Evaluation of the Antiradical Properties of Phenolic Acids
Abstract
:1. Introduction
2. Results and Discussion
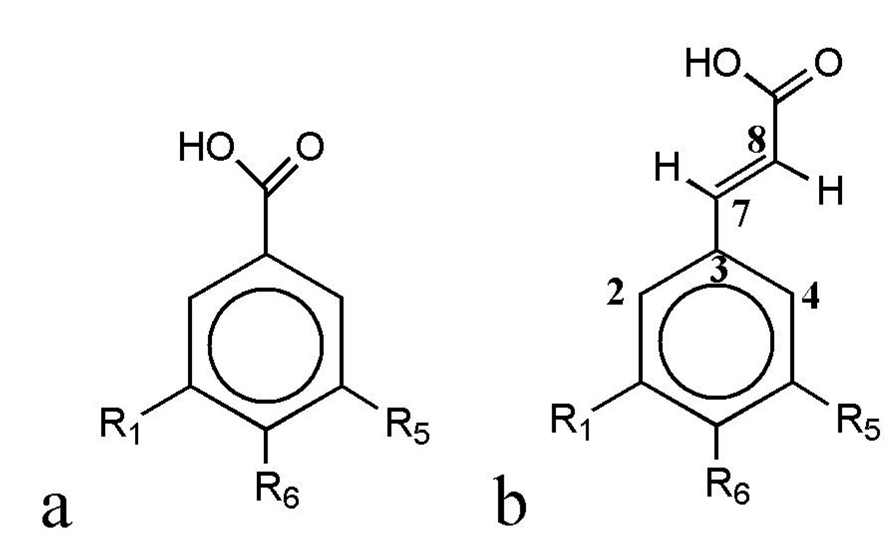
2.1. Antiradical Activity of p-Hydroxybenzoic (HB) and p-Hydroxycinnamic (HC)

| Phenolic Acids | R1 | R5 | R6 |
|---|---|---|---|
| p-Hydroxybenzoic (HB) acids: | |||
| p-Hydroxybenzoic (HBA) | H | H | OH |
| Vanillic (VA) | H | OCH3 | OH |
| Syringic (SyrA) | OCH3 | OCH3 | OH |
| Gallic acid (GalA) | OH | OH | OH |
| p-Hydroxycinnamic (HC) acids: | |||
| p-Coumaric (CA) | H | H | OH |
| Ferulic (FA) | H | OCH3 | OH |
| Sinapic (SinA) | OCH3 | OCH3 | OH |
| Phenolic Acids | TEAC (μmol TE/μmol) | ORAC (μmol TE/μmol) |
|---|---|---|
| p-Hydroxybenzoic (HBA) | 2.64 ± 0.07 | 2.17 ± 0.18 |
| Vanillic (VA) | 2.63 ± 0.08 | 3.44 ± 0.19 |
| Syringic (SyrA) | 1.46 ± 0.09 | 1.52 ± 0.11 |
| Gallic acid (GalA) | 5.76 ± 0.21 | 1.08 ± 0.05 |
| p-Coumaric (CA) | 3.04 ± 0.18 | 5.02 ± 0.26 |
| Ferulic (FA) | 3.90 ± 0.21 | 4.59 ± 0.21 |
| Sinapic (SinA) | 3.66 ± 0.15 | 2.94 ± 0.19 |
| l-Ascorbic acid | 1.01 ± 0.02 | 0.52 ± 0.04 |
| d,l-α-Tocoferol a | 1.00 ± 0.02 | 1.01 ± 0.06 |

| Phenolic Acid | TEAC (μmol TE/μmol) | ||||
|---|---|---|---|---|---|
| p-HBA | 2.64 ± 0.07 | 2.64 ± 0.07 | – | – | – |
| VA | 2.63 ± 0.08 | 1.8 | – | 1.52 ± 0.01 | 1.42 ± 0.3 |
| SyrA | 1.46 ± 0.09 | 1.6 | – | – | 1.40 ± 0.03 |
| GalA | 5.76 ± 0.21 | 4.3 | – | – | 2.15 ± 0.01 |
| CA | 3.04 ± 0.18 | 2.3 | 2.39 ± 0.09 | – | 2.27 ± 0.01 |
| FA | 3.90 ± 0.21 | 3.2 | 1.97 ± 0.02 | 2.32 ± 0.09 | 1.87 ± 0.06 |
| SinA | 3.66 ± 0.15 | 2.2 | 2.09 ± 0.11 | – | – |
| Conditions of analysis | PBS, pH 7.40, 40th min | PBS, pH 7.40, 1st min | PBS, pH 7.40, 6th min | PBS, pH 7.40, 10th min | ethanol, 1st min |
| Data from | Experiment | [46] | [53] | [41] | [54] |
2.2. Influence of pH on Antioxidant Capacity (AOC)


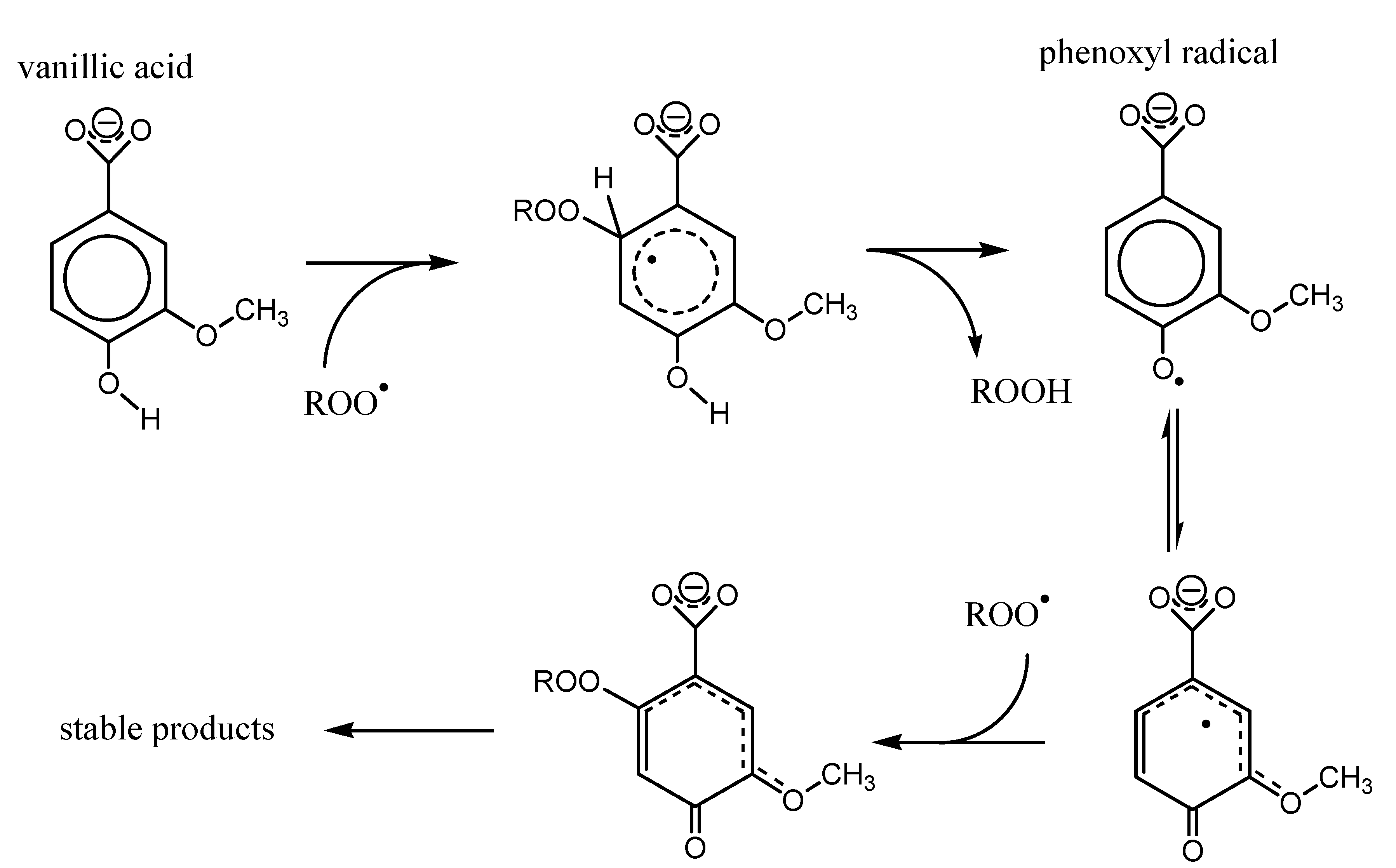
2.3. Computation of Molecular and Electronic Descriptors for Antioxidant Properties of HB and HC Acids
- Hydrogen atom transfer (HAT):ArOH + X· → ArO· + XH
- Sequential proton loss and electron transfer (SPLET):ArOH → ArO− + H+ArO− + X· + H+ → ArO· + XH
- Single electron transfer followed by proton transfer (SET–PT):ArOH + X· → ArOH+ + X−ArOH + X− → ArOH· + XH
2.4. Spin Density and Electrophilic Attack of Radicals
| (a) | |||||||
| Phenolic Acid | State of Ionization | C3 | C4 | C5 | C6 | C1 | C2 |
| p-OH Benzoic | z = 0 | 0.489 | −0.133 | −0.440 | −0.119 | −0.003 | −0.434 |
| z = −1 | 1.099 | −0.838 | 0.393 | −.0.890 | 0.468 | −0.885 | |
| z = −2 | 0.932 | −0.619 | 0.314 | −1.108 | 0.314 | −0.619 | |
| radical, z = 0 | 1.037 | −0.832 | 0.455 | −0.797 | 0.515 | −0.915 | |
| radical, z = −1 | 1.151 | −0.938 | 0.535 | −0.838 | 0.535 | −0.938 | |
| radical cation, z = −1 | 1.091 | −0.827 | 0.535 | −0.774 | 0.610 | −1.118 | |
| radical cation, z = 0 | 1.301 | −0.909 | 0.520 | −0.809 | 0.446 | −0.190 | |
| Vanillic | z = 0 | 0.569 | 0.518 | −0.455 | −0.633 | 0.194 | −0.775 |
| z = −1 | 0.590 | 0.379 | −0.585 | −0.410 | −0.104 | −0.371 | |
| z = −2 | 0.763 | −0.176 | −0.375 | −0.513 | 0.164 | −0.597 | |
| radical, z = 0 | 0.853 | 0.155 | −0.325 | −0.664 | 0.409 | −0.872 | |
| radical, z = −1 | 0.931 | −0.078 | −0.287 | −0.622 | 0.501 | −0.858 | |
| radical cation, z = −1 | 0.704 | −0.302 | −0.398 | −0.301 | −0.112 | −0.268 | |
| radical cation, z = 0 | 0.782 | 0.335 | −0.497 | −0.324 | −0.062 | −0.446 | |
| Syringic | z = 0 | 1.481 | −0.149 | −0.456 | −0.504 | 0.0552 | −0.328 |
| z = −1 | −0.240 | 0.278 | 0.120 | −0.038 | 0.142 | −0.278 | |
| z = −2 | 0.547 | −0.040 | −0.794 | 0.516 | −.0793 | −0.042 | |
| radical, z = 0 | 1.243 | −0.201 | −0.478 | −0.386 | −0.380 | −0.303 | |
| radical, z = −1 | 1.249 | −0.071 | −0.459 | −0.498 | −0.459 | −0.071 | |
| radical cation, z = −1 | 1.513 | −0.099 | −0.421 | −0.475 | −0.534 | −0.286 | |
| radical cation z = 0 | 0.412 | 0.045 | 0.050 | 0.001 | 0.252 | −0.035 | |
| Gallic | z = 0 | 0.859 | −0.376 | −0.371 | −0.166 | −0.219 | −0.152 |
| z = −1 | 0.910 | −0.262 | −0.425 | −0.127 | −0.225 | −0.237 | |
| radical cation, z = −1 | 0.867 | −0.034 | 0.204 | −0.107 | −0.309 | −0.426 | |
| radical cation, z = 0 | 1.113 | −0.256 | −0.168 | −0.138 | −0.391 | −0.234 | |
| radical C1, z = 0 | 0.843 | −0.113 | −0.446 | 0.233 | 0.556 | 0.154 | |
| radical C6, z = 0 | 0.788 | −0.147 | −0.354 | −0.079 | −0.350 | −0.274 | |
| radical C5, z = 0 | 0.900 | −0.185 | −0.450 | 0.250 | −0.619 | −0.182 | |
| radical C1, z = 0 | 0.796 | −0.111 | −0.502 | 0.284 | −0.637 | −0.069 | |
| radical C6, z = −1 | 0.863 | −0.184 | −0.334 | −0.139 | −0.334 | −0.184 | |
| radical C5, z = −1 | 0.900 | −0.114 | −0.506 | 0.301 | −0.696 | −0.108 | |
| z = −2, C1 | 0.758 | −0.192 | −0.642 | 0.343 | −0.735 | −0.090 | |
| z = −2, C6 | 0.695 | 0.040 | −0.486 | −0.048 | −0.655 | −0.145 | |
| z = −2, C5 | 0.758 | −0.09 | −0.735 | 0.343 | −0.641 | −0.192 | |
| z = −3, C1, C5 | 0.549 | 0.006 | −1.006 | 0.487 | −0.863 | 0.072 | |
| z = −3, C1, C6 | 1.599 | −3.920 | 2.661 | 1.152 | −0.608 | −0.329 | |
| z = −3, C6, C5 | 1.598 | −0.329 | −0.609 | 1.150 | 3.664 | −3.924 | |
| (b) | |||||||
| Phenolic Acid | State of Ionization | O(C6) | O(C5) | O(C1) | H [O(C6)] | H [O(C5)] | H [O(C1)] |
| p-OH Benzoic | z = 0 | −0.223 | – | – | 0.273 | – | – |
| z = −1 | −0.269 | – | – | 0.242 | – | – | |
| z = −2 | −0.559 | – | – | – | – | – | |
| radical, z = 0 | −0.233 | – | – | – | – | – | |
| radical, z = −1 | −0.350 | – | – | – | – | – | |
| radical cation, z = −1 | −0.046 | – | – | 0.321 | – | – | |
| radical cation, z = 0 | −0.209 | – | – | 0.268 | – | – | |
| Vanillic | z = 0 | −0.239 | −0.262 | – | 0.295 | – | – |
| z = −1 | −0.296 | −0.281 | – | 0.276 | – | – | |
| z = −2 | −0.555 | −0.194 | – | – | – | – | |
| radical, z = 0 | −0.250 | −0.106 | – | – | – | – | |
| radical, z = −1 | −0.341 | −0.134 | – | – | – | – | |
| radical cation, z = −1 | −0.094 | −0.180 | – | 0.332 | – | – | |
| radical cation, z = 0 | −0.233 | −0.258 | – | 0.298 | – | – | |
| Syringic | z = 0 | −0.253 | −0.267 | −0.172 | 0.304 | – | – |
| z = −1 | −0.568 | −0.461 | −0.375 | 0.404 | – | – | |
| z = −2 | −0.579 | −0.185 | −0.185 | – | – | – | |
| radical, z = 0 | −0.253 | −0.122 | −0.121 | – | – | – | |
| radical, z = −1 | −0.329 | −0.149 | −0.149 | – | – | – | |
| radical cation, z = −1 | −0.099 | −0.242 | −0.096 | 0.347 | – | – | |
| radical cation z = 0 | −0.500 | −0.447 | −0.353 | 0.424 | – | – | |
| Gallic | z = 0 | −0.240 | −0.232 | −0.306 | 0.290 | 0.270 | 0.288 |
| z = −1 | −0.297 | −0.273 | −0.337 | 0.270 | 0.259 | 0.274 | |
| radical cation, z = −1 | −0.078 | −0.258 | −0.125 | 0.341 | 0.329 | 0.318 | |
| radical cation, z = 0 | −0.232 | −0.301 | −0.227 | 0.293 | 0.289 | 0.274 | |
| radical C1, z = 0 | −0.181 | −0.300 | −0.239 | 0.294 | 0.286 | – | |
| radical C6, z = 0 | −0.247 | −0.176 | −0.175 | – | 0.271 | 0.268 | |
| radical C5, z = 0 | −0.177 | −0.306 | −0.230 | 0.295 | – | 0.273 | |
| radical C1, z = −1 | −0.237 | −0.330 | −0.306 | 0.273 | 0.271 | – | |
| radical C6, z = −1 | −0.332 | −0.220 | −0.220 | – | 0.254 | 0.254 | |
| radical C5, z = −1 | −0.235 | −0.374 | −0.271 | 0.274 | – | 0.257 | |
| z = −2, C1 | −0.352 | −0.311 | −0.592 | 0.242 | 0.222 | – | |
| z = −2, C6 | −0.613 | −0.320 | −0.295 | – | 0.235 | 0.211 | |
| z = −2, C5 | −0.352 | −0.592 | −0.311 | 0.242 | – | 0.222 | |
| z = −3, C1, C5 | −0.382 | −0.660 | −0.613 | 0.191 | – | – | |
| z = −3, C1, C6 | −0.515 | −0.486 | −0.515 | – | −1.179 | – | |
| z = −3, C6, C5 | −0.515 | −0.515 | −0.486 | – | – | −1.179 | |
| (c) | |||||||
| Phenolic Acid | State of Ionization | C3 | C4 | C5 | C6 | C1 | C2 |
| cis-Caffeic | z = 0 | 0.809 | 0.029 | −0.410 | −0.296 | 0.027 | −1.045 |
| z = −1 | 1.331 | 0.245 | −0.386 | −0.328 | −0.009 | −1.293 | |
| z = −2 | 1.767 | 0.231 | −0.163 | −0.860 | −0.008 | −1.315 | |
| radical, z = 0 | 1.352 | 0.164 | −0.140 | −0.400 | 0.000 | −1.195 | |
| radical, z = −1 | 1.706 | −0.885 | 0.312 | −0.729 | 0.308 | −0.884 | |
| radical cation, z = −1 | 1.545 | −1.342 | 0.081 | −0.303 | −0.385 | 0.277 | |
| radical cation, z = 0 | 1.537 | −1.409 | 0.093 | −0.422 | 0.379 | 0.230 | |
| trans-Caffeic | z = 0 | 1.316 | 0.342 | −0.319 | −0.481 | −0.099 | −1.262 |
| z = −1 | 1.193 | 0.320 | −0.327 | −0.497 | −0.071 | −1.258 | |
| z = −2 | 1.549 | −0.520 | 0.393 | −1.076 | 0.247 | −1.356 | |
| radical, z = 0 | 1.272 | 0.230 | −0.141 | −0.487 | −0.257 | −1.042 | |
| radical, z = −1 | 1.314 | 0.012 | 0.047 | −0.648 | −0.070 | −1.297 | |
| radical cation, z = −1 | 1.420 | 0.260 | −0.101 | −0.382 | −0.410 | −1.053 | |
| radical cation, z = 0 | 1.272 | −1.287 | −0.102 | −0.484 | −0.320 | −0.355 | |
| cis-Ferulic | z = 0 | 1.352 | −1.094 | 0.018 | 0.088 | −0.517 | 0.061 |
| z = −1 | 1.626 | −1.456 | −0.041 | 0.123 | −0.644 | 0.138 | |
| z = −2 | 1.625 | −1.188 | −0.182 | −0.258 | −0.326 | −0.012 | |
| radical, z = 0 | 1.481 | 0.054 | −0.329 | −0.006 | 0.152 | −1.425 | |
| radical, z = −1 | 1.231 | −1.162 | −0.238 | 0.264 | −0.083 | −0.093 | |
| radical cation, z = −1 | 1.589 | −1.724 | 0.350 | −0.431 | −0.668 | 0.570 | |
| radical cation z = 0 | 1.896 | −1.503 | 0.002 | 0.159 | −0.599 | −0.015 | |
| trans-Ferulic | z = 0 | 1.710 | 0.107 | −0.285 | −0.453 | −0.401 | −0.948 |
| z = −1 | 1.488 | 0.173 | −0.706 | −0.046 | 0.018 | −1.381 | |
| z = −2 | 1.424 | −0.170 | −0.125 | −0.298 | −0.200 | −0.116 | |
| radical, z = 0 | 1.136 | −0.652 | −0.640 | −0.396 | 0.109 | −0.181 | |
| radical, z = −1 | 1.542 | 0.042 | −0.−23 | −0.297 | −0.169 | −1.250 | |
| radical cation, z = +1 | 1.377 | −0.639 | −0.519 | −0.551 | −0.014 | −0.107 | |
| radical cation z = 0 | 1.683 | 0.083 | −0.254 | −0.439 | −0.426 | −0.930 | |
| cis-Sinapic | z = 0 | 1.564 | −0.739 | −0.477 | −0.093 | −0.368 | 0.042 |
| z = −1 | 2.014 | −0.856 | −0.739 | 0.027 | −0.226 | −0.337 | |
| z = −2 | 1.411 | −1.014 | −0.219 | 0.011 | −0.289 | −0.044 | |
| radical, z = 0 | 1.454 | −0.262 | −0.592 | −0.353 | 0.152 | −0.334 | |
| radical, z = −1 | 1.740 | −0.754 | −0.883 | −0.112 | 0.162 | −0.146 | |
| radical cation, z = −1 | 1.475 | −0.495 | −0.094 | −0.707 | −0.185 | −0.083 | |
| radical cation, z = 0 | 1.662 | 0.164 | −0.490 | −0.63 | −0.537 | −0.630 | |
| trans-Sinapic | z = 0 | 1.384 | −0.670 | −0.384 | −0.636 | −0.352 | 0.230 |
| z = −1 | 1.339 | −0.809 | −0.407 | −0.645 | −0.375 | 0.229 | |
| z = −2 | 1.295 | −0.230 | −0.038 | 0.391 | −0.483 | −1.216 | |
| radical, z = 0 | 1.648 | −0.180 | −0.357 | −0.373 | −0.564 | −0.742 | |
| radical, z = −1 | 1.543 | −0.218 | 0.277 | −0.212 | −0.715 | −0.898 | |
| radical cation, z = −1 | 1.761 | −0.092 | −0.139 | −0.666 | −0.843 | −0.425 | |
| radical cation, z = 0 | 1.368 | −0.579 | −0.407 | −0.619 | −0.375 | −0.253 | |
| (d) | |||||||
| Phenolic Acid | State of Ionization | O(C6) | O(C5) | O(C1) | H [O(C6)] | H [O(C5)] | H [O(C1)] |
| cis-Caffeic | z = 0 | – | – | 0.268 | – | – | |
| z = −1 | – | – | 0.253 | – | – | ||
| z = −2 | – | – | – | – | – | ||
| radical, z = 0 | – | – | – | – | – | ||
| radical, z = −1 | – | – | – | – | – | ||
| radical cation, z = −1 | – | – | 0.315 | – | – | ||
| radical cation, z = 0 | – | – | 0.271 | – | – | ||
| trans-Caffeic | z = 0 | – | – | 0.271 | – | – | |
| z = −1 | – | – | 0.254 | – | – | ||
| z = −2 | – | – | – | – | – | ||
| radical, z = 0 | – | – | – | – | – | ||
| radical, z = −1 | – | – | – | – | – | ||
| radical cation, z = −1 | – | – | 0.310 | – | – | ||
| radical cation, z = 0 | – | – | 0.273 | – | – | ||
| cis-Ferulic | z = 0 | – | −0.162 | 0.276 | – | – | |
| z = −1 | – | −0.168 | 0.262 | – | – | ||
| z = −2 | – | −0.200 | – | – | – | ||
| radical, z = 0 | – | −0.175 | – | – | – | ||
| radical, z = −1 | – | −0.367 | – | – | – | ||
| radical cation, z = −1 | −1.724 | −0.086 | 0.315 | – | – | ||
| radical cation z = 0 | −1.503 | 0.154 | 0.280 | – | – | ||
| trans-Ferulic | z = 0 | 0.107 | – | 0.296 | – | – | |
| z = −1 | 0.173 | – | 0.263 | – | – | ||
| z = −2 | −0.170 | – | – | – | – | ||
| radical,z = 0 | −0.652 | – | – | – | – | ||
| radical, z = −1 | 0.042 | – | – | – | – | ||
| radical cation, z = −1 | −0.639 | – | 0.335 | – | – | ||
| radical cation z = 0 | 0.083 | – | 0.298 | – | – | ||
| cis-Sinapic | z = 0 | −0.739 | −0.163 | 0.308 | – | – | |
| z = −1 | −0.856 | −0.170 | 0.296 | – | – | ||
| z = −2 | −1.014 | −0.195 | – | – | – | ||
| radical, z = 0 | −0.262 | −0.199 | – | – | – | ||
| radical, z = −1 | −0.754 | −0.180 | – | – | – | ||
| radical cation, z = −1 | −0.495 | −0.123 | 0.342 | – | – | ||
| radical cation, z = 0 | 0.164 | −0.152 | 0.311 | – | – | ||
| trans-Sinapic | z = 0 | −0.670 | −0.174 | 0.305 | – | – | |
| z = −1 | −0.809 | −0.187 | 0.291 | – | – | ||
| z = −2 | −0.230 | −0.177 | – | – | – | ||
| radical, z = 0 | −0.180 | −0.270 | – | – | – | ||
| radical, z = −1 | −0.218 | −0.145 | – | – | – | ||
| radical cation, z = −1 | −0.092 | −0.124 | 0.344 | – | – | ||
| radical cation, z = 0 | −0.579 | −0.171 | 0.308 | – | – | ||


- (1)
- The influence of substituents on Mulliken charge on carbon atoms in C2/C4 positions.
- (2)
- The stabilization effects due to delocalization of the unpaired electron in phenoxyl radicals.
- (3)
- The steric effects of the substituents.
2.5. Structural Descriptors and Stabilizzation of the Phenoxyl Radical
| Phenolic Acid | State of Ionization | D (°) | Length of the Bond (Å) | ||||
|---|---|---|---|---|---|---|---|
| (4,3,7,8) | (2,3,7,8) | O–H | C6–O | C1–O | C5–O | ||
| cis-p-Coumaric | z = 0 | 159.35 | 24.14 | 0.96 | 1.36 | – | – |
| z = −1 | −167.98 | 13.06 | 0.96 | 1.39 | – | – | |
| z = −2 | 180.00 | 0.01 | – | 1.28 | – | – | |
| radical, z = 0 | −161.99 | 20.29 | – | 1.24 | – | – | |
| radical, z = −1 | −96.46 | 94.99 | – | 1.26 | – | – | |
| radical cation, z = − 1 | −11.80 | 169.21 | 0.97 | 1.32 | – | – | |
| radical cation, z = 0 | −8.21 | 172.39 | 0.96 | 1.36 | – | – | |
| trans-p-Coumaric | z = 0 | 179.99 | −0.01 | 0.96 | 1.36 | – | – |
| z = −1 | 176.18 | −3.89 | 0.96 | 1.38 | – | – | |
| z = −2 | −180.01 | −0.01 | – | 1.28 | – | – | |
| radical, z = 0 | −180.02 | −0.01 | – | 1.24 | – | – | |
| radical, z = −1 | 178.09 | −1.60 | – | 1.25 | – | – | |
| radical cation, z = − 1 | −179.99 | 0.01 | 0.97 | 1.32 | – | – | |
| radical cation, z = 0 | 0.00 | −180.00 | 0.96 | 1.36 | – | – | |
| cis-Ferulic | z = 0 | −38.48 | 144.81 | 0.96 | 1.36 | 1.37 | – |
| z = −1 | −12.28 | 168.97 | 0.97 | 1.38 | 1.39 | – | |
| z = −2 | 0.71 | −179.02 | – | 1.28 | 1.40 | – | |
| radical, z = 0 | −153.78 | 28.62 | – | 1.24 | 1.33 | – | |
| radical cation, z = 0 | −7.05 | 174.42 | – | 1.26 | 1.37 | – | |
| radical cation, z = − 1 | −13.65 | 167.82 | 0.97 | 1.32 | 1.32 | – | |
| trans-Ferulic | z = 0 | −180.03 | −0.02 | 0.97 | 1.36 | – | 1.37 |
| z = −1 | 179.66 | −0.06 | 0.97 | 1.37 | – | 1.38 | |
| z = −2 | 179.69 | 0.08 | – | 1.28 | – | 1.40 | |
| radical, z = 0 | −0.01 | 179.99 | – | 1.23 | – | 1.34 | |
| radical cation, z = 0 | 180.00 | −0.00 | 0.97 | 1.35 | – | 1.37 | |
| cis-Sinapic | z = 0 | −33.83 | 148.72 | 0.97 | 1.36 | 1.37 | 1.37 |
| z = −1 | −11.67 | 169.50 | 0.97 | 1.38 | 1.39 | 1.38 | |
| z = −2 | 2.01 | −177.59 | – | 1.28 | 1.40 | 1.40 | |
| radical, z = 0 | −24.99 | 156.92 | – | 1.24 | 1.34 | 1.34 | |
| radical, z = −1 | −9.20 | 172,50 | – | 1.25 | 1.37 | 1.35 | |
| radical cation, z = −1 | −13.75 | 167.28 | 0.98 | 1.31 | 1.32 | 1.34 | |
| radical cation, z = 0 | −140.16 | 42.29 | 0.97 | 1.36 | 1.36 | 1.37 | |
| trans-Sinapic | z = 0 | 0.01 | 180.01 | 0.97 | 1.35 | 1.36 | 1.37 |
| z = −1 | −7.10 | 172.93 | 0.97 | 1.37 | 1.37 | 1.38 | |
| z = −2 | 178.44 | −0.53 | – | 1.28 | 1.40 | 1.40 | |
| radical, z = −1 | 176.02 | −2.91 | – | 1.25 | 1.36 | 1.37 | |
| radical cation, z = −1 | −180.00 | −0.01 | 0.98 | 1.31 | 1.32 | 1.34 | |
| radical cation, z = 0 | −4.02 | 175.93 | 0.97 | 1.35 | 1.36 | 1.37 | |
2.6. Bond Lengths and Stabilization of the Phenoxyl Radical
2.7. Energy Descriptors and Antioxidant Capacity
- (1)
- The mechanism of direct hydrogen atom transfer (HAT): bond dissociation enthalpy (BDE) for O–H of the phenolic hydroxyl.
- (2)
- The mechanism of single electron transfer followed by proton transfer (SET–PT): ionization potential (IP) and the proton dissociation enthalpy (PDE).
- (3)
- The mechanism of sequential proton loss and electron transfer (SPLET): proton affinity (PA) and electron transfer enthalpy (ETE).
| (a) | ||||||
| Phenolic Acid | BDE, kcal/mol | IPe, eV | IPo, eV | EHOMO, eV | ELUMO, eV | χ, eV |
| p-OH Benzoic | ||||||
| z = 0 | 86.55 | 8.62 | 6.86 | −6.866 | −1.576 | 4.221 |
| z = −1 | 72.95 | 3.42 | 1.63 | −1.627 | 1.884 | −0.129 |
| z = −2 | – | −1.11 | −2.76 | 3.757 | 5.421 | −4.089 |
| Vanillic | ||||||
| z = 0 | 85.76 | 8.04 | 6.41 | −6.413 | −1.527 | 3.970 |
| z = −1 | 74.83 | 3.43 | 1.68 | −1.679 | 1.873 | −0.097 |
| z = −2 | – | −1.05 | −2.55 | 2.554 | 4.587 | −3.570 |
| Siringic | ||||||
| z = 0 | 81.65 | 7.66 | 6.12 | −6.121 | −1.485 | 3.803 |
| z = −1 | 73.21 | 3.40 | 1.69 | −1.691 | 1.906 | −0.107 |
| z = −2 | – | −1.01 | −2.36 | 2.363 | 4.478 | −3.421 |
| Gallic | ||||||
| z = 0, C1 | 82.35 | 8.06 | 6.41 | −6.405 | −1.645 | 4.025 |
| z = 0, C6 | 82.86 | 8.06 | 6.41 | −6.405 | −1.645 | 4.025 |
| z = 0, C5 | 77.97 | 8.06 | 6.41 | −6.405 | −1.645 | 4.025 |
| z = −1, C1 | 75.70 | 3.57 | 1.83 | −1.827 | 1.933 | −0.053 |
| z = −1, C6 | 73.26 | 3.57 | 1.83 | −1.827 | 1.933 | −0.053 |
| z = −1, C5 | 69.97 | 3.57 | 1.83 | −1.827 | 1.933 | −0.053 |
| z = −2, C1 | – | −0.68 | −2.56 | 2.580 | 4.923 | −3.571 |
| z = −2, C6 | – | −0.74 | −2.65 | 2.651 | 5.064 | −3.858 |
| z = −2, C5 | – | −0.93 | −2.58 | 2.580 | 4.293 | 3.751 |
| cis-Caffeic | ||||||
| z = 0 | 87.06 | 8.12 | 6.41 | −6.413 | −2.119 | 4.266 |
| z = −1 | 77.73 | 3.44 | 1.74 | −1.736 | 1.831 | −0.047 |
| z = −2 | – | −0.44 | −2.18 | 2.175 | 4.775 | −3.475 |
| trans-Caffeic | ||||||
| z = 0 | 82.54 | 8.00 | 6.43 | −6.435 | −2.150 | 4.292 |
| z = −1 | 67.80 | 3.33 | 1.58 | −1.581 | 1.429 | 0.076 |
| z = −2 | – | −0.52 | −1.97 | 1.968 | 4.873 | −3.420 |
| cis-Ferulic | ||||||
| z = 0 | 77.46 | 7.53 | 6.65 | −6.646 | −2.105 | 4.376 |
| z = −1 | 76.03 | 3.44 | 1.79 | −1.787 | 1.673 | 0.051 |
| z = −2 | – | −0.54 | −2.02 | 2.022 | 4.210 | −3.117 |
| trans-Ferulic | ||||||
| z = 0 | 82.14 | 7.66 | 6.14 | −6.144 | −2.100 | 4.122 |
| z = −1 | 82.64 | 3.85 | 1.54 | −1.537 | 1.615 | −0.038 |
| z = −2 | – | −0.44 | −1.82 | 1.822 | 4.172 | −2.997 |
| cis-Sinapic | ||||||
| z = 0 | 78.92 | 7.27 | 6.35 | −6.347 | −2.089 | 4.218 |
| z = −1 | 70.20 | 3.61 | 1.89 | −1.890 | −1.816 | 0.037 |
| z = −2 | – | −0.80 | −1.88 | 1.885 | 4.144 | −3.014 |
| trans-Sinapic | ||||||
| z = 0 | 78.57 | 7.38 | 5.94 | −5.940 | −2.082 | 4.011 |
| z = −1 | 69.25 | 3.58 | 1.64 | −1.635 | 1.541 | 0.047 |
| z = −2 | – | −0.38 | −1.68 | – | 4.085 | −2.882 |
| (b) | ||||||
| Phenolic Acid | η, eV | ω × 103, eV | EHOMO–ELUMO, eV | ETE, kJ/mol | PA, kJ/mol | PDE, kJ/mol |
| p-OH Benzoic | ||||||
| z = 0 | 2.645 | 842 | 5.290 | – | – | 838.5 |
| z = −1 | 1.755 | 1.179 | 3.511 | −106.87 | 1720.5 | 1283.3 |
| z = −2 | 1.131 | 1569 | 2.664 | – | – | – |
| Vanillic | ||||||
| z = 0 | 2.443 | 806 | 4.887 | – | – | 891.5 |
| z = −1 | 1.776 | 0.658 | 3.552 | −101.69 | 1723.1 | 1290.9 |
| z = −2 | 1.017 | 1567 | 2.033 | – | – | – |
| Siringic | ||||||
| z = 0 | 2.318 | 780 | 4.636 | – | – | 910.0 |
| z = −1 | 1.798 | 0.800 | 3.597 | −97.85 | 1260.4 | 834.9 |
| z = −2 | 1.058 | 1383 | 2.116 | – | – | – |
| Gallic | ||||||
| z = 0, C1 | 2.380 | 851 | 4.760 | – | – | 875.3 |
| z = 0, C6 | 2.380 | 851 | 4.760 | – | – | 877.4 |
| z = 0, C5 | 2.380 | 851 | 4.760 | – | – | 856.9 |
| z = −1, C1 | 1.880 | 0.188 | 3.760 | −65.99 | 1691.1 | 1281.0 |
| z = −1, C6 | 1.880 | 0.188 | 3.760 | −71.05 | 1686.0 | 1270.8 |
| z = −1, C5 | 1.880 | 0.188 | 3.760 | −89.97 | 1691.1 | 1257.0 |
| z = −2, C1 | 1.172 | 1501 | 2.343 | – | – | – |
| z = −2, C6 | 1.207 | 1541 | 2.414 | – | – | – |
| z = −2, C5 | 1.171 | 1501 | 2.343 | – | – | – |
| cis-Caffeic | ||||||
| z = 0 | 2.147 | 1060 | 4.294 | – | – | – |
| z = −1 | 1.783 | 0.156 | 3.567 | −42.30 | 1675.9 | 889.4 |
| z = −2 | 1.300 | 1161 | 2.600 | – | – | 1301.3 |
| trans-Caffeic | ||||||
| z = 0 | 2.143 | 10.75 | 4.285 | – | – | – |
| z = −1 | 1.505 | 0.481 | 3.010 | −49.82 | 1641.8 | 881.7 |
| z = −2 | 1.452 | 1007 | 2.905 | – | – | 1270.6 |
| cis-Ferulic | ||||||
| z = 0 | 2.270 | 1054 | 4.541 | – | – | – |
| z = −1 | 1.730 | 0.232 | 3.460 | −42.27 | 1656.2 | 906.1 |
| z = −2 | 1.094 | 1109 | 2.188 | – | – | 1141.3 |
| trans-Ferulic | ||||||
| z = 0 | 2.022 | 1050 | 4.044 | – | – | – |
| z = −1 | 1.576 | 0.119 | 3.152 | −42.45 | 1696.6 | 913.4 |
| z = −2 | 1.175 | 955 | 2.350 | – | – | 1283.0 |
| cis-Sinapic | ||||||
| z = 0 | 2.129 | 1044 | 4.258 | – | – | – |
| z = −1 | 1.853 | 0.091 | 3.706 | −77.64 | 1679.7 | 936.9 |
| z = −2 | 1.130 | 1006 | 2.259 | – | – | 1253.5 |
| trans-Sinapic | ||||||
| z = 0 | 1.929 | 1043 | 3.858 | – | – | 925.2 |
| z = −1 | 1.588 | 0.071 | 3.176 | −37.04 | 1635.2 | 1253.1 |
| z = −2 | 1.203 | 863 | 2.405 | – | – | – |





3. Experimental Section
3.1. Chemicals
3.2. Analysis of Antioxidant Capacity of Phenolic Acids
3.2.1. Analysis of Antioxidant Capacity against ABTS Radical Cation
3.2.2. Determination pH-Dependence of AOC for Phenolic Acids against ABTS Radical Cation
3.2.3. Determination of Antioxidant Capacity by ORAC-FL Assay
3.3. Computation of Molecular Geometry and Electron Descriptors of Studied Antioxidants by Semi-Empirical Quantum-Mechanical Methods
4. Conclusions
Acknowledgments
Author Contributions
Conflicts of Interest
References
- Arts, I.C.W.; Hollman, P.C.H. Polyphenols and desiase risk in epidemiologic studies. Am. J. Clin. Nutr. 2005, 81, S317–S325. [Google Scholar]
- Skulachev, V.P. A biochemical approach to the problem of aging: “Megaproject” on membrane-penetrating ions. The first results and prospects. Biochemisty 2007, 72, 1385–1396. [Google Scholar]
- Knasmuller, S.; Nersesyan, A.; Mišík, M.; Gerner, C.; Mikulits, W.; Ehrlich, V.; Hoelzl, C.; Szakmary, A.; Wagner, K.H. Use of conventional and -omics based methods for health claims of dietary antioxidants: A critical overview. Br. J. Nutr. 2008, 99, ES3–ES52. [Google Scholar]
- Simin, N.; Orcic, D.; Cetojevic-Simin, D.; Mimica-Dukic, N.; Anackov, G.; Beara, I.; Mitic-Culafic, D.; Bozin, B. Phenolic profile, antioxidant, anti-inflammatory and cytotoxicactivities of small yellow onion (Allium flavum L. subsp. flavum, Alliaceae). LWT-Food Sci. Technol. 2013, 54, 139–146. [Google Scholar]
- Stevanato, R.; Bertelle, M.; Fabris, S. Photoprotective characteristics of natural antioxidant polyphenols. Regul. Toxicol. Pharmacol. 2014, 69, 71–77. [Google Scholar] [CrossRef]
- Roy, A.J.; Prince, P.S.M. Preventive effects of p-coumaric acid on lysosomal dysfunction and myocardial infarct size in experimentally induced myocardial infarction. Eur. J. Pharmacol. 2013, 699, 33–39. [Google Scholar]
- Frankel, E.N.; Finley, J.W. How to standardize the multiplicity of methods to evaluate natural antioxidants. J. Agric. Food Chem. 2008, 56, 4901–4908. [Google Scholar] [CrossRef]
- Urbaniak, A.; Molski, M.; Szeląg, M. Quantum-chemical calculations of the antioxidant properties of trans-p-coumaric acid and trans-sinapinic acid. Comput. Methods Sci. Technol. 2012, 18, 117–128. [Google Scholar] [CrossRef]
- Urbaniak, A.; Szeląg, M.; Molski, M. Theoretical investigation of stereochemistry and solvent influence on antioxidant activity of ferulic acid. Comp. Theoret. Chem. 2013, 1012, 33–40. [Google Scholar]
- Franck, T.; Mouithys-Mickalad, A.; Robert, T.; Ghitti, G.; Deby-Dupont, G.; Neven, P.; Serteyn, D. Differentiation between stoichiometric and anticatalytic antioxidant properties of benzoic acid analogues: A structure/redox potential relationship study. Chem. Biol. Int. 2013, 206, 194–203. [Google Scholar] [CrossRef]
- Leopoldini, M.; Russo, N.; Toscano, M. The molecular basis of working mechanism of natural polyphenolic antioxidants. Food Chem. 2011, 125, 288–306. [Google Scholar] [CrossRef]
- Foti, M.C.; Daquino, C.; Geraci, C. Electron-transfer reaction of cinnamic acids and their methyl esters with the DPPH radical in alcoholic solutions. J. Org. Chem. 2004, 69, 2309–2314. [Google Scholar] [CrossRef]
- Litwinienko, G.; Ingold, K.U. Solvent effects on the rates and mechanisms of reaction of phenols with free radicals. Acc. Chem. Res. 2007, 49, 222–230. [Google Scholar] [CrossRef]
- Klein, E.; Rimarcik, J.; Lukes, V. DFT/B3LYP Study of the O–H bond dissociation enthalpies and proton affinities of para- and meta-substituted phenols in water and benzene. Acta Chim. Slovaca 2009, 2, 37–51. [Google Scholar]
- Wright, J.S.; Johnson, E.R.; DiLabio, G.A. Predicting the activity of phenolic antioxidants: Theoretical method, analysis of substituent effects, and application to major families of antioxidants. J. Am. Chem. Soc. 2001, 123, 1173–1183. [Google Scholar] [CrossRef]
- Vafiadis, A.P; Bakalbassis, E.G. A DFT study on the deprotonation antioxidant mechanistic step of ortho-substituted phenolic cation radicals. Chem. Phys. 2005, 316, 195–204. [Google Scholar]
- Klein, E.; Lukes, V. DFT/B3LYP study of the substituent effect on the reaction enthalpies of the individual steps of sequential proton loss electron transfer mechanism of phenols antioxidant action: Correlation with phenolic C–O bond length. J. Mol. Struct. 2007, 805, 153–160. [Google Scholar] [CrossRef]
- Klein, E.; Lukes, V. DFT/B3LYP study of the substituent effect on the reaction enthalpies of the individual steps of single electron transfer-proton transfer and sequential proton loss electron transfer mechanisms of phenols antioxidant action. J. Phys. Chem. 2006, 110, 12312–12320. [Google Scholar] [CrossRef]
- Barclay, L.R.C.; Vinqvist, M.R. Phenols as Antioxidants. In The Chemistry of Phenols; Rappoport, Z., Ed.; John Wiley & Sons, Ltd.: Chichester, UK, 2003; pp. 839–908. [Google Scholar]
- Justino, G.C.; Vieira, A.J.S.C. Antioxidant mechanisms of quercetin and myricetin in the gas phase and in solution—A comparison and validation of semi-empirical methods. J. Mol. Model. 2010, 16, 863–876. [Google Scholar] [CrossRef]
- Russo, N.; Toscano, M.; Ucella, N. Semiempirical molecular modeling into quercetin reactive site: Structural, conformational and electronic features. J. Agric. Food Chem. 2000, 48, 3232–3237. [Google Scholar] [CrossRef]
- Lemanska, K.; Szymusiak, H.; Tyrakowska, B.; Zieliński, R.; Soffers Ans, E.M.F.; Rietjens Ivonne, M.C.M. The influence of pH on antioxidant properties and the mechanism of antioxidant action of hydroxyflavones. Free Radic. Biol. Med. 2001, 31, 869–881. [Google Scholar] [CrossRef]
- Huang, D.; Ou, B.; Prior, R.L. The chemistry behind antioxidant capacity assay. J. Agric. Food Chem. 2005, 53, 1841–1856. [Google Scholar] [CrossRef]
- Moon, J.K.; Shibamoto, T. Antioxidant assays for plant and food components. J. Agric. Food. Chem. 2009, 57, 1655–1666. [Google Scholar] [CrossRef]
- Bors, W.; Michel, C.; Saran, M. Inhibition of the bleaching of the carotenoid crocin. A rapid test for quantifying antioxidant activity. Biochim. Biophys. Acta 1984, 796, 312–319. [Google Scholar]
- Apak, R.; Güçlü, K.; Demirata, B.; Özyürek, M.; Çelik, S.E.; Bekta-oğlu, B.; Berker, K.I.; Özyurt, D. Comparative evaluation of various total antioxidant capacity assays applied to phenolic compounds with the CUPRAC assay. Molecules 2007, 12, 1496–1547. [Google Scholar]
- Benzie, I.F.F.; Strain, J.J. The ferric reducing ability of plasma (FRAP) as a measure of “antioxidant power”: The FRAP assay. Anal. Biochem. 1996, 239, 70–76. [Google Scholar] [CrossRef]
- Cao, G.; Alessio, H.M.; Cutler, R.G. Oxygen-radical absorbance capacity assay for antioxidants. Free Radic. Biol. Med. 1993, 14, 303–311. [Google Scholar] [CrossRef]
- Miller, N.J.; Rice-Evans, C.A.; Davies, M.J.; Gopinathan, V.; Milner, A. A novel method for measuring antioxidant capacity and its application to monitoring the antioxidant status in premature neonates. Clin. Sci. 1993, 84, 407–412. [Google Scholar]
- Wayner, D.D.M.; Burton, G.W.; Ingold, K.U.; Locke, S. Quantitative measurement of the total, peroxyl radical-trapping antioxidant capability of human blood plasma by controlled peroxidation: The important contribution made by plasma proteins. FEBS Lett. 1985, 187, 33–37. [Google Scholar] [CrossRef]
- Re, R.; Pelegrini, R.; Proteggente, A.; Yang, M.; Rice-Evans, C. Antioxidant activity applying an improved ABTS radical cation decolorization assay. Free Radic. Biol. Med. 1999, 26, 1231–1237. [Google Scholar] [CrossRef]
- Brand-Williams, W.; Cuvelier, M.E.; Berset, C. Use of a free radical method to evaluate antioxidant activity. LWT-Food Sci. Technol. 1995, 28, 25–30. [Google Scholar]
- Blois, M.S. Antioxidant determinations by the use of a stable free radical. Nat. Rev. Drug Discov. 1958, 181, 1199–1200. [Google Scholar]
- Smirnoff, N.; Cumbes, Q.J. Hydroxyl radical scavenging activity of compatible solutes. Phytochemistry 1989, 28, 1057–1060. [Google Scholar] [CrossRef]
- Beers, J.R.F.; Sizer, I.W. Colorimetric method for estimation of catalase. J. Biol. Chem. 1952, 195, 133–140. [Google Scholar]
- Kooy, N.W.; Royall, J.A.; Ischiropoulos, H.; Beckman, J.S. Peroxynitrite-mediated oxidation of dihydrorhodamine 123. Free Radic. Biol. Med. 1994, 16, 149–156. [Google Scholar] [CrossRef]
- Wilkinson, F.; Helman, W.P.; Ross, A.B. Rate constants for the decay and reactions of the lowest electronically excited singlet state of molecular oxygen in solution. An expanded and revised compilation. J. Phys. Chem. Ref. Data 1995, 24, 663–1021. [Google Scholar]
- Milde, J.; Elstner, E.F.; Graßmann, J. Synergistic effects of phenolics and carotenoids on human low-density lipoprotein oxidation. Mol. Nutr. Food Res. 2007, 51, 956–961. [Google Scholar] [CrossRef]
- Natella, F.; Nardini, M.; di Felice, M.; Scaccini, C. Benzoic and cinnamic acids derivatives as antioxidants: Structure–activity relation. J. Agric. Food Chem. 1999, 47, 1453–1459. [Google Scholar] [CrossRef]
- Rao, M.S.; Muralikrishna, G. Evaluation of the antioxidant properties of free and bound phenolic acids from native and malted millet (Ragi, Eleusine. coracano Indaf-15). J. Agric. Food Chem. 2002, 50, 889–892. [Google Scholar]
- Gomez-Ruiz, J.A.; Leake, D.S.; Amines, J.M. In vitro antioxidant capacity of coffee compounds and their metabolites. J. Agric. Food Chem. 2007, 55, 6962–6969. [Google Scholar] [CrossRef]
- Davalos, A.; Gomez-Cordoves, C.; Bartolome, B. Extending applicability of the oxygen radical absorbance capacity (ORAC–Fluorescein) assay. J. Agric. Food Chem. 2004, 52, 48–54. [Google Scholar] [CrossRef]
- Nenadis, N.; Lazaridou, O.; Tsimidou, M.Z. Use of reference compounds in antioxidant activity assays. J. Agric. Food Chem. 2007, 55, 5452–5460. [Google Scholar] [CrossRef]
- Alamed, J.; Chaiyasit, W.; McClements, D.J.; Decker, E.A. Relationships between free radical scavenging and antioxidant activity of foods. J. Agric. Food Chem. 2009, 57, 2969–2976. [Google Scholar] [CrossRef]
- Gismondi, A.; Canuti, L.; Grispo, M.; Canini, A. Biochemical composition and antioxidant properties of Lavandula angustifolia Miller essential oil are shielded by propolis against UV radiations. Photochem. Photobiol. 2014, 90, 702–708. [Google Scholar]
- Yen, C.T.; Yen, G.C. Effects of phenolic acids on human phenolsulphotransferases in relation to their antioxidant capacity. J. Agric. Food Chem. 2003, 51, 1474–1479. [Google Scholar]
- Tyrakowska, B.; Soffers, A.E.M.F.; Szymusiak, H.; Boeren, S.; Boersma, M.G.; Lemańska, K.; Vervoort, J.; Rietjens, I.M.C.M. TEAC antioxidant activity of 4-hydroxybenzoates. Free Radic. Biol. Med. 1999, 27, 1427–1436. [Google Scholar] [CrossRef]
- Amorati, R.; Pedulli, G.F.; Cabrini, L.; Zambonin, L.; Landi, L. Solvent and pH effects on the antioxidant activity of caffeic and other phenolic acids. J. Agric. Food Chem. 2006, 54, 2932–2937. [Google Scholar] [CrossRef]
- Pannala, S.A.; Chan, T.S.; O’Brien, P.J.; Catherine A. Rice-Evans, C.A. Flavanoid B-ring chemistry and antioxidant activity: Fast reaction kinetics. Biochem. Biophys. Res. Commun. 2001, 282, 1161–1168. [Google Scholar] [CrossRef]
- Munoz-Munoz, J.L.; Garcia-Molina, F.; Varon, R.; Tudela, J.; García-Cánovas, F.; Rodriguez-Lopez, J.N. Quantification of the antioxidant capacity of different molecules and their kinetic antioxidant efficiencies. J. Agric. Food Chem. 2010, 58, 2062–2070. [Google Scholar] [CrossRef]
- Gismondi, A.; Serio, M.; Canuti, L.; Canini, A. Biochemical, antioxidant and antineoplastic properties of Italian saffron (Crocus sativus L.). Am. J. Plant Sci. 2012, 3, 1573–1580. [Google Scholar]
- Pellegrini, N.; Visioli, F.; Buratti, S.; Brighenti, F. Direct analysis of total antioxidant activity of olive oil and studies on the influence of heating. J. Agric. Food Chem. 2001, 49, 2532–2538. [Google Scholar] [CrossRef]
- Nenadis, N.; Wang, L.F.; Tsimidou, M.; Zhang, H.Y. Estimation of scavenging activity of phenolic compounds using the ABTS+ assay. J. Agric. Food Chem. 2004, 52, 4669–4674. [Google Scholar] [CrossRef]
- Martynova, K.V.; Andreeva, L.A.; Klimova, P.A.; Kirillova, U.G.; Shevchenko, V.P.; Nagaev, I.U.; Shrum, S.I.; Shvets, V.I.; Myasoedov, N.F. Structure-functional study of glycine and proline-containing peptides (gliprolinov) as potential neuroprotectors. Russ. J. Bioorg. Chem. 2009, 35, 165–171. [Google Scholar]
- Davies, M.J.; Forni, L.G.; Wilson, R.L. Vitamin E analogue Trolox C. Biochem. J. 1988, 255, 513–522. [Google Scholar]
- Steenken, S. Transient phenoxyl radicals: Formation and properties in aqueous Solutions. In The Chemistry of Phenols; Rappoport, Z., Ed.; John Wiley & Sons, Ltd.: Chichester, UK, 2003; pp. 1107–1151. [Google Scholar]
- Zhan, C.G.; Nichos, J.A.; Dixon, D.A. Ionization potential, electron affinity, electronegativity, hardness, and electron excitation energy: Molecular properties from density functional theory orbital energies. J. Phys. Chem. 2003, 107, 4184–4195. [Google Scholar] [CrossRef]
- Correria, C.F.; Guedes, R.C.; Borges dos Santos, R.M.; Costa Cabral, B.J.; Martinho Simões, J.A. O–H bond dissociation enthalpies in hydroxyphenols; a time resolved photoacoustic calorimetry and quantum chemistry study. Phys. Chem. 2004, 6, 2109–2118. [Google Scholar]
- Belaya, N.I.; Ovcharova, O.Y.; Nikolaevskii, A.N.; Filippenko, T.A.; Zaets, V.A. Effect of the structure of phenols on their activity in the reaction with ethylbenzene radicals. Theoret. Exp. Chem. 2004, 40, 234–240. [Google Scholar] [CrossRef]
- Wright, J.S.; Carpenter, D.J.; McKay, D.J.; Ingold, K.U. Theoretical calculation of substituent effects on the O–H bond strength of phenolic antioxidants related to vitamin E. J. Am. Chem. Soc. 1997, 119, 4245–4252. [Google Scholar] [CrossRef]
- Fazari, A.E.; Ju, Y.H. Nonaqueous solution studies on the protonation equlibria of some phenolic acids. J. Sol. Chem. 2008, 37, 1305–1319. [Google Scholar] [CrossRef]
- Tompson, M.J.; Zeegers, P.J. A theoretical study of the two-phase nitration of phenol. Tetrahedron 1989, 45, 191–202. [Google Scholar] [CrossRef]
- Klein, E. Study of gas-phase O–H bond dissociation enthalpies and ionization potentials of substituted phenols—Applicability of ab initio and DFT/B3LYP methods. Chem. Phys. 2006, 330, 515–525. [Google Scholar] [CrossRef]
- Ou, B.; Hampsch-Woodill, M.; Prior, R.L. Development and validation of an improved oxygen radical absorbance capacity assay using fluorescein as the fluorescent probe. J. Agric. Food Chem. 2001, 49, 4619–4626. [Google Scholar] [CrossRef]
- Moore, J.; Cheng, Z.; Su, L.; Yu, L. Effects of solid-state enzymatic treatments on the antioxidant properties of wheat bran. J. Agric. Food Chem. 2006, 54, 9032–9045. [Google Scholar] [CrossRef]
- Prior, R.L.; Hoang, H.; Gu, L.; Wu, X.; Bacchiocca, M.; Howard, L.; Hampsch-Woodill, M.; Huang, D.; Ou, B.; Jacob, R. Assays for hydrophilic and lipophilic antioxidant capacity (oxygen radical absorbance (ORACFL)) of plasma and other biological and food samples. J. Agric Food Chem. 2003, 51, 3273–3279. [Google Scholar] [CrossRef]
- Lide, D.A. CRC Handbook Chemistry and Physics; CRC Press Inc.: Boca Raton, FL, USA, 2004; p. 2712. [Google Scholar]
- Tyunina, E.Yu.; Badelin, V.G. Molecular descriptors of amino acids for the evaluation of the physicochemical parameters and biological activity of peptides. Russ. J. Bioorg. Chem. 2009, 35, 453–460. [Google Scholar] [CrossRef]
© 2014 by the authors; licensee MDPI, Basel, Switzerland. This article is an open access article distributed under the terms and conditions of the Creative Commons Attribution license (http://creativecommons.org/licenses/by/3.0/).
Share and Cite
Koroleva, O.; Torkova, A.; Nikolaev, I.; Khrameeva, E.; Fedorova, T.; Tsentalovich, M.; Amarowicz, R. Evaluation of the Antiradical Properties of Phenolic Acids. Int. J. Mol. Sci. 2014, 15, 16351-16380. https://doi.org/10.3390/ijms150916351
Koroleva O, Torkova A, Nikolaev I, Khrameeva E, Fedorova T, Tsentalovich M, Amarowicz R. Evaluation of the Antiradical Properties of Phenolic Acids. International Journal of Molecular Sciences. 2014; 15(9):16351-16380. https://doi.org/10.3390/ijms150916351
Chicago/Turabian StyleKoroleva, Olga, Anna Torkova, Ilya Nikolaev, Ekaterina Khrameeva, Tatyana Fedorova, Mikhail Tsentalovich, and Ryszard Amarowicz. 2014. "Evaluation of the Antiradical Properties of Phenolic Acids" International Journal of Molecular Sciences 15, no. 9: 16351-16380. https://doi.org/10.3390/ijms150916351
APA StyleKoroleva, O., Torkova, A., Nikolaev, I., Khrameeva, E., Fedorova, T., Tsentalovich, M., & Amarowicz, R. (2014). Evaluation of the Antiradical Properties of Phenolic Acids. International Journal of Molecular Sciences, 15(9), 16351-16380. https://doi.org/10.3390/ijms150916351

