Biopolymeric Films of Amphiphilic Derivatives of Chitosan: A Physicochemical Characterization and Antifungal Study
Abstract
1. Introduction
2. Results and Discussion
2.1. Synthesis and Characterization of the Chitosan Derivatives
2.2. Films X-Ray Diffraction Study
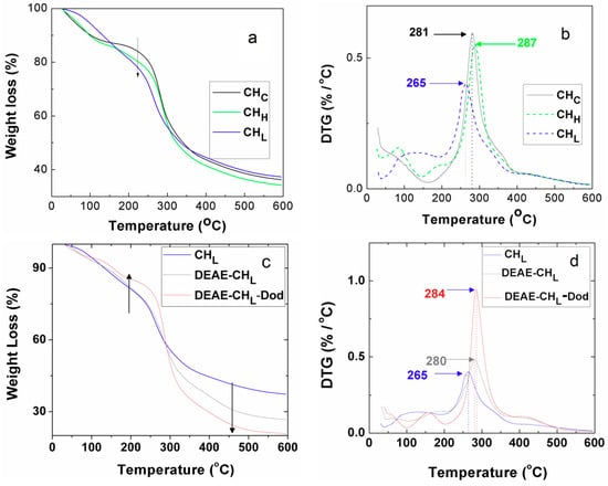
2.3. Thermal Analyses
2.4. Film Solubility
2.5. Mechanical Properties
2.6. Water Vapor Permeability (WVP) and Thickness
2.7. Color Attributes and Opacity of Films
2.8. Antimicrobial Activities and Toxicity of Chitosan and Its Derivatives
3. Materials and Methods
3.1. Materials
3.2. Synthesis of the Amphiphilic Derivatives of Diethylaminoethyl Chitosan of Low Molecular Weight (DEAE-CH-Dod)
3.3. Film Preparation
3.4. Storage and Thickness of Films
3.5. Crystal Structure
3.6. Color and Opacity
3.7. Water Solubility
3.8. Water Vapor Permeability (WVP)
3.9. Mechanical Properties
3.10. Microbiological Assays
3.11. Cytotoxicity
3.12. Statistical Analyses
4. Conclusions
Supplementary Materials
Author Contributions
Funding
Acknowledgments
Conflicts of Interest
References
- Lucera, A.; Costa, C.; Conte, A.; Del Nobile, M.A. Food Applications of Natural Antimicrobial Compounds. Front. Microbiol. 2012, 3, 287. [Google Scholar] [CrossRef] [PubMed]
- Siripatrawan, U.; Vitchayakitti, W. Improving Functional Properties of Chitosan Films as Active Food Packaging by Incorporating with Propolis. Food Hydrocoll. 2016, 61, 695–702. [Google Scholar] [CrossRef]
- Flores-Hernández, C.G.; Colín-Cruz, A.; Velasco-Santos, C.; Castaño, V.M.; Rivera-Armenta, J.L.; Almendarez-Camarillo, A.; García-Casillas, P.E.; Martínez-Hernández, A.L. All Green Composites from Fully Renewable Biopolymers: Chitosan-Starch Reinforced with Keratin from Feathers. Polymers 2014, 6, 686–705. [Google Scholar] [CrossRef]
- Tavaria, F.K.; Costa, M.C.; Pina-Vaz, I.; Carvalho, M.F.; Pintado, M.M. A Quitosana como Biomaterial Odontológico: Estado da Arte. Braz. J. Biomed. Eng. 2013, 29, 110–120. [Google Scholar] [CrossRef][Green Version]
- Verlee, A.; Mincke, S.; Stevens, C.V. Recent Developments in Antibacterial and Antifungal Chitosan and Its Derivatives. Carbohydr. Polym. 2017, 164, 268–283. [Google Scholar] [CrossRef]
- Silva-Castro, I.; Diez, J.J.; Martín-Ramos, P.; Pinto, G.; Alves, A.; Martín-Gil, J.; Martín-García, J. Application of Bioactive Coatings Based on Chitosan and Propolis for Pinus spp. Protection against Fusarium circinatum. Forests 2018, 9, 685. [Google Scholar] [CrossRef]
- Sartori, T.; Menegalli, F.C. Development and Characterization of Unripe Banana Starch Films Incorporated with Solid Lipid Microparticles Containing Ascorbic Acid. Food Hydrocoll. 2016, 55, 210–219. [Google Scholar] [CrossRef]
- Erkmen, O.; Barazi, A.O. General Characteristics of Edible Films. J. Food Biotechnol. Res. 2018, 2, 1–3. [Google Scholar]
- Xing, K.; Zhu, X.; Peng, X.; Qin, S. Chitosan Antimicrobial and Eliciting Properties for Pest Control in Agriculture: A Review. Agron. Sustain. Dev. 2015, 35, 569–588. [Google Scholar] [CrossRef]
- Rodríguez-Núñes, J.; Madera-Santana, T.J.; Sánchez-Machado, I.D.; López-Cervantez, J.; Valdez, H.S. Chitosan/Hydrophilic Plasticizer-Based Films: Preparation, Physicochemical and Antimicrobial Properties. J. Polym. Environ. 2014, 22, 41–51. [Google Scholar] [CrossRef]
- Gaudin, S.; Lourdin, D.; Forssell, P.M.; Colonna, P. Antiplasticisation and Oxygen Permeability of Starch-Sorbitol Films. Carbohydr. Polym. 2000, 43, 33–37. [Google Scholar] [CrossRef]
- Yang, J.; Kwon, G.J.; Hwang, K.; Kim, D.Y. Cellulose–Chitosan Antibacterial Composite Films Prepared from LiBr Solution. Polymers 2018, 10, 1058. [Google Scholar] [CrossRef]
- Tang, F.; Lu, L.; Lu, F.; Rong, B.; Li, Z.; Lu, B.; Yu, K.; Liu, J.; Dai, F.; Wu, F.; et al. Preparation and Characterization of N-Chitosan as a Wound Healing Accelerator. Int. J. Biol. Macromol. 2016, 93, 1295–1303. [Google Scholar] [CrossRef]
- Xing, K.; Shen, X.; Zhu, X.; Ju, X.; Miao, X.; Tian, J.; Feng, Z.; Peng, X.; Jiang, J.; Qin, S. Synthesis and in Vitro Antifungal Efficacy of Oleoyl-Chitosannanoparticles Against Plant Pathogenic Fungi. Int. J. Biol. Macromol. 2016, 82, 830–836. [Google Scholar] [CrossRef]
- Souza, M.P.; Vaz, A.F.M.; Silva, H.D.; Cerqueira, M.A.; Vicente, A.A.; Carneiro-da-Cunha, M.G. Development and Characterization of an Active Chitosan-Based Film Containing Quercetin. Food Bioprocess Technol. 2015, 8, 2183–2191. [Google Scholar] [CrossRef]
- Il’inaa, A.V.; Shagdarova, B.T.; Lun’kova, A.P.; Kulikovc, S.N.; Varlamova, V.P. In vitro Antifungal Activity of Metal Complexes of a Quaternized Chitosan Derivative with Copper Ions. Microbiology 2017, 86, 590–595. [Google Scholar] [CrossRef]
- Casariego, A.B.; Souza, B.W.; Cerqueira, M.A.; Teixeira, J.A.; Cruz, L.; Díaz, R.; Vicente, A.A. Chitosan/Clay Films Properties as Affected by Biopolymera Clay Micro/Nanoparticles Concentrations. Food Hydrocoll. 2009, 23, 1895–1902. [Google Scholar] [CrossRef]
- Li, Z.; Lin, S.; An, S.; Liu, L.; Hu, Y.; Wan, L. Preparation, Characterization and Anti-Aflatoxigenic Activity of Chitosan Packaging Films Incorporated with Turmeric Essential Oil. Int. J. Biol. Macromol. 2019, 131, 420–434. [Google Scholar] [CrossRef]
- Bajić, M.; Jalšovec, H.; Travan, A.; Novak, U.; Likozar, B. Chitosan-Based Films with Incorporated Supercritical CO2 Hop Extract: Structural, Physicochemical, and Antibacterial Properties. Carbohydr. Polym. 2019, 219, 261–268. [Google Scholar] [CrossRef]
- Viegas de Souza, R.H.F.; Takaki, M.; De Oliveira Pedro, R.; Gabriel, J.S.; Tiera, M.J.; Tiera, V.A.O. Hydrophobic Effect of Amphiphilic Derivatives of Chitosan on the Antifungal Activity Against Aspergillus flavus and Aspergillus parasiticus. Molecules 2013, 18, 4437–4450. [Google Scholar] [CrossRef]
- Takaki, M.; De Oliveira Pedro, R.; Viegas de Souza, R.H.F.; Gabriel, J.S.; Dias, A.M.; Tiera, M.J.; De Oliveira Tiera, V.A. Synthesis, Characterization and Study of Quaternary Derivatives of Chitosan: In Vitro Study Against Aspergillus flavus. In Advances in Chitin Science—Volume XIV; Sociedade Iberoamericana de Quitina: São Carlos, Brazil, 2013. [Google Scholar]
- Gabriel, J.D.S.; Tiera, M.J.; De Oliveira Tiera, V.A. Synthesis, Characterization, and Antifungal Activities of Amphiphilic Derivatives of Diethylaminoethyl Chitosan against Aspergillus flavus. J. Agric. Food Chem. 2015, 63, 5725–5731. [Google Scholar] [CrossRef]
- Dias, A.M.; Dos Santos Cabrera, M.P.; Lima, A.M.F.; Taboga, S.R.; Vilamaior, P.S.L.; Tiera, M.J.; De Oliveira Tiera, V.A. Insights on the Antifungal Activity of Amphiphilic Derivatives of Diethylaminoethyl Chitosan against Aspergillus Flavus. Carbohydr. Polym. 2018, 196, 433–444. [Google Scholar] [CrossRef]
- Rhim, J.W.; Hong, S.I.; Park, H.M.; Ng, P.K. Chitosan-Based Nanocomposite Films with Antimicrobial Activity. J. Agric. Food Chem. 2006, 54, 5814–5822. [Google Scholar] [CrossRef]
- Tien, C.L.; Lacroix, M.; Ispas-Szabo, P.; Mateescu, M.-A. N-Acylated Chitosan: Hydrophobic Matrices for Controlled Drug Release. J. Control. Release 2003, 93, 1–13. [Google Scholar] [CrossRef]
- Ma, X.; Qiao, C.; Zhang, J.; Xu, J. Effect of Sorbitol Content on Microstructure and Thermal Properties of Chitosan Films. Int. J. Biol. Macromol. 2018, 119, 1294–1297. [Google Scholar] [CrossRef]
- Fiori, A.P.S.M.; Gabiraba, V.P. Preparação e Caracterização de Nanocompósitos Poliméricos Baseados em Quitosana e Argilo Minerais. Polímeros 2014, 24, 628–635. [Google Scholar] [CrossRef]
- Zawadzki, J.; Kaczmarek, H. Thermal Treatment of Chitosan in Various Conditions. Carbohydr. Res. 2010, 80, 394–400. [Google Scholar] [CrossRef]
- Hamdi, M.; Nasri, R.; Hajji, S.; Nigen, M.; Li, S.; Nasri, M. Acetylation Degree, a Key Parameter Modulating Chitosan Rheological, Thermal and Film-Forming Properties. Food Hydrocoll. 2019, 87, 48–60. [Google Scholar] [CrossRef]
- Cagri, A.; Ustunol, Z.; Ryser, E.T. Antimicrobial Edible Films and Coatings. J. Food Prot. 2004, 67, 833–848. [Google Scholar] [CrossRef]
- Zhong, Y.; Zhuang, C.J.; Gu, W.Q.; Zhao, Y.Y. Effect of Molecular Weight on the Properties of Chitosan Films Prepared Using Electrostatic Spraying Technique. Carbohydr. Polym. 2019, 212, 197–205. [Google Scholar] [CrossRef]
- Escamilla-García, M.; Calderón-Domínguez, G.; Chanona-Pérez, J.; Mendoza-Madrigal, A.; Di Pierro, P.; García-Almendárez, B.; Amaro-Reyes, A.; Regalado-González, C. Physical, Structural, Barrier, and Antifungal Characterization of Chitosan–Zein Edible Films with Added Essential Oils. Int. J. Mol. Sci. 2017, 18, 2370. [Google Scholar] [CrossRef]
- Morillon, V.; Debeaufort, F.; Bond, G.; Capelle, M.; Volley, A. Factors affecting the moisture permeability of lipid-based edible films: A review. Crit. Rev. Food Sci. Nutr. 2002, 42, 67–89. [Google Scholar] [CrossRef]
- Valderrama, N.; Albarracín, W.; Algecira, N. Physical and Microbiological Evaluation of Chitosan Films: Effect of Essential Oils and Storage. Int. J. Agric. Biol. Eng. 2015, 9, 262–269. [Google Scholar]
- Changa, W.; Liua, F.; Sharifc, H.R.; Huangd, Z.; Goffe, H.D.; Zhong, F. Preparation of chitosan films by neutralization for improving their preservation effects on chilled meat. Food Hydrocoll. 2019, 90, 50–61. [Google Scholar] [CrossRef]
- Park, S.Y.; Marsh, K.S.; Rhim, J.W. Characteristics of Different Molecular Weight Chitosan Films Affected by the Type of Organic Solvents. J. Food Sci. 2002, 67, 194–197. [Google Scholar] [CrossRef]
- Hanani, Z.A.N.; Beatty, E.; Roos, Y.H.; Morris, M.A.; Kerry, J.P. Development and Characterization of Biodegradable Composite Films Based on Gelatin Derived from Beef, Pork and Fish Sources. Foods 2013, 2, 1–17. [Google Scholar] [CrossRef]
- Oliveira, E.N., Jr.; Melo, I.S.; Franco, T.T. Changes in Hyphal Morphology due to Chitosan Treatment in Some Fungal Species. Braz. Arch. Biol. Technol. 2012, 55, 637–646. [Google Scholar] [CrossRef]
- Oliveira, E.N., Jr.; El Gueddari, N.E.; Moerschbacher, B.M.; Peter, M.G.; Franco, T.T. Growth of Phytopathogenic Fungi in the Presence of Partially Acetylated Chitooligosaccharides. Mycopathologia 2008, 166, 163–174. [Google Scholar] [CrossRef]
- Langvad, F. A Rapid and Efficient Method for Growth Measurement of Filamentous Fungi. J. Microbiol. Methods 1999, 37, 97–100. [Google Scholar] [CrossRef]
- Guo, Z.; Ren, J.; Dong, F.; Wang, G.; Li, P. Comparative Study of the Influence of Active Groups of Chitosan Derivatives on Antifungal Activity. J. Appl. Polym. Sci. 2013, 127, 2553–2556. [Google Scholar] [CrossRef]
- Younes, I.; Sellini, S.; Rinaudo, M.; Jellouli, K.; Nasri, M. Influence of Acetylation Degree and Molecular Weight of Homogeneouschitosans on Antibacterial and Antifungal Activities. Int. J. Food Microbiol. 2014, 185, 57–63. [Google Scholar] [CrossRef]
- Badawy, M.E.; Rabea, E.I. Synthesis and Structure-Activity Relationship of N-(Cinnamyl) Chitosan Analogs as Antimicrobial Agents. Int. J. Biol. Macromol. 2013, 57, 185–192. [Google Scholar] [CrossRef]
- Wang, L.; Wu, H.; Qin, G.; Meng, X. Chitosan Disrupts Penicillium Expansum and Controls Postharvest Blue mold of Jujube Fruit. Food Control 2014, 41, 56–62. [Google Scholar] [CrossRef]
- Huang, M.; Khor, E.; Lim, L. Uptake and Cytotoxicity of Chitosan Molecules and Nanoparticles: Effects of Molecular Weight and Degree of Deacetylation. Pharm. Res. 2004, 21, 344–353. [Google Scholar] [CrossRef]
- Kean, T.; Thanou, M. Biodegradation, Biodistribution and Toxicity of Chitosan. Adv. Drug Deliv. Rev. 2010, 62, 3–11. [Google Scholar] [CrossRef]
- Silva-Castro, I.; Martín-García, J.; Diez, J.J.; Flores-Pacheco, J.A.; Martín-Gil, J.; Martín-Ramos, P. Potential Control of Forest Diseases by Solutions of Chitosan Oligomers, Propolis And Nanosilver. Eur. J. Plant Pathol. 2017, 150, 401–411. [Google Scholar] [CrossRef]
- Kowapradit, J.; Opanasopit, P.; Ngawhirunpat, T.; Apirakaramwong, A.; Rojanarata, T.; Ruktanonchai, U.; Sajomsang, W. In Vitro permeability Enhancement in Intestinal Epithelial Cells (Caco-2) Monolayer of Water Soluble Quaternary Ammonium Chitosan Derivatives. AAPS PharmSciTech 2010, 11, 497–508. [Google Scholar] [CrossRef]
- Hakeim, O.A.; Abou-Okeil, A.; Abdou, L.A.W.; Waly, A. The Influence of Chitosan and Some of its Depolymerized Grades on Natural Color Printing. J. Appl. Polym. Sci. 2005, 97, 559–563. [Google Scholar] [CrossRef]
- Tømmeraas, K.; Vårum, K.M.; Christensen, B.E.; Smidsrød, O. Preparation and Characterisation of Oligosaccharides Produced by Nitrous Acid Depolymerisation of Chitosans. Carbohydr. Res. 2001, 333, 137–144. [Google Scholar] [CrossRef]
- Desbrières, J.; Martinez, C.; Rinaudo, M. Hydrophobic Derivatives of Chitosan: Characterization and Rheological Behaviour. Int. J. Biol. Macromol. 1996, 19, 21–28. [Google Scholar] [CrossRef]
- Lima, A.M.F.; Andreani, L.; Soldi, V. Influência da Adição de Plastificante e do Processo de Reticulação na Morfologia, Absorção de Água e Propriedades Mecânicas de Filmes De Alginato De Sódio. Quím. Nova 2007, 30, 832–837. [Google Scholar] [CrossRef]
- Li, H.; Wang, Y.; Liu, F.; Yang, Y.; Wu, Z.; Cai, H.; Zhang, Q.; Wang, Y.; Li, P. Effects of Chitosan on Control of Postharvest Blue Mold Decay of Apple Fruit and the Possible Mecanisms Involved. Sci. Hortic. 2015, 186, 77–83. [Google Scholar] [CrossRef]
- Guilbert, S.; Cuq, B.; Gontard, N. Recent Innovation in Edible and/or Biodegradable Packaging Materials. Food Addit. Contam. 1997, 14, 741–751. [Google Scholar] [CrossRef]
- Silva, K.S.; Mauro, M.A.; Gonçalves, M.P.; Rocha, C.M.R. Synergistic Interactions of Locust Bean Gum With Whey Proteins: Effect on Physicochemical and Microstructural Properties of Whey Protein-Based Films. Food Hydrocoll. 2016, 54, 179–188. [Google Scholar] [CrossRef]
- ASTM International. ASTM E96/96-16: Standard Test Methods for Water Vapor Transmission of Materials; ASTM International: West Conshohocken, PA, USA, 2016. [Google Scholar]
- Habig Mchugh, T.; Avena-Bustillos, R.; Krochta, J.M. Hydrophilic Edible Films: Modified Procedure for Water Vapor Permeability and Explanation of Thickness Effects. J. Food Sci. 1993, 58, 899–903. [Google Scholar] [CrossRef]
- ASTM International. ASTM D882-12, Standard Test Method for Tensile Properties of Thin Plastic Sheeting; ASTM International: West Conshohocken, PA, USA, 2012. [Google Scholar]
- Reddy, M.V.B.; Barka, E.A.; Castaigne, F.; Arul, J. Effect of Chitosan on Growth and Toxin Production by Alternaria alternata f. sp. Lycopersici. HortScience 1997, 32, 467–468. [Google Scholar] [CrossRef]
- Liu, J.; Tian, S.; Meng, X.; Xu, Y. Effects of Chitosan on Control of Postharvest Diseases and Physiological Responses of Tomato Fruit. Postharvest Biol. Technol. 2007, 44, 300–306. [Google Scholar] [CrossRef]
- Rodrigues, T.T.M.S.; Maffia, L.A.; Dhingra, O.D.; Mizubuti, E.S.G. In Vitro Production of Conidia of Alternaria solani. Trop. Plant Pathol. 2010, 35, 203–212. [Google Scholar] [CrossRef]
- Coqueiro, D.S.O.; Di Piero, R.M. Atividade de Quitosanas com Diferentes Pesos Moleculares sobre Alternaria Solani. Arq. Inst. Biol. 2011, 78, 459–463. [Google Scholar]
- Yu, T.; Li, H.Y.; Zheng, X.D. Synergistic Effect of Chitosan and Cryptococcus Laurentii on Inhibition of Penicillium expansum Infections. Int. J. Food Microbiol. 2007, 114, 261–266. [Google Scholar] [CrossRef]
- Canaver, B.S.; Piero, R.M.D. Quitosana e Adjuvantes para o Controle Preventivo do Mofo Azul da Macieira. Trop. Plant Pathol. 2011, 36, 419–423. [Google Scholar] [CrossRef]










| Polymer | Mw (kDa) | Mn (kDa) | Pdi * (Mw/Mn) | DDA ** (%) | DSDEAE + (%) | ++DSDD (%) |
|---|---|---|---|---|---|---|
| CHC | 208 | 108 | 1.92 | 77 | - | - |
| CHH | 143 | 44 | 3.26 | 97 | - | - |
| CHL | 11 | 4.3 | 2.56 | 97 | - | - |
| DEAE-CHL | 14 | 5.6 | 2.51 | 53 | 44 | - |
| DEAE-CHL-Dod | - | - | - | 29 | 44 | 24 |
| Film | T Max (°C) | Moisture (%) | Weight Loss (%) | Residual Mass (%) |
|---|---|---|---|---|
| CHC | 281 | 12.5 | 51.3 | 36.2 |
| CHH | 287 | 13.3 | 52.2 | 34.5 |
| CHL | 265 | 7.0 | 55.4 | 37.6 |
| DEAE-CHL | 280 | 8.6 | 64.4 | 27.0 |
| DEAE-CHL-Dod | 284 | 10.1 | 69.0 | 20.9 |
| WVP × 10−10 (g m−1 s−1 Pa−1) | |||||||
|---|---|---|---|---|---|---|---|
| Polymer | Glycerol (%) | Sorbitol (%) | |||||
| 0 | 5% | 10% | 20% | 5% | 10% | 20% | |
| CHC | 1.29 ± 0.21 A | 1.41 ± 0.09 A | 1.47 ± 0.09 A | 1.32 ± 0.21 A | 1.34 ± 0.12 A | 1.41 ± 0.20 A | 1.67 ± 0.1 A |
| CHH | 1.33 ± 0.26 A | 1.31 ± 0.08 A | 1.34 ± 0.40 A | 1.22 ± 0.04 A | 1.30 ± 0.23 A | 1.56 ± 0.54 A | 1.65 ± 0.5 A |
| CHL | 1.60 ± 0.18 A | 1.34 ± 0.09 A | 1.38 ± 0.30 A | 1.60 ± 0.28 A | 1.62 ± 0.12 A | 1.63 ± 0.32 A | 1.62 ± 0.0 A |
| DEAE-CHL | 1.29 ± 0.13 A | 1.19 ± 0.15 A | 1.45 ± 0.26 A | 1.32 ± 0.14 A | 1.46 ± 0.15 A | 1.45 ± 0.12 A | 1.22 ± 0.1 A |
| DEAECHL-Dod | 1.22 ± 0.25 B | 1.14 ± 0.02 B | 1.02 ± 0.09 B | 1.30 ± 0.13 B | 1.23 ± 0.10 B | 1.11 ± 0.10 B | 1.45 ± 0.0 A |
| Average Thickness (µm) | |||||||
|---|---|---|---|---|---|---|---|
| Polymer | Glycerol (%) | Sorbitol (%) | |||||
| 0 | 5% | 10% | 20% | 5% | 10% | 20% | |
| CHC | 42.0 ± 1 B | 46.1 ± 2 B | 43.3 ± 2 B | 41.1 ± 1 B | 43.2 ± 2 B | 44.1 ± 4 B | 53.1 ± 2 A |
| CHH | 42.2 ± 2 C | 47.5 ± 1 B | 46.4 ± 1 B,C | 46.8 ± 1 B,C | 49.8 ± 4 B | 55.8 ± 1 A | 55.2 ± 1 A |
| CHL | 45.8 ± 2 A | 45.0 ±1 A | 43.9 ± 1 A | 47.3 ± 1 A | 44.5.± 1 A | 44.4 ± 2 A | 45.4 ± 1 A |
| DEAE-CHL | 37.6 ± 1 B | 37.8 ± 1 B | 39.7 ± 1 A | 39.5± 1 A | 39.9± 1 A | 39.3 ± 1 A | 39.8± 3 A |
| DEAE-CHL-Dod | 29.7± 2 C | 30.5 ± 8 C | 33.4 ± 1 B | 39.7± 2 A | 30.4 ± 1 C | 32.5 ± 1 B | 39.5± 1 A |
| Color Parameters | ||||||||
|---|---|---|---|---|---|---|---|---|
| Film | L* a* b* | Glycerol | Sorbitol | |||||
| 0 | 5% | 10% | 20% | 5% | 10% | 20% | ||
| CHL | 67.65 ± 1.71 D | 75.77 ± 0.92 B | 76.13 ± 1.35 B | 78.07 ± 1.58 A | 64.26 ± 0.43 E | 68.85 ± 0.42 D | 71.42 ± 0.75 C | |
| 16.16 ± 1.98 A | 8.30 ± 0.45 D | 10.75 ± 0.61 C | 9.56 ± 0.61 C | 13.60 ± 0.82 B | 13.45 ± 0.70 B | 13.04 ± 0.86 B | ||
| 53.11 ± 1.86 C | 47.35 ± 1.62 E | 50.85 ± 1.72 D | 53.16 ± 1.65 C | 63.75 ± 1.47 B | 63.21 ± 0.92 B | 69.06 ± 0.94 A | ||
| DEAE-CHL | 66.49 ± 0.98 C | 64.93 ± 2.50 C | 65.92 ± 1.39 C | 56.45 ± 0.77 D | 66.98 ± 1.17 A | 66.68 ± 0.89 A | 68.31 ± 0.87 B | |
| 12.31 ± 0.78 F | 16.76 ± 0.72 G | 22.54 ± 1.62 B | 26.29 ± 0.45 A | 15.70 ± 0.86 D | 14.23 ± 0.98 E | 17.13 ± 0.69 C | ||
| 64.69 ± 1.95 D | 66.34 ± 2.85 C | 66.19 ± 1.61 D | 69.79 ± 1.02 E | 67.34 ± 1.78 A | 68.77 ± 1.24 B | 70.39 ± 1.00 C | ||
| DEAE-CHL-Dod | 82.50 ± 055 C | 80.80 ± 0.29 F | 81.98 ± 1.20 D | 81.17 ± 0.45 E | 82.94 ± 0.21 C | 84.10 ± 0.26 B | 86.23 ± 0.96 A | |
| −0.96 ± 0.31 A | −0.39 ± 013 B | −0.88 ± 0.43 C | −0.27 ± 0.27 A | −0.89 ± 0.07 B | −1.21 ± 0.05 C | −1.44 ± 0.04 D | ||
| 30.99 ± 2.23 B | 33.88 ± 0.64 A | 35.25 ± 1.73 A | 34.96 ± 1.31 A | 27.75 ± 0.50 C | 26.27 ± 0.43 C | 17.76 ± 0.70 D | ||
© 2019 by the authors. Licensee MDPI, Basel, Switzerland. This article is an open access article distributed under the terms and conditions of the Creative Commons Attribution (CC BY) license (http://creativecommons.org/licenses/by/4.0/).
Share and Cite
Alves, A.C.R.S.; Lima, A.M.F.; Tiera, M.J.; Aparecida de Oliveira Tiera, V. Biopolymeric Films of Amphiphilic Derivatives of Chitosan: A Physicochemical Characterization and Antifungal Study. Int. J. Mol. Sci. 2019, 20, 4173. https://doi.org/10.3390/ijms20174173
Alves ACRS, Lima AMF, Tiera MJ, Aparecida de Oliveira Tiera V. Biopolymeric Films of Amphiphilic Derivatives of Chitosan: A Physicochemical Characterization and Antifungal Study. International Journal of Molecular Sciences. 2019; 20(17):4173. https://doi.org/10.3390/ijms20174173
Chicago/Turabian StyleAlves, Anna Carolina Rodrigues Santos, Aline Margarete Furuyama Lima, Marcio José Tiera, and Vera Aparecida de Oliveira Tiera. 2019. "Biopolymeric Films of Amphiphilic Derivatives of Chitosan: A Physicochemical Characterization and Antifungal Study" International Journal of Molecular Sciences 20, no. 17: 4173. https://doi.org/10.3390/ijms20174173
APA StyleAlves, A. C. R. S., Lima, A. M. F., Tiera, M. J., & Aparecida de Oliveira Tiera, V. (2019). Biopolymeric Films of Amphiphilic Derivatives of Chitosan: A Physicochemical Characterization and Antifungal Study. International Journal of Molecular Sciences, 20(17), 4173. https://doi.org/10.3390/ijms20174173
