Chitin Adsorbents for Toxic Metals: A Review
Abstract
:1. Introduction
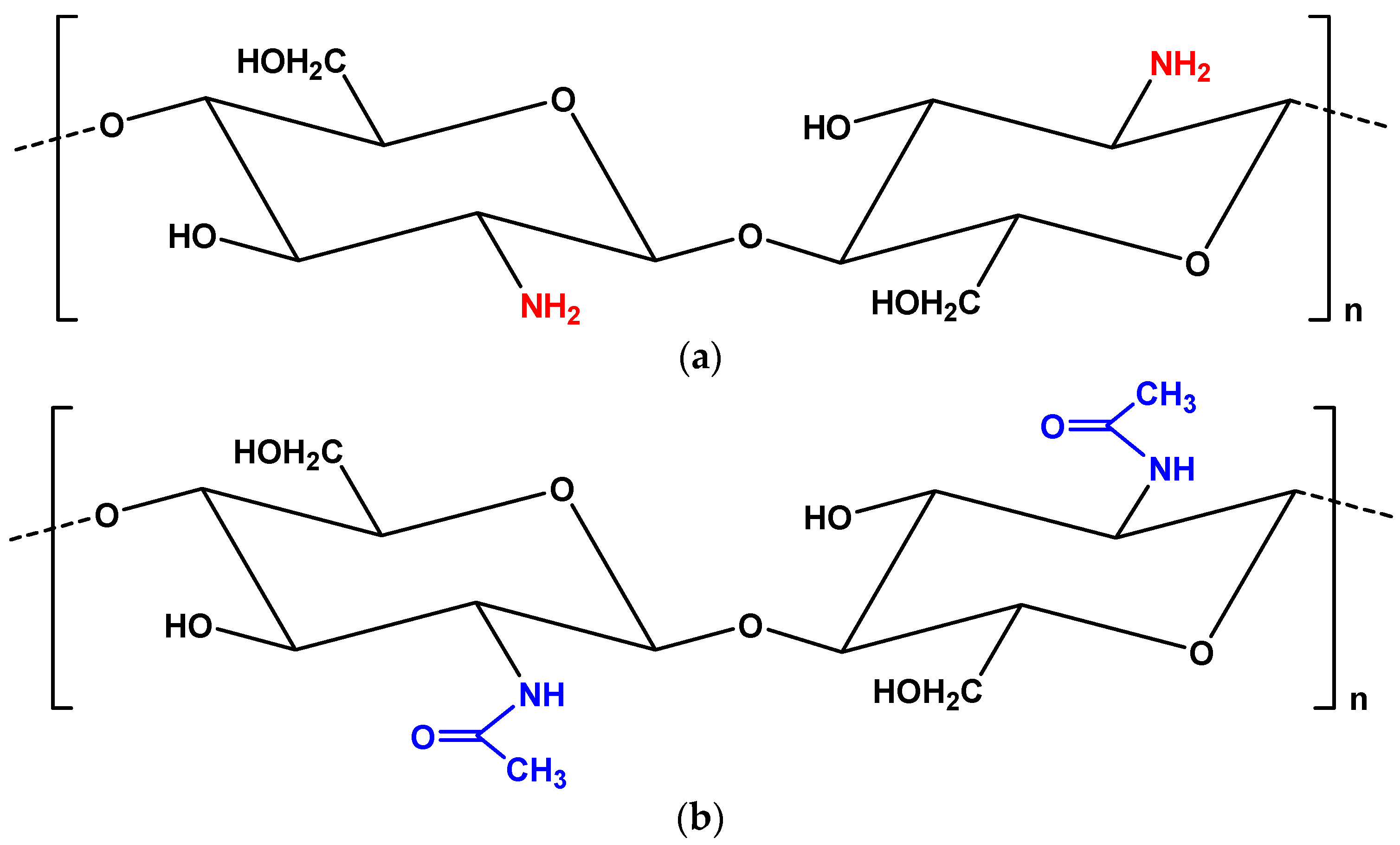
2. Chitin
3. Removal of Toxic Metals
Thermodynamic Studies
4. Conclusions
Conflicts of Interest
References
- Sörme, L.; Lagerkvist, R. Sources of heavy metals in urban wastewater in Stockholm. Sci. Total Environ. 2002, 298, 131–145. [Google Scholar] [CrossRef]
- Georgieva, V.G.; Tavlieva, M.P.; Genieva, S.D.; Vlaev, L.T. Adsorption kinetics of Cr(VI) ions from aqueous solutions onto black rice husk ash. J. Mol. Liq. 2015, 208, 219–226. [Google Scholar] [CrossRef]
- Heibati, B.; Rodriguez-Couto, S.; Al-Ghouti, M.A.; Asif, M.; Tyagi, I.; Agarwal, S.; Gupta, V.K. Kinetics and thermodynamics of enhanced adsorption of the dye AR 18 using activated carbons prepared from walnut and poplar woods. J. Mol. Liq. 2015, 208, 99–105. [Google Scholar] [CrossRef]
- Huang, J.; Wu, Z.; Chen, L.; Sun, Y. Surface complexation modeling of adsorption of Cd(II) on graphene oxides. J. Mol. Liq. 2015, 209, 753–758. [Google Scholar] [CrossRef]
- Najafi, F.; Moradi, O.; Rajabi, M.; Asif, M.; Tyagi, I.; Agarwal, S.; Gupta, V.K. Thermodynamics of the adsorption of nickel ions from aqueous phase using graphene oxide and glycine functionalized graphene oxide. J. Mol. Liq. 2015, 208, 106–113. [Google Scholar] [CrossRef]
- Nekouei, F.; Nekouei, S.; Tyagi, I.; Gupta, V.K. Kinetic, thermodynamic and isotherm studies for acid blue 129 removal from liquids using copper oxide nanoparticle-modified activated carbon as a novel adsorbent. J. Mol. Liq. 2015, 201, 124–133. [Google Scholar] [CrossRef]
- Agarwal, S.; Tyagi, I.; Gupta, V.K.; Ghasemi, N.; Shahivand, M.; Ghasemi, M. Kinetics, equilibrium studies and thermodynamics of methylene blue adsorption on ephedra strobilacea saw dust and modified using phosphoric acid and zinc chloride. J. Mol. Liq. 2016, 218, 208–218. [Google Scholar] [CrossRef]
- Banerjee, S.; Sharma, G.C.; Gautam, R.K.; Chattopadhyaya, M.C.; Upadhyay, S.N.; Sharma, Y.C. Removal of malachite green, a hazardous dye from aqueous solutions using avena sativa (OAT) hull as a potential adsorbent. J. Mol. Liq. 2016, 213, 162–172. [Google Scholar] [CrossRef]
- Heibati, B.; Yetilmezsoy, K.; Zazouli, M.A.; Rodriguez-Couto, S.; Tyagi, I.; Agarwal, S.; Gupta, V.K. Adsorption of ethidium bromide (ETBR) from aqueous solutions by natural pumice and aluminium-coated pumice. J. Mol. Liq. 2016, 213, 41–47. [Google Scholar] [CrossRef]
- Huang, X.; Pan, M. The highly efficient adsorption of Pb(II) on graphene oxides: A process combined by batch experiments and modeling techniques. J. Mol. Liq. 2016, 215, 410–416. [Google Scholar] [CrossRef]
- Munagapati, V.S.; Kim, D.S. Adsorption of anionic AZO DYE congo red from aqueous solution by cationic modified orange peel powder. J. Mol. Liq. 2016, 220, 540–548. [Google Scholar] [CrossRef]
- Peng, W.; Li, H.; Liu, Y.; Song, S. Adsorption of methylene blue on graphene oxide prepared from amorphous graphite: Effects of ph and foreign ions. J. Mol. Liq. 2016, 221, 82–87. [Google Scholar] [CrossRef]
- Yao, T.; Xiao, Y.; Wu, X.; Guo, C.; Zhao, Y.; Chen, X. Adsorption of Eu(III) on sulfonated graphene oxide: Combined macroscopic and modeling techniques. J. Mol. Liq. 2016, 215, 443–448. [Google Scholar] [CrossRef]
- Yazdani, M.R.; Tuutijärvi, T.; Bhatnagar, A.; Vahala, R. Adsorptive removal of arsenic(V) from aqueous phase by feldspars: Kinetics, mechanism, and thermodynamic aspects of adsorption. J. Mol. Liq. 2016, 214, 149–156. [Google Scholar] [CrossRef]
- Zare, K.; Sadegh, H.; Shahryari-Ghoshekandi, R.; Asif, M.; Tyagi, I.; Agarwal, S.; Gupta, V.K. Equilibrium and kinetic study of ammonium ion adsorption by Fe3O4 nanoparticles from aqueous solutions. J. Mol. Liq. 2016, 213, 345–350. [Google Scholar] [CrossRef]
- Ishihara, M.; Nguyen, V.Q.; Mori, Y.; Nakamura, S.; Hattori, H. Adsorption of silver nanoparticles onto different surface structures of chitin/chitosan and correlations with antimicrobial activities. Int. J. Mol. Sci. 2015, 16, 13973–13988. [Google Scholar] [CrossRef] [PubMed]
- Jayakumar, R.; Chennazhi, K.P.; Srinivasan, S.; Nair, S.V.; Furuike, T.; Tamura, H. Chitin scaffolds in tissue engineering. Int. J. Mol. Sci. 2011, 12, 1876–1887. [Google Scholar] [CrossRef] [PubMed]
- Park, B.K.; Kim, M.M. Applications of chitin and its derivatives in biological medicine. Int. J. Mol. Sci. 2010, 11, 5152–5164. [Google Scholar] [CrossRef] [PubMed]
- Yang, T.L. Chitin-based materials in tissue engineering: Applications in soft tissue and epithelial organ. Int. J. Mol. Sci. 2011, 12, 1936–1963. [Google Scholar] [CrossRef] [PubMed]
- Zhang, H.; Li, R.; Liu, W. Effects of chitin and its derivative chitosan on postharvest decay of fruits: A review. Int. J. Mol. Sci. 2011, 12, 917–934. [Google Scholar] [CrossRef] [PubMed]
- Crini, G.; Badot, P.M. Application of chitosan, a natural aminopolysaccharide, for dye removal from aqueous solutions by adsorption processes using batch studies: A review of recent literature. Prog. Polym. Sci. 2008, 33, 399–447. [Google Scholar] [CrossRef]
- Gerente, C.; Lee, V.K.C.; le Cloirec, P.; McKay, G. Application of chitosan for the removal of metals from wastewaters by adsorption—Mechanisms and models review. Crit. Rev. Environ. Sci. Technol. 2007, 37, 41–127. [Google Scholar] [CrossRef]
- Guibal, E.; van Vooren, M.; Dempsey, B.A.; Roussy, J. A review of the use of chitosan for the removal of particulate and dissolved contaminants. Sep. Sci. Technol. 2006, 41, 2487–2514. [Google Scholar] [CrossRef]
- Miretzky, P.; Cirelli, A.F. Hg(II) removal from water by chitosan and chitosan derivatives: A review. J. Hazard. Mater. 2009, 167, 10–23. [Google Scholar] [CrossRef] [PubMed]
- Vakili, M.; Rafatullah, M.; Salamatinia, B.; Abdullah, A.Z.; Ibrahim, M.H.; Tan, K.B.; Gholami, Z.; Amouzgar, P. Application of chitosan and its derivatives as adsorbents for dye removal from water and wastewater: A review. Carbohydr. Polym. 2014, 113, 115–130. [Google Scholar] [CrossRef] [PubMed]
- Wang, X.; Liu, Y.; Zheng, J. Removal of As(III) and As(V) from water by chitosan and chitosan derivatives: A review. Environ. Sci. Pollut. Res. 2016, 23, 13789–13801. [Google Scholar] [CrossRef] [PubMed]
- Zhang, L.; Zeng, Y.; Cheng, Z. Removal of heavy metal ions using chitosan and modified chitosan: A review. J. Mol. Liq. 2016, 214, 175–191. [Google Scholar] [CrossRef]
- Kyzas, G.Z.; Bikiaris, D.N. Recent modifications of chitosan for adsorption applications: A critical and systematic review. Mar. Drugs 2015, 13, 312–337. [Google Scholar] [CrossRef] [PubMed]
- Karthikeyan, G.; Andal, N.M.; Anbalagan, K. Adsorption studies of iron(III) on chitin. J. Chem. Sci. 2005, 117, 663–672. [Google Scholar] [CrossRef]
- Forutan, R.; Ehsandoost, E.; Hadipour, S.; Mobaraki, Z.; Saleki, M.; Mohebbi, G. Kinetic and equilibrium studies on the adsorption of lead by the chitin of pink shrimp (Solenocera melantho). Entomol. Appl. Sci. Lett. 2016, 3, 20–26. [Google Scholar]
- Karthik, R.; Meenakshi, S. Chemical modification of chitin with polypyrrole for the uptake of Pb(II) and Cd(II) ions. Int. J. Biol. Macromol. 2015, 78, 157–164. [Google Scholar] [CrossRef] [PubMed]
- Xiong, C. Adsorption of cadmium (II) by chitin. J. Chem. Soc. Pak. 2010, 32, 429–435. [Google Scholar]
- Mohan, K.; Syed-Shafi, S. Removal of cadmium from the aqueous solution using chitin/polyethylene glycol binary blend. Der Pharma Lett. 2013, 5, 62–69. [Google Scholar]
- Rodríguez, M.; Zalba, M.; Goitía, M.; Pugliese, A.; Debbaudt, A.; Agulló, E.; Schulz, P.; Albertengo, L. Calcareous chitin: A novel low-cost sorbent for cadmium (II). Latin Am. Appl. Res. 2012, 42, 311–318. [Google Scholar]
- Labidi, A.; Salaberria, A.M.; Fernandes, S.C.; Labidi, J.; Abderrabba, M. Adsorption of copper on chitin-based materials: Kinetic and thermodynamic studies. J. Taiwan Inst. Chem. Eng. 2016, 65, 140–148. [Google Scholar] [CrossRef]
- Jaafarzadeh, N.; Mengelizadeh, N.; Hormozinejad, M. Adsorption of Zn(II) from aqueous solution by using chitin extracted from shrimp shells. Jentashapir J. Health Res. 2013, 5, 131–139. [Google Scholar]
- Jaafarzadeh, N.; Mengelizadeh, N.; Takdastan, A.; Heidari-Farsani, M.; Niknam, N. Adsorption of Zn(II) from aqueous solution by using chitin extraction from crustaceous shell. J. Adv. Environ. Health Res. 2014, 2, 110–119. [Google Scholar]
- Kocer, N.N.; Uslu, G.; Cuci, Y. The adsorption of Zn(II) ions onto chitin: Determination of equilibrium, kinetic and thermodynamic parameters. Adsorpt. Sci. Technol. 2008, 26, 333–344. [Google Scholar] [CrossRef]
- Sofiane, B.; Sofia, K.S. Biosorption of heavy metals by chitin and the chitosan. Der Pharma Chem. 2015, 7, 54–63. [Google Scholar]
- Jaafarzadeh, N.; Mengelizadeh, N.; Takdastan, A.; Farsani, M.H.; Niknam, N.; Aalipour, M.; Hadei, M.; Bahrami, P. Biosorption of heavy metals from aqueous solutions onto chitin. Int. J. Environ. Health Eng. 2015, 4, 1–7. [Google Scholar]
- Yang, R.; Su, Y.; Aubrecht, K.B.; Wang, X.; Ma, H.; Grubbs, R.B.; Hsiao, B.S.; Chu, B. Thiol-functionalized chitin nanofibers for As(III) adsorption. Polymer 2015, 60, 9–17. [Google Scholar] [CrossRef]
- Hanh, T.T.; Huy, H.T.; Hien, N.Q. Pre-irradiation grafting of acrylonitrile onto chitin for adsorption of arsenic in water. Radiat. Phys. Chem. 2015, 106, 235–241. [Google Scholar] [CrossRef]
- Singh, P.; Nagendran, R. A comparative study of sorption of chromium(III) onto chitin and chitosan. Appl. Water Sci. 2016, 6, 199–204. [Google Scholar] [CrossRef]
- Santosa, S.J.; Siswanta, D.; Sudiono, S.; Utarianingrum, R. Chitin–humic acid hybrid as adsorbent for Cr(III) in effluent of tannery wastewater treatment. Appl. Surf. Sci. 2008, 254, 7846–7850. [Google Scholar] [CrossRef]
- Otuonye, U.C.; Barminas, J.T.; Magomya, A.M.; Kamba, E.A.; Andrew, C. Removal of chromium(VI) as a heavy metal from aqueous solution using chitin obtained from bargi fish (heterotis miloticus) scale. Sci-Afric J. Sci. Issues Res. Essays 2014, 2, 128–131. [Google Scholar]
- Saravanan, D.; Gomathi, T.; Sudha, P. Sorption studies on heavy metal removal using chitin/bentonite biocomposite. Int. J. Biol. Macromol. 2013, 53, 67–71. [Google Scholar] [CrossRef] [PubMed]
- Karthik, R.; Meenakshi, S. Synthesis, characterization and Cr(VI) uptake studies of polypyrrole functionalized chitin. Synth. Met. 2014, 198, 181–187. [Google Scholar] [CrossRef]
- Shao, J.; Yang, Y.; Shi, C. Preparation and adsorption properties for metal ions of chitin modified by l-cysteine. J. Appl. Polym. Sci. 2003, 88, 2575–2579. [Google Scholar] [CrossRef]
- Anastopoulos, I.; Bhatnagar, A.; Lima, E.C. Adsorption of rare earth metals: A review of recent literature. J. Mol. Liq. 2016, 221, 954–962. [Google Scholar] [CrossRef]
- Anastopoulos, I.; Kyzas, G.Z. Composts as biosorbents for decontamination of various pollutants: A review. Water Air Soil Pollut. 2015, 226, 1–16. [Google Scholar] [CrossRef]
- Anastopoulos, I.; Kyzas, G.Z. Are the thermodynamic parameters correctly estimated in liquid-phase adsorption phenomena? J. Mol. Liq. 2016, 218, 174–185. [Google Scholar] [CrossRef]
- Anastopoulos, I.; Kyzas, G.Z. Agricultural peels for dye adsorption: A review of recent literature. J. Mol. Liq. 2014, 200, 381–389. [Google Scholar] [CrossRef]
- Anastopoulos, I.; Massas, I.; Ehaliotis, C. Use of residues and by-products of the olive-oil production chain for the removal of pollutants from environmental media: A review of batch biosorption approaches. J. Environ. Sci. Health Part A 2015, 50, 677–718. [Google Scholar] [CrossRef] [PubMed]
- Bhatnagar, A.; Anastopoulos, I. Adsorptive removal of bisphenol a (BPA) from aqueous solution: A review. Chemosphere 2017, 168, 885–902. [Google Scholar] [CrossRef] [PubMed]
- Ramesh, A.; Lee, D.; Wong, J. Thermodynamic parameters for adsorption equilibrium of heavy metals and dyes from wastewater with low-cost adsorbents. J. Colloid Interface Sci. 2005, 291, 588–592. [Google Scholar] [CrossRef] [PubMed]
- Liu, X.; Lee, D.-J. Thermodynamic parameters for adsorption equilibrium of heavy metals and dyes from wastewaters. Bioresour. Technol. 2014, 160, 24–31. [Google Scholar] [CrossRef] [PubMed]



| Chitin Adsorbent | Metal | Isotherm Model | Kinetic Model | Qm (mg/g) | Reference |
|---|---|---|---|---|---|
| Chitin | Fe3+ | L, F | - | 1.3778 | [29] |
| Chitin of pink shrimp | Pb2+ | F | PS2 | 7.003 | [30] |
| Chemically modified chitin with polypyrrole | Pb2+ | F | PS2 | 8.64 | [31] |
| Chemically modified chitin with polypyrrole | Cd2+ | F | PS2 | 6.17 | [31] |
| Chitin | Cd2+ | L | - | 90.1 | [32] |
| Chitin/polyethylene glycol binary blend | Cd2+ | F | PS2 | 156 a | [33] |
| Chitin | Cd2+ | L | - | 32.4 | [34] |
| Calcareous chitin | Cd2+ | L | - | 71.4 | [34] |
| Chitin | Cu2+ | L | PS2 | 58 | [35] |
| Chitin from extracted shrimp shells | Zn2+ | F | PS2 | 270.270 | [36] |
| Chitin from extracted from exoskeleton of crab shells | Zn2+ | F | PS2 | 181.18 | [37] |
| Chitin | Zn2+ | L | PS2 | 4.65 | [38] |
| Chitin from shrimp carapaces | Zn2+ | L | - | 5.86 | [39] |
| Chitin extracted from shrimp shells | As5+ | F | PS1, PS2 | 11.574 | [40] |
| Thiol-modified chitin nanofibers | As3+ | L | - | 149 | [41] |
| Modified chitin | As3+ | L | - | 19.724 | [42] |
| Chitin | Cr3+ | L | - | 7.738 | [43] |
| Chitin-humic acid hybrid | Cr3+ | F | FO | 9.2 | [44] |
| Bargi scale | Cr6+ | L | - | 25 | [45] |
| Chitin from Bargi fish (Heterotis Miloticus) | Cr6+ | L | - | 37.04 | [45] |
| Polypyrrole-functionalized chitin | Cr6+ | F | PS2 | 28.92 | [47] |
| Chitin Adsorbent | Metal | Experimental Adsorption Conditions | Reference |
|---|---|---|---|
| Chitin | Fe3+ | C0 = 2–14 mg/L; m = 10 mg; pH = 2–8; V = 50 mL; T = 20–50 °C | [29] |
| Chitin of pink shrimp | Pb2+ | C0 = 1–20 mg/L; m = 150 mg; pH = 2–10; V = 50 mL; T = 30 °C | [30] |
| Chemically modified chitin with polypyrrole | Pb2+ | C0 = 10 mg/L; m = 100 mg; pH = 2–6; V = 50 mL; co-existing ions: Cu(II), Zn(II), Co(II), Ni(II) | [31] |
| Chemically modified chitin with polypyrrole | Cd2+ | C0 = 10 mg/L; m = 100 mg; pH = 2–6; V = 50 mL; co-existing ions: Cu(II), Zn(II), Co(II), Ni(II) | [31] |
| Chitin | Cd2+ | C0 = 0.1 g/mL; m = 30 mg; pH = 2–10; V = 30 mL; T = 25–45 °C | [32] |
| Chitin/polyethylene glycol binary blend | Cd2+ | C0 = 200 mg/L; m = 1–6 g; pH = 4–8; T = 30 °C | [33] |
| Chitin | Cd2+ | C0 = 0–474 mg/L; m = 50 mg; pH = 3–7; V = 50 mL; T = 20 °C; [NaClO4] = 10−1; 10−2 and 10−3 M | [34] |
| Calcareous chitin | Cd2+ | C0 = 0-474 mg/L; m = 50 mg; pH = 3–7; V = 50 mL; T = 20 °C; [NaClO4] = 10−1; 10−2 and 10−3 M | [34] |
| Chitin | Cu2+ | C0 = 150–300 mg/L; m = 0.2 g; pH = 7; V = 100 mL; T = 25–45 °C | [35] |
| Chitin from extracted shrimp shells | Zn2+ | C0 = 50–500 mg/L; m = 0.5–10 g; pH = 3–7; V = 250 mL; T = 25 °C | [36] |
| Chitin from extracted (exoskeleton) crab shells | Zn2+ | C0 = 50–500 mg/L; m = 0.5–10 g; pH = 3–7; V = 250 mL; T = 25 °C | [37] |
| Chitin | Zn2+ | C0 = 10–300 mg/L; m = 0.1 g; pH = 2–5; V = 100 mL; T = 20–40 °C | [38] |
| Chitin from shrimp carapaces | Zn2+ | C0 = 20–400 mg/L; m = 0.1–0.6 g; pH = 2–7; V = 300 mL; T = 10–40 °C | [39] |
| Chitin extracted from shrimp shells | As5+ | C0,As = 0.5–10 mg/L; C0,Zn = 50–500 mg/L; m = 0.1–10 g; pH = 3–7; V = 500 mL; T = 10–40 °C | [40] |
| Thiol-modified chitin nanofibers | As3+ | C0 = 10–100 mg/L; m = 0.5 wt %; pH = 4–11; T = 25 °C | [41] |
| Modified chitin | As3+ | C0 = 65–650 mg/L; m = 3 g; pH = 6.5; T = 30 °C | [42] |
| Chitin | Cr3+ | C0 = 50 mg/L; m = 0.1 g; pH = 2–5; V = 50 mL | [43] |
| Chitin-humic acid hybrid | Cr3+ | C0 = 50 mg/L; m = 10 mg; pH = 3–7; V = 10 mL; T = 25 °C | [44] |
| Bargi scale | Cr6+ | C0 = 0–100 mg/L; m = 100 mg; pH = 3–8; V = 50 mL; T = 30 °C | [45] |
| Chitin from Bargi fish (Heterotis Miloticus) | Cr6+ | C0 = 0–100 mg/L; m = 100 mg; pH = 3–8; V = 50 mL; T = 30 °C | [45] |
| Polypyrrole-functionalized chitin | Cr6+ | C0 = 50–100 mg/L; m = 0.1 g; pH = 4.8; V = 50 mL; T = 30–50 °C | [47] |
| Chitin Adsorbent | Metal | T (K) | ΔG0 (kJ/mol) | ΔΗ0 (kJ/mol) | ΔS0 (kJ/mol K) | Reference |
|---|---|---|---|---|---|---|
| Chitin | Fe3+ | 293 | −4.32 | 2.16 | 0.022 | [29] |
| 303 | −4.52 | |||||
| 313 | −4.72 | |||||
| 323 | −4.97 | |||||
| Chemically modified chitin with polypyrrole | Pb2+ | 303 | −3.03 | 18.92 | 0.05 | [31] |
| 313 | −2.84 | |||||
| 323 | −1.98 | |||||
| Chemically modified chitin with polypyrrole | Cd2+ | 303 | −4.61 | 7.19 | 0.01 | [31] |
| 313 | −4.62 | |||||
| 323 | −4.44 | |||||
| Chitin | Cd2+ | 288 | −18.5 | 10.6 | 0.101 | [32] |
| 298 | −19.5 | |||||
| 308 | −20.5 | |||||
| 318 | −21.5 | |||||
| Chitin | Cu2+ | 298 | −0.87 | −33.65 | −0.11 | [35] |
| 308 | 0.23 | |||||
| 318 | 1.33 | |||||
| Chitin | Zn2+ | 293 | −18.21 | 4.13 | 0.076 | [38] |
| 303 | −18.92 | |||||
| 313 | −19.73 | |||||
| Chitin from Bargi fish (Heterotis Miloticus) | Cr6+ | – | −76.54 | −132.59 | −0.185 | [45] |
| Polypyrrole-functionalized chitin | Cr6+ | 303 | −8.30 | 15.51 | 0.02 | [47] |
| 313 | −8.17 | |||||
| 323 | −7.82 |
© 2017 by the authors; licensee MDPI, Basel, Switzerland. This article is an open access article distributed under the terms and conditions of the Creative Commons Attribution (CC-BY) license (http://creativecommons.org/licenses/by/4.0/).
Share and Cite
Anastopoulos, I.; Bhatnagar, A.; Bikiaris, D.N.; Kyzas, G.Z. Chitin Adsorbents for Toxic Metals: A Review. Int. J. Mol. Sci. 2017, 18, 114. https://doi.org/10.3390/ijms18010114
Anastopoulos I, Bhatnagar A, Bikiaris DN, Kyzas GZ. Chitin Adsorbents for Toxic Metals: A Review. International Journal of Molecular Sciences. 2017; 18(1):114. https://doi.org/10.3390/ijms18010114
Chicago/Turabian StyleAnastopoulos, Ioannis, Amit Bhatnagar, Dimitrios N. Bikiaris, and George Z. Kyzas. 2017. "Chitin Adsorbents for Toxic Metals: A Review" International Journal of Molecular Sciences 18, no. 1: 114. https://doi.org/10.3390/ijms18010114
APA StyleAnastopoulos, I., Bhatnagar, A., Bikiaris, D. N., & Kyzas, G. Z. (2017). Chitin Adsorbents for Toxic Metals: A Review. International Journal of Molecular Sciences, 18(1), 114. https://doi.org/10.3390/ijms18010114

