Design, Synthesis and Bioactivity of N-Glycosyl-N'-(5-substituted phenyl-2-furoyl) Hydrazide Derivatives
Abstract
:1. Introduction
2. Results and Discussion
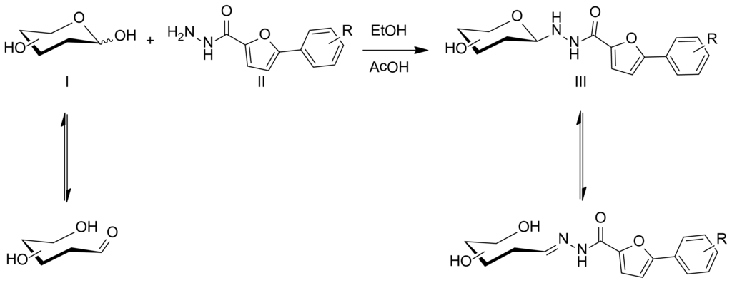
2.1. Synthesis and Structure Elucidation
2.2. Bioassay
2.2.1. Fungicidal Activity
2.2.2. Antitumor Activity
3. Experimental Section
3.1. General Information
3.2. Synthetic Procedures
3.2.1. General Synthetic Procedure for the Key Intermediates
3.2.2. General Synthetic Procedure for the Title Compounds III
3.3. Bioassay
3.3.1. Fungicidal Activity
3.3.2. Antitumor Activity
4. Conclusions
Acknowledgments
Conflicts of Interest
- Author ContributionsConceived and designed the experiments: Zining Cui, Jiazhen Jiang and Yoshihiro Nishida. Performed the experiments: Zining Cui, Zining Cui and Jiazhen Jiang. Analyzed the data: Zining Cui, Jiazhen Jiang and Xinling Yang. Wrote the paper: Zining Cui and Jiazhen Jiang.
References
- Meutermans, W.; Le, G.T.; Becker, B. Carbohydrates as scaffolds in drug discovery. Chem. Med. Chem 2006, 1, 1164–1194. [Google Scholar]
- Takeda, Y. Determination of sugar hydrazide and hydrazone structures in solution. Carbohydr. Res 1979, 77, 9–23. [Google Scholar]
- Bendiak, B. Preparation, conformation, and mild hydrolysis of 1-glycosyl-2-acetylhydrazines of the hexoses, pentoses, 2-acetamido-2-deoxyhexoses, and fucose. Carbohydr. Res 1997, 304, 85–90. [Google Scholar]
- Peri, F.; Dumy, P.; Mutter, M. Chemo- and stereo-selective glycosylation of hydroxylamino derivatives: A versatile approach to glycoconjugates. Tetrahedron 1998, 54, 12269–12278. [Google Scholar]
- Gudmundsdottir, A.V.; Paul, C.E.; Nitz, M. Stability studies of hydrazide and hydroxylamine-based glycoconjugates in aqueous solution. Carbohydr. Res 2009, 344, 278–284. [Google Scholar]
- Mahal, L.K.; Yarema, K.J.; Bertozzi, C.R. Engineering chemical reactivity on cell surfaces through oligosaccharide biosynthesis. Science 1997, 276, 1125–1128. [Google Scholar]
- Leteux, C.; Childs, R.A.; Chai, W.; Stoll, M.S.; Kogelberg, H.; Feizi, T. Biotinyl-l-3-(2-naphthyl)-alanine hydrazide derivatives of N-glycans: Versatile soliD-phase probes for carbohydrate-recognition studies. Glycobiology 1998, 8, 227–236. [Google Scholar]
- Lee, J.H.; Baker, T.J.; Mahal, L.K.; Zabner, J.; Bertozzi, C.R.; Wiemer, D.F.; Welsh, M.J. Engineering novel cell surface receptors for virus-mediated gene transfer. J. Biol. Chem 1999, 274, 21878–21884. [Google Scholar]
- Lee, M.; Shin, I. Facile Preparation of carbohydrate microarrays by site-specific, covalent immobilization of unmodified carbohydrates on hydrazide-coated glass slides. Org. Lett 2005, 7, 4269–4272. [Google Scholar]
- Park, S.; Lee, M.-R.; Shin, I. Construction of carbohydrate microarrays by using one-step, direct immobilizations of diverse unmodified glycans on solid surfaces. Bioconjug. Chem 2009, 20, 155–162. [Google Scholar]
- Godula, K.; Bertozzi, C.R. Synthesis of glycopolymers for microarray applications via ligation of reducing sugars to a poly (acryloyl hydrazide) scaffold. J. Am. Chem. Soc 2010, 132, 9963–9965. [Google Scholar]
- Zhao, Y.; Kent, S.B.H.; Chait, B.T. Rapid, sensitive structure analysis of oligosaccharides. Proc. Natl. Acad. Sci. USA 1997, 94, 1629–1633. [Google Scholar]
- Furukawa, J.; Shinohara, Y.; Kuramoto, H.; Miura, Y.; Shimaoka, H.; Kurogochi, M.; Nakano, M.; Nishimura, S.-I. Comprehensive approach to structural and functional glycomics based on chemoselective glycoblotting and sequential tag conversion. Anal. Chem 2008, 80, 1094–1101. [Google Scholar]
- Bohorov, O.; Andersson-Sand, H.; Hoffmann, J.; Blixt, O. Arraying glycomics: A novel bi-functional spacer for one-step microscale derivatization of free reducing glycans. Glycobiology 2006, 16, 21C–27C. [Google Scholar]
- Rodriguez, E.C.; Marcaurelle, L.A.; Bertozzi, C.R. Aminooxy-, hydrazide-, and thiosemicarbazide-functionalized saccharides: Versatile reagents for glycoconjugate synthesis. J. Org. Chem 1998, 63, 7134–7135. [Google Scholar]
- Peluso, S.; Imperiali, B. Asparagine surrogates for the assembly of N-linked glycopeptide mimetics by chemoselective ligation. Tetrahedron Lett 2001, 42, 2085–2087. [Google Scholar]
- Rollas, S.; Küçükgüzel, Ş.G. Biological activities of hydrazone derivatives. Molecules 2007, 12, 1910–1939. [Google Scholar]
- Sah, P.P.T.; Peoples, S.A. Isonicotinoyl hydrazones as antitubercular agents and derivatives for identification of aldehydes and ketones. J. Am. Pharm. Assoc 1954, 43, 513–524. [Google Scholar]
- Yu, Y.; Kalinowski, D.S.; Kovacevic, Z.; Siafakas, A.R.; Jansson, P.J.; Stefani, C.; Lovejoy, D.B.; Sharpe, P.C.; Bernhardt, P.V.; Richardson, D.R. Thiosemicarbazones from the old to new: Iron chelators that are more than just ribonucleotide reductase inhibitors. J. Med. Chem 2009, 52, 5271–5294. [Google Scholar]
- Cui, Z.N.; Wang, Z.; Li, Y.; Zhou, X.Y.; Ling, Y.; Yang, X.L. Synthesis of 5-(chlorophenyl)-2-furancarboxylic acid 2-(benzoyl) hydrazide derivatives and determination of their insecticidal activity. Chin. J. Org. Chem 2007, 27, 1300–1304. [Google Scholar]
- Cui, Z.N.; Huang, J.; Li, Y.; Ling, Y.; Yang, X.L.; Chen, F.H. Synthesis and bioactivity of novel N,N′-diacylhydrazine derivatives containing furan (I). Chin. J. Chem 2008, 26, 916–922. [Google Scholar]
- Li, X.C.; Yang, X.L.; Cui, Z.N.; Li, Y.; He, H.W.; Ling, Y. Synthesis and bioactivity of novel N,N′-diacylhydrazine derivatives containing furan (II). Chin. J. Chem 2010, 28, 1233–1239. [Google Scholar]
- Cui, Z.N.; Zhang, L.; Huang, J.; Yang, X.L.; Ling, Y. Synthesis and bioactivity of novel N,N′-diacylhydrazine derivatives containing furan (III). Chin. J. Chem 2010, 28, 1257–1266. [Google Scholar]
- Cui, Z.N.; Shi, Y.X.; Zhang, L.; Ling, Y.; Li, B.J.; Nishida, Y.; Yang, X.L. Synthesis and fungicidal activity of novel 2,5-disubstituted-1,3,4-oxadiazole derivatives. J. Agric. Food Chem 2012, 60, 11649–11656. [Google Scholar]
- Cui, Z.N.; Ling, Y.; Li, B.J.; Li, Y.Q.; Rui, C.H.; Cui, J.R.; Shi, Y.X.; Yang, X.L. Synthesis and bioactivity of N-benzoyl-N′-[5-(2′-substituted phenyl)-2-furoyl] semicarbazide derivatives. Molecules 2010, 15, 4267–4282. [Google Scholar]
- Cui, Z.N.; Li, Y.; Huang, J.; Ling, Y.; Cui, J.R.; Wang, R.Q.; Yang, X.L. New class of potent antitumor acylhydrazone derivatives containing furan. Eur. J. Med. Chem 2010, 45, 5576–5584. [Google Scholar]
- Cui, Z.N.; Yang, X.L.; Shi, Y.X.; Uzawa, H.; Cui, J.R.; Dohi, H.; Nishida, Y. Molecular design, synthesis and bioactivity of glycosyl hydrazine and hydrazone derivatives: Notable effects of the sugar moiety. Bioorg. Med. Chem. Lett 2011, 21, 7193–7196. [Google Scholar]
- Cael, J.J.; Koenig, J.L.; Blackwell, J. Infrared and Raman spectroscopy of carbohydrates. IV. Identification of configuration-and conformation-sensitive modes for d-glucose by normal coordinate analysis. Carbohydr. Res 1974, 32, 79–91. [Google Scholar]
- Hineno, M. Infrared spectra and normal vibrations of β-d-glucopyranose. Carbohydr. Res 1977, 56, 219–227. [Google Scholar]
- Denizot, F.; Lang, R. Rapid colorimetric assay for cell growth and survival. Modifications to the tetrazolium dye procedure giving improved sensitivity and reliability. J. Immunol. Methods 1986, 89, 271–277. [Google Scholar]
- Monks, A.; Scudiero, D.; Skehan, P.; Shoemaker, R.; Paull, K.; Vistica, D.; Hose, C.; Langley, J.; Cronise, P.; Vaigro-Wolff, A.; et al. Feasibility of a high-flux anticancer drug screen using a diverse panel of cultured human tumor cell lines. J. Natl. Cancer Inst 1991, 83, 757–766. [Google Scholar]



| Compounds | Monosaccharide | Chemical Shift (500 MHz, DMSO-d6) | Tautomer | ||
|---|---|---|---|---|---|
| H-1 | NH-1 | NH-2 | |||
| III-1 | Glc | 3.89 (t, 8.5 Hz) | 5.87 (t, 4.0 Hz) | 10.18 (s) | β-pyronose |
| III-2 | Gal | 7.85 (d, 6.0 Hz) | – | 11.52 (s) | acyclic |
| III-3 | Man | 7.75 (d, 6.5 Hz) | – | 11.54 (s) | acyclic |
| III-4 | Fuc | 7.84 (d, 6.5 Hz) | – | 11.52 (s) | acyclic |
| III-5 | Ara | 7.83 (d, 6.0 Hz) | – | 11.53 (s) | acyclic |
| Fungi | Inhibitory Rate (%) ± SEM | |||||||||||
|---|---|---|---|---|---|---|---|---|---|---|---|---|
| III-1 | III-2 | III-3 | III-4 | III-5 | III-6 | III-7 | III-8 | III-10 | III-11 | III-12 | III-13 | |
| Fusarium graminearum | – | 23.44 ± 4.24 | – | – | – | – | 43.75 ± 4.96 | – | – | – | – | – |
| Pyricularia oryzae | – | 30.24 ± 4.59 | – | – | – | – | 26.39 ± 4.41 | – | 64.41 ± 4.79 | 35.82 ± 4.79 | – | – |
| Phytophthora infestans | – | 90.16 ± 2.98 | 73.24 ± 4.43 | 26.48 ± 4.41 | 77.48 ± 4.18 | 87.80 ± 3.27 | – | 41.67 ± 4.93 | – | 63.90 ± 4.80 | 38.20 ± 4.86 | – |
| Alternaria alternata | 54.24 ± 4.98 | 58.13 ± 4.93 | 65.40 ± 4.76 | – | – | 32.18 ± 4.67 | – | 41.52 ± 4.93 | – | 22.15 ± 4.15 | – | 58.13 ± 4.93 |
| Valsa mali | 41.64 ± 4.93 | 45.82 ± 4.98 | 46.94 ± 4.99 | – | 46.20 ± 4.99 | 79.13 ± 4.06 | – | 40.86 ± 4.92 | 45.07 ± 4.98 | – | 36.08 ± 4.80 | 53.73 ± 4.99 |
| Colletotrichum gloeosporioides | – | – | – | – | 24.92 ± 4.33 | 34.45 ± 4.75 | 40.29 ± 4.90 | – | 32.12 ± 4.67 | 32.12 ± 4.67 | – | 36.73 ± 4.82 |
| Monilinia ariae | – | – | – | 39.31 ± 4.88 | 33.75 ± 4.73 | – | – | – | – | – | 21.90 ± 4.14 | 35.63 ± 4.79 |
| Gloeosporium musarum | – | 21.75 ± 4.13 | – | 20.84 ± 4.06 | 34.76 ± 4.76 | 21.75 ± 4.13 | 30.13 ± 4.59 | – | – | – | – | 30.56 ± 4.61 |
| Fusarium oxysporum f. sp. Niveum | – | 29.94 ± 4.58 | 36.60 ± 4.82 | 27.94 ± 4.49 | 31.35 ± 4.64 | – | – | – | 25.03 ± 4.33 | – | 28.80 ± 4.53 | 24.73 ± 4.31 |
| Botrytis cinerea Pers. | – | – | 28.09 ± 4.49 | – | – | – | – | – | – | – | – | 21.15 ± 4.08 |
| Colletotrichum orbiculare | – | – | – | 42.45 ± 4.94 | 25.68 ± 4.37 | – | 38.73 ± 4.87 | 55.25 ± 4.97 | – | 21.46 ± 4.11 | – | – |
| Phytophthora melonis | 58.03 ± 4.94 | – | – | – | 32.12 ± 4.67 | 31.03 ± 4.63 | 29.27 ± 4.55 | – | – | – | 32.55 ± 4.69 | – |
| Sclerotinia sclerotiorum | – | 70.84 ± 4.54 | – | – | – | 32.76 ± 4.69 | – | – | – | – | – | – |
| Phomopsis aspamgi | – | 64.71 ± 4.78 | 25.44 ± 4.36 | 69.36 ± 4.61 | 55.39 ± 4.97 | – | 43.89 ± 4.96 | 91.07 ± 2.85 | 31.07 ± 4.63 | 47.16 ± 4.99 | 67.29 ± 4.69 | 68.95 ± 4.63 |
| Alternaria dauci | 20.09 ± 4.01 | 28.01 ± 4.49 | – | 37.92 ± 4.85 | 28.01 ± 4.49 | 22.77 ± 4.19 | – | 22.77 ± 4.19 | – | 22.77 ± 4.19 | – | – |
| Fusarium graminearum | 55.56 ± 4.97 | – | 24.54 ± 4.30 | – | – | – | – | 26.28 ± 4.40 | – | – | – | – |
| Cladosporium fulvum | – | 47.24 ± 4.99 | 42.81 ± 4.95 | 35.84 ± 4.80 | 54.22 ± 4.98 | 70.05 ± 4.58 | – | 50.09 ± 5.00 | 45.78 ± 4.98 | 42.81 ± 4.95 | – | 66.69 ± 4.71 |
| Colletotrichum phomoides | 26.53 ± 4.41 | – | 48.98 ± 5.00 | 48.98 ± 5.00 | – | – | 26.53 ± 4.41 | 38.27 ± 4.86 | – | – | – | – |
| Alternaria tenuis Nees | 21.84 ± 4.13 | – | 31.76 ± 4.66 | 24.39 ± 4.29 | 43.21 ± 4.95 | 31.76 ± 4.66 | 24.39 ± 4.29 | – | – | 41.00 ± 4.92 | – | – |
| Fungi | Compounds | R | Regression Equation | EC50 (95% Confidence Interval)/μg·mL−1 | EC80 (95% Confidence Interval)/μg·mL−1 |
|---|---|---|---|---|---|
| P. infestans | III-2 | 0.987 | y = 2.283x – 10.678 | 5.476 (4.857~6.132) | 456.337 (405.314~511.740) |
| III-5 | 0.988 | y = 2.294x – 10.715 | 5.695 (5.107~6.335) | 485.901 (435.433~540.053) | |
| III-6 | 0.999 | y = 1.950x – 9.10 | 4.493 (4.426~4.507) | 195.839 (193.750~197.278) | |
| mancozeb | 0.969 | y = 1.923x – 8.973 | 4.385 (3.329~5.776) | 182.460 (138.293~239.924) | |
| A. tenuis Nees | III-11 | 0.979 | y = 2.191x – 10.165 | 6.181 (5.111~7.437) | 431.342 (356.891~519.335) |
| thiram | 0.976 | y = 2.183x – 9.969 | 8.831 (8.144~9.574) | 608.260 (559.935~658.234) | |
| C. gloeosporioides | III-7 | 0.991 | y = 1.932x – 8.964 | 4.962 (4.580~5.384) | 210.254 (193.593~227.579) |
| carbendazm | 0.993 | y = 2.237x – 10.521 | 4.613 (4.331~4.912) | 352.820 (330.646~375.017) | |
| P. aspamgi | III-7 | 0.977 | y = 1.732x – 8.222 | 2.737 (2.232~3.366) | 78.767 (64.0567~96.5630) |
| hymexazol | 0.985 | y = 2.018x – 9.527 | 3.656 (2.232~3.366) | 78.770 (64.057~96.563) | |
| P. melonis | III-1 | 0.985 | y = 2.427x – 11.254 | 7.586 (6.647~8.696) | 840.493 (733.256~959.342) |
| III-9 | 0.996 | y = 2.354x – 11.053 | 5.179 (5.027~5.403) | 500.113 (481.424~517.398) | |
| mancozeb | 0.991 | y = 1.892x – 8.727 | 5.408 (4.987~5.863) | 211.870 (195.086~229.334) | |
| Compounds | IC50 (μM) | |||
|---|---|---|---|---|
| HL-60 | BGC-823 | Bel-7402 | KB | |
| III-1 | 267.9 | 184.6 | 2.6 × 105 | 586.2 |
| III-2 | 167.0 | 90.9 | 133.4 | 166.8 |
| III-3 | 6.8 | 151.9 | 144.5 | 9.0 |
| III-4 | 1.2 | 34.0 | 169.9 | 31.9 |
| III-5 | 19.4 | 47.2 | 106.8 | 118.9 |
| III-6 | 31.7 | 43.5 | 110.4 | 40.7 |
| III-7 | 78.9 | 193.3 | 356.7 | 489.2 |
| III-8 | 61.9 | 96.1 | 258.0 | 116.6 |
| III-9 | 38.7 | 550.2 | 178.3 | 337.8 |
| III-10 | 1523.4 | 92.8 | 174.8 | 1.2 × 105 |
| III-11 | 5797.3 | 119.3 | 2.5 × 104 | 100.7 |
| III-12 | 315.1 | 76.2 | 3.5 × 106 | 1588.0 |
| doxorubicin | 28.4 | 8.5 | 6.7 | 11.9 |
© 2014 by the authors; licensee MDPI, Basel, Switzerland This article is an open access article distributed under the terms and conditions of the Creative Commons Attribution license (http://creativecommons.org/licenses/by/3.0/).
Share and Cite
Cui, Z.; Su, H.; Jiang, J.; Yang, X.; Nishida, Y. Design, Synthesis and Bioactivity of N-Glycosyl-N'-(5-substituted phenyl-2-furoyl) Hydrazide Derivatives. Int. J. Mol. Sci. 2014, 15, 6741-6756. https://doi.org/10.3390/ijms15046741
Cui Z, Su H, Jiang J, Yang X, Nishida Y. Design, Synthesis and Bioactivity of N-Glycosyl-N'-(5-substituted phenyl-2-furoyl) Hydrazide Derivatives. International Journal of Molecular Sciences. 2014; 15(4):6741-6756. https://doi.org/10.3390/ijms15046741
Chicago/Turabian StyleCui, Zining, Hang Su, Jiazhen Jiang, Xinling Yang, and Yoshihiro Nishida. 2014. "Design, Synthesis and Bioactivity of N-Glycosyl-N'-(5-substituted phenyl-2-furoyl) Hydrazide Derivatives" International Journal of Molecular Sciences 15, no. 4: 6741-6756. https://doi.org/10.3390/ijms15046741
APA StyleCui, Z., Su, H., Jiang, J., Yang, X., & Nishida, Y. (2014). Design, Synthesis and Bioactivity of N-Glycosyl-N'-(5-substituted phenyl-2-furoyl) Hydrazide Derivatives. International Journal of Molecular Sciences, 15(4), 6741-6756. https://doi.org/10.3390/ijms15046741
