program: Preclinical Anticonvulsant Screening Project; John Libbey: London, UK, 1997; pp. 191–198. [Google Scholar]
- Loscher, W.; Honack, D.; Fassbender, C.P.; Nolting, B. The role of technical, biological and pharmacological factors in the laboratory evaluation of anticonvulsant drugs. III. Pentylenetetrazole seizure models. Epilepsy Res. 1991, 8, 171–189. [Google Scholar] [CrossRef]
- Florek-Luszczki, M.; Wlaz, A.; Kondrat-Wrobel, M.W.; Tutka, P.; Luszczki, J.J. Effects of WIN 55,212-2 (a non-selective cannabinoid CB1 and CB 2 receptor agonist) on the protective action of various classical antiepileptic drugs in the mouse 6 Hz psychomotor seizure model. J. Neural Transm. 2014, 121, 707–715. [Google Scholar] [CrossRef]
- Luszczki, J.J.; Andres-Mach, M.; Barcicka-Klosowska, B.; Florek-Luszczki, M.; Haratym-Maj, A.; Czuczwar, S.J. Effects of WIN 55,212-2 mesylate (a synthetic cannabinoid) on the protective action of clonazepam, ethosuximide, phenobarbital and valproate against pentylenetetrazole-induced clonic seizures in mice. Prog. Neuropsychopharmacol. Biol. Psychiatry 2011, 35, 1870–1876. [Google Scholar] [CrossRef]
- Luszczki, J.J.; Misiuta-Krzesinska, M.; Florek, M.; Tutka, P.; Czuczwar, S.J. Synthetic cannabinoid WIN 55,212-2 mesylate enhances the protective action of four classical antiepileptic drugs against maximal electroshock-induced seizures in mice. Pharmacol. Biochem. Behav. 2011, 98, 261–267. [Google Scholar] [CrossRef]
- Loscher, W.; Nolting, B. The role of technical, biological and pharmacological factors in the laboratory evaluation of anticonvulsant drugs. IV. Protective indices. Epilepsy Res. 1991, 9, 1–10. [Google Scholar] [CrossRef]
- Gessner, P.K. Isobolographic analysis of interactions: An update on applications and utility. Toxicology 1995, 105, 161–179. [Google Scholar] [CrossRef]
- Berenbaum, M.C. What is synergy? Pharmacol. Rev. 1989, 41, 93–141. [Google Scholar]
- Zadrozniak, A.; Wojda, E.; Wlaz, A.; Luszczki, J.J. Characterization of acute adverse-effect profiles of selected antiepileptic drugs in the grip-strength test in mice. Pharmacol. Rep. 2009, 61, 737–742. [Google Scholar] [CrossRef]
- Porter, R.J.; Kupferberg, H.J. The Anticonvulsant Screening Program of the National Institute of Neurological Disorders and Stroke, NIH: History and contributions to clinical care in the twentieth century and beyond. Neurochem Res. 2017, 42, 1889–1893. [Google Scholar] [CrossRef]
- Azmi, S.; ElHadd, K.T.; Nelson, A.; Chapman, A.; Bowling, F.L.; Perumbalath, A.; Lim, J.; Marshall, A.; Malik, R.A.; Alam, U. Pregabalin in the management of painful diabetic neuropathy: A narrative review. Diabetes Ther. 2019, 10, 35–56. [Google Scholar] [CrossRef]
- Chincholkar, M. Analgesic mechanisms of gabapentinoids and effects in experimental pain models: A narrative review. Br. J. Anaesth. 2018, 120, 1315–1334. [Google Scholar] [CrossRef]
- Derry, S.; Bell, R.F.; Straube, S.; Wiffen, P.J.; Aldington, D.; Moore, R.A. Pregabalin for neuropathic pain in adults. Cochrane Database Syst. Rev. 2019, 1, Cd007076. [Google Scholar] [CrossRef] [PubMed]
- Backonja, M.M. Use of anticonvulsants for treatment of neuropathic pain. Neurology 2002, 59 (5 Suppl. 2), S14–S17. [Google Scholar] [CrossRef]
- Zhou, M.; Chen, N.; He, L.; Yang, M.; Zhu, C.; Wu, F. Oxcarbazepine for neuropathic pain. Cochrane Database Syst Rev. 2017, 12, Cd007963. [Google Scholar] [CrossRef]
- Hearn, L.; Derry, S.; Moore, R.A. Lacosamide for neuropathic pain and fibromyalgia in adults. Cochrane Database Syst. Rev. 2012, 2, Cd009318. [Google Scholar] [CrossRef]
- Wiffen, P.J.; Derry, S.; Moore, R.A. Lamotrigine for acute and chronic pain. Cochrane Database Syst Rev. 2011, 2, Cd006044. [Google Scholar]
- Luszczki, J.J.; Swiader, M.; Parada-Turska, J.; Czuczwar, S.J. Tiagabine synergistically interacts with gabapentin in the electroconvulsive threshold test in mice. Neuropsychopharmacology 2003, 28, 1817–1830. [Google Scholar] [CrossRef]
- Luszczki, J.J.; Wojcik-Cwikla, J.; Andres, M.M.; Czuczwar, S.J. Pharmacological and behavioral characteristics of interactions between vigabatrin and conventional antiepileptic drugs in pentylenetetrazole-induced seizures in mice: An isobolographic analysis. Neuropsychopharmacology 2005, 30, 958–973. [Google Scholar] [CrossRef] [PubMed]
- Luszczki, J.J.; Sacharuk, A.; Wojciechowska, A.; Andres-Mach, M.M.; Dudra-Jastrzebska, M.; Mohamed, M.; Sawicka, K.M.; Kozinska, J.; Czuczwar, S.J. 7-Nitroindazole enhances dose-dependently the anticonvulsant activities of conventional antiepileptic drugs in the mouse maximal electroshock-induced seizure model. Pharmacol. Rep. 2006, 58, 660–671. [Google Scholar] [PubMed]
- Andres-Mach, M.; Szewczyk, A.; Zagaja, M.; Luszczki, J.; Maj, M.; Rola, R.; Abram, M.; Kaminski, K. Evaluation of the impact of compound C11 a new anticonvulsant candidate on cognitive functions and hippocampal neurogenesis in mouse brain. Neuropharmacology 2020, 163, 107849. [Google Scholar] [CrossRef] [PubMed]
- Nieoczym, D.; Luszczki, J.J.; Czuczwar, S.J.; Wlaz, P. Effect of sildenafil on the anticonvulsant action of classical and second-generation antiepileptic drugs in maximal electroshock-induced seizures in mice. Epilepsia 2010, 51, 1552–1559. [Google Scholar] [CrossRef]
- Luszczki, J.J.; Andres, M.M.; Czuczwar, P.; Cioczek-Czuczwar, A.; Wojcik-Cwikla, J.; Ratnaraj, N.; Patsalos, P.N.; Czuczwar, S.J. Levetiracetam selectively potentiates the acute neurotoxic effects of topiramate and carbamazepine in the rotarod test in mice. Eur. Neuropsychopharmacol. 2005, 15, 609–616. [Google Scholar] [CrossRef]
- Luszczki, J.J.; Lepiech, J.; Zagaja, M.; Wroblewska-Luczka, P.; Florek-Luszczki, M.; Bojar, H.; Walczak, A.; Plech, T. Anticonvulsant and neurotoxic effects of a novel 1,2,4-triazole-3-thione derivative (TPF-34) and its isobolographic interaction profile with classical antiepileptic drugs in mice. Pharmacol. Rep. 2020, 72, 87–95. [Google Scholar] [CrossRef]
- Patsalos, P.N.; Perucca, E. Clinically important drug interactions in epilepsy: Interactions between antiepileptic drugs and other drugs. Lancet Neurol. 2003, 2, 473–481. [Google Scholar] [CrossRef]
- Luszczki, J.J.; Filip, D.; Czuczwar, S.J. Additive interactions of pregabalin with lamotrigine, oxcarbazepine and topiramate in the mouse maximal electroshock-induced seizure model: A type I isobolographic analysis for non-parallel dose-response relationship curves. Epilepsy Res. 2010, 91, 166–175. [Google Scholar] [CrossRef]
- Errington, A.C.; Stohr, T.; Heers, C.; Lees, G. The investigational anticonvulsant lacosamide selectively enhances slow inactivation of voltage-gated sodium channels. Mol. Pharmacol. 2008, 73, 157–169. [Google Scholar] [CrossRef] [PubMed]
- Errington, A.C.; Coyne, L.; Stohr, T.; Selve, N.; Lees, G. Seeking a mechanism of action for the novel anticonvulsant lacosamide. Neuropharmacology 2006, 50, 1016–1029. [Google Scholar] [CrossRef] [PubMed]
- Calandre, E.P.; Rico-Villademoros, F.; Slim, M. Alpha2delta ligands, gabapentin, pregabalin and mirogabalin: A review of their clinical pharmacology and therapeutic use. Expert Rev. Neurother. 2016, 16, 1263–1277. [Google Scholar] [CrossRef]
- Rogawski, M.A.; Bazil, C.W. New molecular targets for antiepileptic drugs: Alpha(2)delta, SV2A, and K(v)7/KCNQ/M potassium channels. Curr. Neurol. Neurosci. Rep. 2008, 8, 345–352. [Google Scholar] [CrossRef] [PubMed]
- Brodie, M.J. Sodium channel blockers in the treatment of epilepsy. CNS Drugs 2017, 31, 527–534. [Google Scholar] [CrossRef] [PubMed]
- Angehagen, M.; Ben-Menachem, E.; Shank, R.; Ronnback, L.; Hansson, E. Topiramate modulation of kainate-induced calcium currents is inversely related to channel phosphorylation level. J. Neurochem. 2004, 88, 320–325. [Google Scholar] [CrossRef]
- Braga, M.F.; Aroniadou-Anderjaska, V.; Li, H.; Rogawski, M.A. Topiramate reduces excitability in the basolateral amygdala by selectively inhibiting GluK1 (GluR5) kainate receptors on interneurons and positively modulating GABAA receptors on principal neurons. J. Pharmacol. Exp. Ther. 2009, 330, 558–566. [Google Scholar] [CrossRef] [PubMed]
- Gibbs, J.W., 3rd; Sombati, S.; de Lorenzo, R.J.; Coulter, D.A. Cellular actions of topiramate: Blockade of kainate-evoked inward currents in cultured hippocampal neurons. Epilepsia 2000, 41, S10–S16. [Google Scholar] [CrossRef] [PubMed]
- Herrero, A.I.; del Olmo, N.; Gonzalez-Escalada, J.R.; Solis, J.M. Two new actions of topiramate: Inhibition of depolarizing GABA(A)-mediated responses and activation of a potassium conductance. Neuropharmacology 2002, 42, 210–220. [Google Scholar] [CrossRef]
- Motaghinejad, M.; Motevalian, M.; Fatima, S.; Beiranvand, T.; Mozaffari, S. Topiramate via NMDA, AMPA/kainate, GABAA and Alpha2 receptors and by modulation of CREB/BDNF and Akt/GSK3 signaling pathway exerts neuroprotective effects against methylphenidate-induced neurotoxicity in rats. J. Neural Transm. 2017, 124, 1369–1387. [Google Scholar] [CrossRef] [PubMed]
- Luszczki, J.J.; Wlaz, A.; Karwan, S.; Florek-Luszczki, M.; Czuczwar, S.J. Effects of WIN 55,212-2 mesylate on the anticonvulsant action of lamotrigine, oxcarbazepine, pregabalin and topiramate against maximal electroshock-induced seizures in mice. Eur. J. Pharmacol. 2013, 720, 247–254. [Google Scholar] [CrossRef] [PubMed]
- Florek-Luszczki, M.; Wlaz, A.; Zagaja, M.; Andres-Mach, M.; Kondrat-Wrobel, M.W.; Luszczki, J.J. Effects of WIN 55,212-2 (a synthetic cannabinoid CB1 and CB2 receptor agonist) on the anticonvulsant activity of various novel antiepileptic drugs against 6 Hz-induced psychomotor seizures in mice. Pharmacol. Biochem. Behav. 2015, 130, 53–58. [Google Scholar] [CrossRef] [PubMed]
- Litchfield, J.T., Jr.; Wilcoxon, F. A simplified method of evaluating dose-effect experiments. J. Pharmacol. Exp. Ther 1949, 96, 99–113. [Google Scholar] [PubMed]
- Luszczki, J.J.; Ratnaraj, N.; Patsalos, P.N.; Czuczwar, S.J. Isobolographic analysis of interactions between loreclezole and conventional antiepileptic drugs in the mouse maximal electroshock-induced seizure model. Naunyn Schmiedebergs Arch. Pharmacol. 2006, 373, 169–181. [Google Scholar] [CrossRef]
- Tallarida, R.J.; Porreca, F.; Cowan, A. Statistical analysis of drug-drug and site-site interactions with isobolograms. Life Sci. 1989, 45, 947–961. [Google Scholar] [CrossRef]
- Tallarida, R.J. Drug combinations: Tests and analysis with isoboles. Curr. Protoc. Pharmacol. 2016, 72, 9.19.1–9.19.19. [Google Scholar] [CrossRef] [PubMed]
- Loewe, S. The problem of synergism and antagonism of combined drugs. Arzneimittelforschung 1953, 3, 285–290. [Google Scholar] [PubMed]
- Luszczki, J.J.; Andres, M.M.; Czuczwar, S.J. Synergistic interaction of gabapentin and oxcarbazepine in the mouse maximal electroshock seizure model—An isobolographic analysis. Eur. J. Pharmacol. 2005, 515, 54–61. [Google Scholar] [CrossRef]
- Luszczki, J.J.; Antkiewicz-Michaluk, L.; Raszewski, G.; Czuczwar, S.J. Interactions of 1-methyl-1,2,3,4-tetrahydroisoquinoline with lamotrigine, oxcarbazepine, pregabalin, and topiramate in the mouse maximal electroshock-induced seizure model: A type I isobolographic analysis. Epilepsy Res. 2010, 89, 207–219. [Google Scholar] [CrossRef]
- Luszczki, J.J.; Czuczwar, S.J. Isobolographic characterization of interactions between vigabatrin and tiagabine in two experimental models of epilepsy. Prog. Neuropsychopharmacol. Biol. Psychiatry 2007, 31, 529–538. [Google Scholar] [CrossRef] [PubMed]
- Luszczki, J.J.; Czuczwar, S.J. Biphasic characteristic of interactions between stiripentol and carbamazepine in the mouse maximal electroshock-induced seizure model: A three-dimensional isobolographic analysis. Naunyn Schmiedebergs Arch. Pharmacol. 2006, 374, 51–64. [Google Scholar] [CrossRef]
- Luszczki, J.J.; Czuczwar, S.J. Interaction between lamotrigine and felbamate in the maximal electroshock-induced seizures in mice: An isobolographic analysis. Eur. Neuropsychopharmacol. 2005, 15, 133–142. [Google Scholar] [CrossRef] [PubMed]
- Luszczki, J.J.; Czuczwar, S.J. Three-dimensional isobolographic analysis of interactions between lamotrigine and clonazepam in maximal electroshock-induced seizures in mice. Naunyn Schmiedebergs Arch. Pharmacol. 2004, 370, 369–380. [Google Scholar] [CrossRef]
- Luszczki, J.J.; Florek-Luszczki, M. Synergistic interaction of pregabalin with the synthetic cannabinoid WIN 55,212-2 mesylate in the hot-plate test in mice: An isobolographic analysis. Pharmacol. Rep. 2012, 64, 723–732. [Google Scholar] [CrossRef]
- Luszczki, J.J.; Ratnaraj, N.; Patsalos, P.N.; Czuczwar, S.J. Isobolographic and behavioral characterizations of interactions between vigabatrin and gabapentin in two experimental models of epilepsy. Eur. J. Pharmacol. 2008, 595, 13–21. [Google Scholar] [CrossRef]
- Luszczki, J.J.; Borowicz, K.K.; Swiader, M.; Czuczwar, S.J. Interactions between oxcarbazepine and conventional antiepileptic drugs in the maximal electroshock test in mice: An isobolographic analysis. Epilepsia 2003, 44, 489–499. [Google Scholar] [CrossRef]
- Chou, T.C. Preclinical versus clinical drug combination studies. Leuk. Lymphoma 2008, 49, 2059–2080. [Google Scholar] [CrossRef]
- Chou, T.C.; Talalay, P. Quantitative analysis of dose-effect relationships: The combined effects of multiple drugs or enzyme inhibitors. Adv. Enzyme Regul. 1984, 22, 27–55. [Google Scholar] [CrossRef]
- Meyer, O.A.; Tilson, H.A.; Byrd, W.C.; Riley, M.T. A method for the routine assessment of fore- and hindlimb grip strength of rats and mice. Neurobehav. Toxicol. 1979, 1, 233–236. [Google Scholar]
- Luszczki, J.J.; Czuczwar, P.; Cioczek-Czuczwar, A.; Czuczwar, S.J. Arachidonyl-2’-chloroethylamide, a highly selective cannabinoid CB1 receptor agonist, enhances the anticonvulsant action of valproate in the mouse maximal electroshock-induced seizure model. Eur. J. Pharmacol. 2006, 547, 65–74. [Google Scholar] [CrossRef] [PubMed]
- Luszczki, J.J.; Czuczwar, P.; Cioczek-Czuczwar, A.; Dudra-Jastrzebska, M.; Andres-Mach, M.; Czuczwar, S.J. Effect of arachidonyl-2’-chloroethylamide, a selective cannabinoid CB1 receptor agonist, on the protective action of the various antiepileptic drugs in the mouse maximal electroshock-induced seizure model. Prog. Neuropsychopharmacol. Biol. Psychiatry 2010, 34, 18–25. [Google Scholar] [CrossRef]
- Andres-Mach, M.; Zolkowska, D.; Barcicka-Klosowska, B.; Haratym-Maj, A.; Florek-Luszczki, M.; Luszczki, J.J. Effect of ACEA—A selective cannabinoid CB1 receptor agonist on the protective action of different antiepileptic drugs in the mouse pentylenetetrazole-induced seizure model. Prog. Neuropsychopharmacol. Biol. Psychiatry 2012, 39, 301–309. [Google Scholar] [CrossRef] [PubMed]
- Carter, R.J.; Morton, J.; Dunnett, S.B. Motor coordination and balance in rodents. Curr. Protoc. Neurosci. 2001. [Google Scholar] [CrossRef] [PubMed]
- Deacon, R.M. Measuring motor coordination in mice. J. Vis. Exp. 2013, 75, e2609. [Google Scholar] [CrossRef] [PubMed]
- Tallarida, R.J. Quantitative methods for assessing drug synergism. Genes Cancer 2011, 2, 1003–1008. [Google Scholar] [CrossRef]
- Yu, Z.; Wenyan, T.; Xuewen, S.; Baixiang, D.; Qian, W.; Zhaoyan, W.; Yinxiang, Y.; Suqing, Q.; Zuo, L. Immunological effects of the intraparenchymal administration of allogeneic and autologous adipose-derived mesenchymal stem cells after the acute phase of middle cerebral artery occlusion in rats. J. Transl. Med. 2018, 16, 339. [Google Scholar] [CrossRef]



| Drug Combination | ED50 exp | nexp | ED50 add | nadd | Unpaired t-Test | Interaction |
|---|---|---|---|---|---|---|
| LCM + OXC + TPM | 31.06 ± 2.34 | 24 | 28.25 ± 3.37 | 50 | t71.99 = 0.685; p = 0.496 | Additivity |
| LCM + LTG + OXC | 7.50 ± 0.98 | 32 | 8.97 ± 0.51 | 42 | t47.43 = 1.331; p = 0.190 | Additivity |
| LCM + LTG + PGB | 35.59 ± 3.86 | 24 | 45.52 ± 4.46 | 42 | t62.71 = 1.684; p = 0.097 | Additivity |
| LCM + LTG + TPM | 19.06 ± 2.70 | 24 | 26.47 ± 3.37 | 34 | t55.91 = 1.716; p = 0.092 | Additivity |
| LCM + OXC + PGB | 33.04 ± 4.62 * | 24 | 47.30 ± 4.45 | 58 | t63.44 = 2.223; p = 0.030 | Synergy |
| LCM + TPM + PGB | 35.50 ± 5.28 *** | 24 | 64.80 ± 5.02 | 50 | t60.26 = 4.022; p = 0.0002 | Synergy |
| Three-Drug Combination | Interaction | Interaction Index | Reference |
|---|---|---|---|
| LCM + CBZ + VPA | Antagonism | 1.32 | [22] |
| LCM + LTG + VPA | Antagonism | 1.27 | [23] |
| LCM + CBZ + PB | Additivity | 1.18 | [24] |
| LCM + OXC + TPM | Additivity | 1.10 | this study |
| LCM + LTG + PB | Additivity | 1.07 | [25] |
| LCM + CBZ + LTG | Additivity | 1.05 | [26] |
| PB + LTG + OXC | Additivity | 0.94 | [17] |
| LCM + LTG + OXC | Additivity | 0.84 | this study |
| CBZ + PB + VPA | Additivity | 0.81 | [27] |
| LCM + LTG + PGB | Additivity | 0.78 | this study |
| LCM + LTG + TPM | Additivity | 0.72 | this study |
| LCM + OXC + PGB | Synergy | 0.70 | this study |
| PB + LTG + PGB | Synergy | 0.64 | [17] |
| PB + OXC + PGB | Synergy | 0.61 | [17] |
| PB + OXC + TPM | Synergy | 0.56 | [17] |
| PB + LTG + TPM | Synergy | 0.56 | [17] |
| LCM + TPM + PGB | Synergy | 0.55 | this study |
| PB + PHT + PGB | Synergy | 0.53 | [28] |
| OXC + PGB + TPM | Synergy | 0.51 | [29] |
| PB + TPM + PGB | Synergy | 0.48 | [17] |
| CBZ + PB + TPM | Synergy | 0.46 | [30] |
| Drug Combination | Muscular Strength (mN/g) | Balancing Time (s) |
|---|---|---|
| Vehicle + vehicle + vehicle | 39.12 ± 1.69 | 120 (120; 120) |
| LCM + OXC + TPM | 38.67 ± 1.67 | 120 (120; 120) |
| LCM + LTG + OXC | 39.27 ± 1.98 | 120 (120; 120) |
| LCM + LTG + PGB | 38.83 ± 0.93 | 120 (120; 120) |
| LCM + LTG + TPM | 41.83 ± 1.38 | 120 (120; 120) |
| LCM + OXC + PGB | 39.43 ± 1.27 | 120 (120; 120) |
| LCM + TPM + PGB | 41.38 ± 1.50 | 120 (120; 120) |
| Statistics | F(6;49) = 0.698; p = 0.652 | KW = 5.093; p = 0.532 |
Publisher’s Note: MDPI stays neutral with regard to jurisdictional claims in published maps and institutional affiliations. |
© 2021 by the authors. Licensee MDPI, Basel, Switzerland. This article is an open access article distributed under the terms and conditions of the Creative Commons Attribution (CC BY) license (https://creativecommons.org/licenses/by/4.0/).
Share and Cite
Załuska-Ogryzek, K.; Marzęda, P.; Wróblewska-Łuczka, P.; Florek-Łuszczki, M.; Plewa, Z.; Bojar, H.; Zolkowska, D.; Łuszczki, J.J. Interactions among Lacosamide and Second-Generation Antiepileptic Drugs in the Tonic-Clonic Seizure Model in Mice. Int. J. Mol. Sci. 2021, 22, 5537. https://doi.org/10.3390/ijms22115537
Załuska-Ogryzek K, Marzęda P, Wróblewska-Łuczka P, Florek-Łuszczki M, Plewa Z, Bojar H, Zolkowska D, Łuszczki JJ. Interactions among Lacosamide and Second-Generation Antiepileptic Drugs in the Tonic-Clonic Seizure Model in Mice. International Journal of Molecular Sciences. 2021; 22(11):5537. https://doi.org/10.3390/ijms22115537
Chicago/Turabian StyleZałuska-Ogryzek, Katarzyna, Paweł Marzęda, Paula Wróblewska-Łuczka, Magdalena Florek-Łuszczki, Zbigniew Plewa, Hubert Bojar, Dorota Zolkowska, and Jarogniew J. Łuszczki. 2021. "Interactions among Lacosamide and Second-Generation Antiepileptic Drugs in the Tonic-Clonic Seizure Model in Mice" International Journal of Molecular Sciences 22, no. 11: 5537. https://doi.org/10.3390/ijms22115537
APA StyleZałuska-Ogryzek, K., Marzęda, P., Wróblewska-Łuczka, P., Florek-Łuszczki, M., Plewa, Z., Bojar, H., Zolkowska, D., & Łuszczki, J. J. (2021). Interactions among Lacosamide and Second-Generation Antiepileptic Drugs in the Tonic-Clonic Seizure Model in Mice. International Journal of Molecular Sciences, 22(11), 5537. https://doi.org/10.3390/ijms22115537

