Thermochemical Pretreatments of Organic Fraction of Municipal Solid Waste from a Mechanical-Biological Treatment Plant
Abstract
:1. Introduction
- (1)
 - To determine with more accuracy, (while reducing the operational variables ranges), the best conditions for improving the organic matter solubilisation according to preliminary results obtained by Fdez-Güelfo et al. [1] in order to provide further detailed information that will complement the conclusions obtained by these authors.
 - (2)
 - (3)
 - To contrast the SY estimated in terms of classical parameters of organic matter (DOC, sCOD and TVFA) with a new indirect parameter defined by Fdez-Güelfo et al. [25], the “acidogenic substrate as carbon (ASC)”, in order to evaluate the possible effect of the pretreatments on the H2 production during the acidogenic phase of a sequential anaerobic process.
 
2. Results and Discussions
2.1. Optimizing the Operational Variables



| Operation Time (min) | Solubilisation Yield (%) | |||
|---|---|---|---|---|
| DOC | sCOD | TVFA | ASC | |
| 15 | 107.2 | 52.2 | 63.08 | 97.4 | 
| 30 | 175.51 | 122.74 | 118.90 | 177.95 | 
| 60 | 156.7 | 114.7 | 89.1 | 161.3 | 
| 120 | 34.9 | 62.8 | 19.0 | 31.4 | 
2.2. Expected Effect of Pretreatment on the Extent of Acidogenesis and H2 Production
2.3. Statistical Analysis
| Parameter | Temperature | Pressure | NaOH Dosage | 
|---|---|---|---|
| ∆DOC | 0.003 | 0.543 | 0.340 | 
| ∆sCOD | 0.077 | 0.801 | 0.761 | 
| ∆TVFA | 0.010 | 0.685 | 0.292 | 
| ∆ASC | 0.003 | 0.543 | 0.349 | 
| Temperatures (ºC) | ∆DOC | ∆sCOD | ∆TVFA | ∆ASC | |
|---|---|---|---|---|---|
| 160 | 180 | 0.028 | 0.573 | 0.096 | 0.028 | 
| 200 | 0.003 | 0.064 | 0.009 | 0.003 | |
| 180 | 160 | 0.028 | 0.573 | 0.096 | 0.028 | 
| 200 | 0.575 | 0.365 | 0.498 | 0.586 | |
| 200 | 160 | 0.003 | 0.064 | 0.009 | 0.003 | 
| 180 | 0.575 | 0.365 | 0.498 | 0.586 | |
3. Experimental Section
3.1. Methodology
| Parameter | Value | 
|---|---|
| pH | 7.23 | 
| Density (g/L) | 0.79 | 
| Alkalinity (g·CaCO3/L) | 6.36 | 
| Ammonia (g·NH4+–N/L) | 0.019 | 
| Total solids (%) | 0.598 | 
| Volatile solids (%) | 0.265 | 
| Dissolved organic carbon (mg·C/g sample) | 26 | 
| Total volatile fatty acids (mg·AcH/g sample) | 10.03 | 
3.2. Design of Experiments
| Variable | Ranges Tested by Fdez-Güelfo et al. [1] | Optimum Values (Fdez-Güelfo et al. [1]) | Ranges Tested in this Study | 
|---|---|---|---|
| Temperature (°C) | 120–150–180 | 180 | 160–180–200 | 
| Pressure (bar) | 1–5–10 | 5 | 3.5–5.0–6.5 | 
| (*) Dosage (g NaOH/L) | 1–3–5 | 3 | 2–3–4 | 
3.3. Determining the Solubilisation Yield (SY)
- ■
 - DAC, the dissolved acid carbon and it represents an average of carbon considering the “carbon/molecular weight” ratios of each VFA independently measured by gas chromatography.
 - ■
 - DOC [M/L3], the dissolved organic carbon measured by carbon analyzer.
 - ■
 - AiH [M/L3], represents the concentration of every individual VFA measured by gas chromatography.
 - ■
 - ni, the number of carbons of AiH.
 - ■
 - MWi, the molecular weight of AiH.
 
3.4. Analytical Techniques
4. Conclusions
- (1)
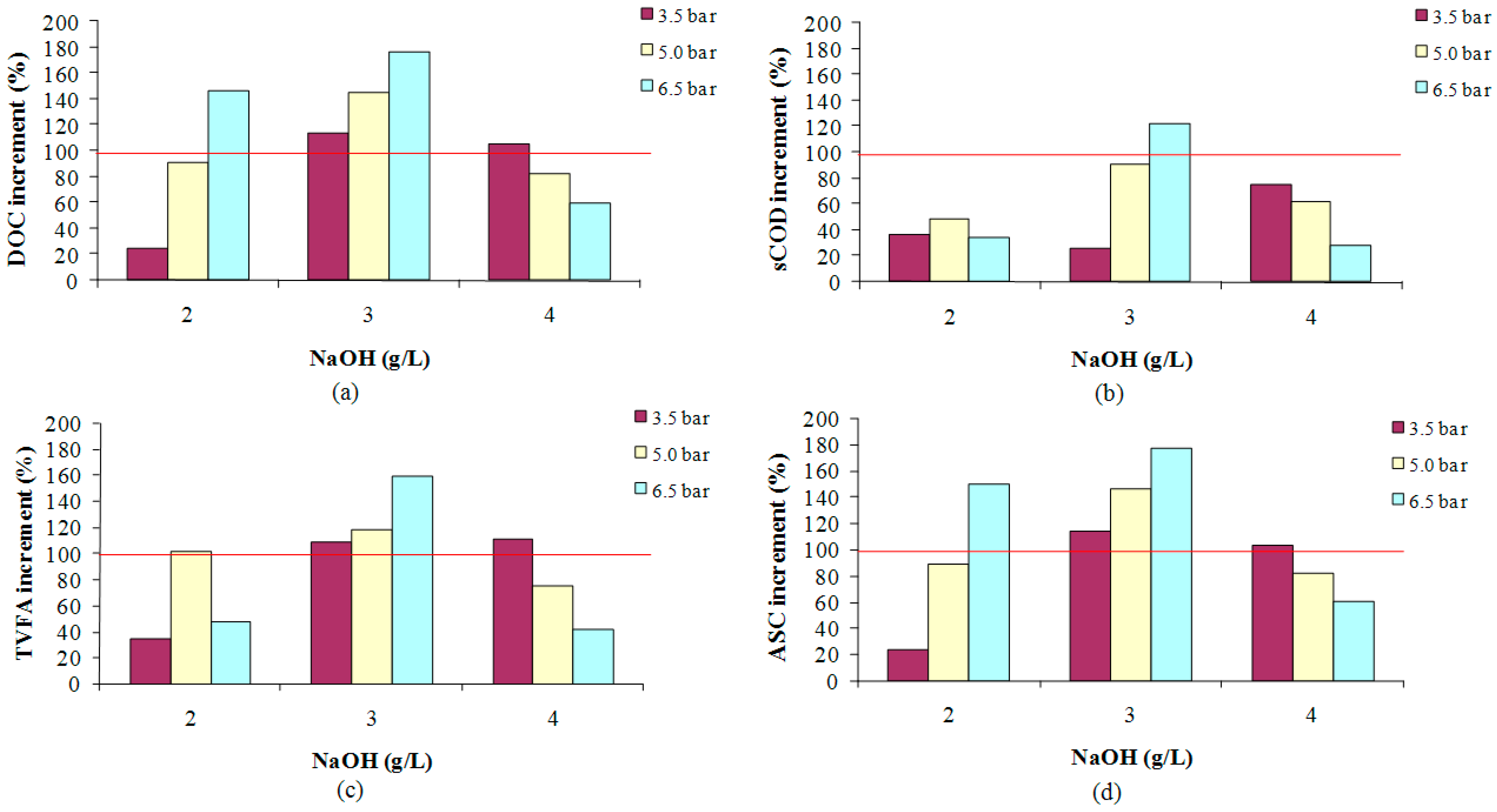
 - With respect to the influence of the factors temperature, pressure and NaOH dosage on the SY, it can be concluded that the best results have been obtained at 160 °C, 3 g NaOH/L, 6.5 bar and 30 min of operation time. In these conditions, the solubilisation yield obtained in terms of DOC, sCOD, TVFA and ASC were 176%, 123%, 119% and 178% respectively. Hence, the optimum conditions reported by Fdez-Güelfo et al. [1], 180 °C, 3 g NaOH/L and 5 bar, may be redefined with higher accuracy in order to improve the efficiency of this pretreatment for applying it to OFMSW coming from full-scale MBT plants.
 - (2)
 - According to the statistical analysis, the temperature is the only factor that unequivocally shows a significant effect on the solubilisation yield when the organic matter is expressed in terms of DOC, TVFA and ASC.
 
Acknowledgments
Author Contributions
Conflicts of Interest
References
- Fdez-Güelfo, L.A.; Álvarez-Gallego, C.J.; Sales Márquez, D.; Romero García, L.I. The use of thermochemical and biological pretreatments to enhance organic matter hydrolysis and solubilization from organic fraction of municipal solid waste (OFMSW). Chem. Eng. J. 2011, 168, 249–254. [Google Scholar] [CrossRef]
 - Polanco, F.F.; Encina, A.G. Anaerobic Biological Processes. In Proceedings of the Symposium on Biological Treatment of Organic Waste; University Valladolid: Valladolid, Spain, 2000; pp. 1–25. [Google Scholar]
 - Carrère, H.; Dumas, C.; Battimelli, A.; Batstone, D.J.; Delgenès, J.P.; Steyer, J.P.; Ferrer, I. Pretreatment methods to improve sludge anaerobic degradability: A review. J. Hazard. Mater. 2010, 183, 1–15. [Google Scholar] [CrossRef] [PubMed]
 - Rughoonundun, H.; Granda, C.; Mohee, R.; Holtzapple, M.T. Effect of thermochemical pretreatment on sewage sludge and its impact on carboxylic acids production. Waste Manag. 2010, 30, 1614–1621. [Google Scholar] [CrossRef] [PubMed]
 - Wang, H.; Wang, H.; Lu, W.; Zhao, Y. Digestibility improvement of sorted waste with alkaline hydrothermal pretreatment. Tsinghua Sci. Technol. 2009, 14, 378–382. [Google Scholar] [CrossRef]
 - Zhu, J.; Wan, C.; Li, Y. Enhanced solid-state anaerobic digestion of corn stover by alkaline pretreatment. Bioresour. Technol. 2010, 101, 7523–7528. [Google Scholar] [CrossRef] [PubMed]
 - Cesaro, A.; Belgiorno, V. Pretreatment methods to improve anaerobic biodegradability of organic municipal solid waste fractions. Chem. Eng. J. 2014, 240, 24–37. [Google Scholar] [CrossRef]
 - Liu, X.; Wang, W.; Gao, X.; Zhou, Y.; Shen, R. Effect of thermal pretreatment on the physical and chemical properties of municipal biomass waste. Waste Manag. 2012, 32, 249–255. [Google Scholar] [CrossRef] [PubMed]
 - Ariunbaatar, J.; Panico, A.; Esposito, G.; Pirozzi, F.; Lens, P.N.L. Pretreatment methods to enhance anaerobic digestion of organic solid. Waste Appl. Energy 2014, 123, 143–156. [Google Scholar] [CrossRef]
 - Lopez Torres, M.; Ma, E.L. Effect of alkaline pretreatment on anaerobic digestion of solid wastes. Waste Manag. 2008, 28, 2229–2234. [Google Scholar] [CrossRef] [PubMed]
 - Neves, L.; Ribeiro, R.; Oliveira, R.; Alves, M.M. Enhancement of methane production from barley waste. Biomass Bioenergy 2006, 30, 599–603. [Google Scholar] [CrossRef]
 - Patil, J.H.; Antony Raj, M.; Gavimath, C.C. Study on effect of pretreatment methods on biomethanation of water hyacinth. Int. J. Adv. Biotechnol. Res. 2011, 2, 143–147. [Google Scholar]
 - Lim, J.W.; Wang, J.-Y. Enhanced hydrolysis and methane yield by applying microaeration pretreatment to the anaerobic co-digestion of brown water and food waste. Waste Manag. 2013, 33, 813–819. [Google Scholar] [CrossRef] [PubMed]
 - Fdez-Güelfo, L.A.; Álvarez-Gallego, C.; Sales Márquez, D.; Romero García, L.I. The effect of different pretreatments on biomethanation kinetics of industrial organic fraction of municipal solid waste (OFMSW). Chem. Eng. J. 2011, 171, 411–417. [Google Scholar] [CrossRef]
 - Fdez-Güelfo, L.A.; Álvarez-Gallego, C.; Sales Márquez, D.; Romero García, L.I. Biological pretreatment applied to industrial organic fraction of municipal solid wastes (OFMSW): Effect on anaerobic digestion. Chem. Eng. J. 2011, 172, 321–325. [Google Scholar] [CrossRef]
 - Fdez-Güelfo, L.A.; Álvarez-Gallego, C.; Sales Márquez, D.; Romero García, L.I. New parameters to determine the optimum pretreatment for improving the biomethanization performance. Chem. Eng. J. 2012, 198, 81–86. [Google Scholar] [CrossRef]
 - Kim, J.; Park, C.; Kim, T.; Lee, M.; Kim, S.; Kim, L.J. Effects of various pretreatments for enhanced anaerobic digestion with waste activated sludge. J. Biosci. Bioeng. 2003, 3, 271–275. [Google Scholar] [CrossRef]
 - Penaud, V.; Delgenés, J.P.; Moletta, R. Thermo-chemical pretreatment of a microbial biomass: Influence of sodium hydroxide addition on solubilization and anarobic biodegradability. Enzym. Microb. Technol. 1999, 25, 258–263. [Google Scholar] [CrossRef]
 - Penaud, V.; Delgenés, J.P.; Moletta, R. Influence of thermochemical pretreatment conditions on solubilization and anaerobic biodegradability of a microbial biomass. Environ. Technol. 2000, 21, 87–96. [Google Scholar] [CrossRef]
 - Sawayama, S.; Inoue, S.; Tsukahara, K.; Ogi, T. Thermochemical Liquidization of anaerobically digested and dewatered sewage sludge. Bioresour. Technol. 1996, 55, 141–144. [Google Scholar] [CrossRef]
 - Sawayama, S.; Inoue, S.; Minowa, T.; Tsukahara, K.; Ogi, T. Thermochemicall iquidization and anaerobic treatment of kitchen garbage. J. Ferment. Bioeng. 1997, 5, 451–455. [Google Scholar] [CrossRef]
 - Tsukahara, K.; Yaguishita, T.; Ogi, T.; Sawayama, S. Treatment of liquid fraction separated from liquidized food waste in an upflow anaerobic sludge blanket reactor. J. Biosci. Bioeng. 1999, 4, 554–556. [Google Scholar] [CrossRef]
 - Wang, Q.; Kuninobu, M.; Ogawa, H.; Kato, Y. Degradation of volatile fatty acids in highly efficient anaerobic digestion. Biomass Bioenergy 1999, 16, 407–416. [Google Scholar] [CrossRef]
 - Lin, C.; Lee, Y. Effect of thermal and chemical pretreatments on anaerobic ammonium removal in treating septage using the UASB system. Bioresour. Technol. 2002, 83, 259–261. [Google Scholar] [CrossRef] [PubMed]
 - Fdez-Güelfo, L.A.; Álvarez-Gallego, C.; Sales Márquez, D.; Romero García, L.I. New indirect parameters for interpreting a destabilization episode in an anaerobic reactor. Chem. Eng. J. 2012, 180, 32–38. [Google Scholar] [CrossRef]
 - Delgenés, J.P.; Penaud, V.; Torrijos, M.; Moletta, R. Investigation on the changes in anaerobic biodegradability and biotoxicity of an industrial microbial biomass induced by thermochemical pre-treatment. Water Sci. Technol. 2000, 41, 137–144. [Google Scholar] [PubMed]
 - Lowry, R. Chapter 14: One-Way Analysis of Variance for Independent Samples. Available online: http://vassarstats.net/textbook/ch14pt2.html (accessed on 5 February 2015).
 - Romero Aguilar, M.A.; Fdez-Güelfo, L.A.; Álvarez-Gallego, C.J.; Romero García, L.I. Effect of HRT on hydrogen production and organic matter solubilisation in acidogenic anaerobic digestion of OFMSW. Chem. Eng. J. 2013, 219, 443–449. [Google Scholar] [CrossRef]
 - Rice, E.W.; Baird, R.B.; Eaton, A.D.; Clesceri, L.S. Standard Methods for the Examination of Water and Wastewater, 22th ed.; American Public Health Association (APHA): Washington, DC, USA, 2012. [Google Scholar]
 
© 2015 by the authors; licensee MDPI, Basel, Switzerland. This article is an open access article distributed under the terms and conditions of the Creative Commons Attribution license (http://creativecommons.org/licenses/by/4.0/).
Share and Cite
Alvarez-Gallego, C.J.; Fdez-Güelfo, L.A.; Romero Aguilar, M.d.l.A.; Romero García, L.I. Thermochemical Pretreatments of Organic Fraction of Municipal Solid Waste from a Mechanical-Biological Treatment Plant. Int. J. Mol. Sci. 2015, 16, 3769-3782. https://doi.org/10.3390/ijms16023769
Alvarez-Gallego CJ, Fdez-Güelfo LA, Romero Aguilar MdlA, Romero García LI. Thermochemical Pretreatments of Organic Fraction of Municipal Solid Waste from a Mechanical-Biological Treatment Plant. International Journal of Molecular Sciences. 2015; 16(2):3769-3782. https://doi.org/10.3390/ijms16023769
Chicago/Turabian StyleAlvarez-Gallego, Carlos José, Luis Alberto Fdez-Güelfo, María de los Angeles Romero Aguilar, and Luis Isidoro Romero García. 2015. "Thermochemical Pretreatments of Organic Fraction of Municipal Solid Waste from a Mechanical-Biological Treatment Plant" International Journal of Molecular Sciences 16, no. 2: 3769-3782. https://doi.org/10.3390/ijms16023769
APA StyleAlvarez-Gallego, C. J., Fdez-Güelfo, L. A., Romero Aguilar, M. d. l. A., & Romero García, L. I. (2015). Thermochemical Pretreatments of Organic Fraction of Municipal Solid Waste from a Mechanical-Biological Treatment Plant. International Journal of Molecular Sciences, 16(2), 3769-3782. https://doi.org/10.3390/ijms16023769
        
                                                