Catalytic Hydrogenation of the Sweet Principles of Stevia rebaudiana, Rebaudioside B, Rebaudioside C, and Rebaudioside D and Sensory Evaluation of Their Reduced Derivatives
Abstract
:1. Introduction
2. Results and Discussion
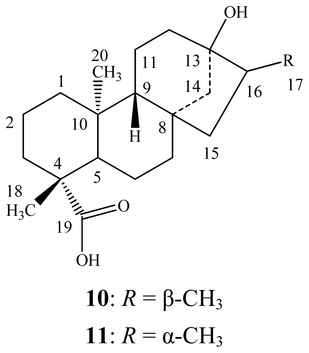
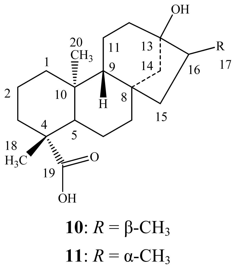
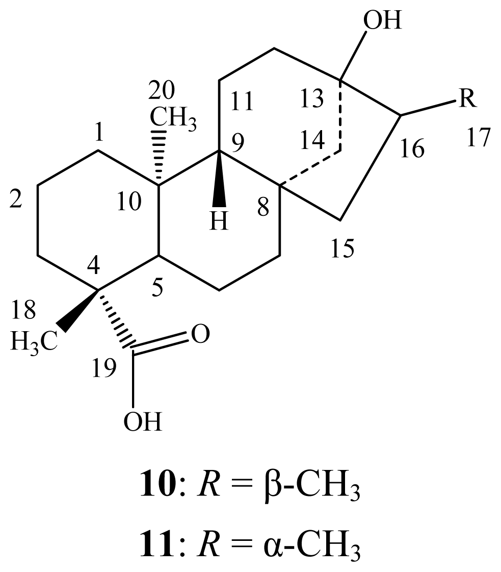
2.1. Catalytic Hydrogenation of Rebaudioside B (1), Rebaudioside C (2), and Rebaudioside D (3)
2.2. Sensory Studies of Reduced Compounds 4–9
2.3. Spectroscopy and Structural Characterization of Reduced Compounds 4–9
3. Experimental Section
3.1. General
3.2. Isolation of Reduced Steviol Glycosides 4–9
3.2.1. General Procedure for the Catalytic Hydrogenation of Steviol Glycosides 1–3
3.2.2. General Procedure for the Enzymatic Hydrolysis of Reduced Steviol Glycoside Mixtures
3.3. Sweetness Evaluation of the Reduced Steviol Glycoside Mixtures 4–9
3.4. Multi-Sip and Swallow Taste Method
- Take first sip (~1.8 mL) of a full medicine cup and swallow the control, wait for 15 s–25 s, then take the second sip and lock it into memory and wait for 15 s–25 s.
- Taste the first sip of the experimental sample; wait for 15 s–25 s, then use the second sip to compare to the second sip of the control.
- Repeat steps #1 and #2 for the third and fourth sips of the same control and experimental samples to confirm the initial finding.
4. Conclusions
Acknowledgements
- Conflict of InterestThe authors declare no conflict of interest.
References
- Brandle, J.E.; Starrratt, A.N.; Gijen, M. Stevia rebaudiana: Its agricultural, biological and chemical properties. Can. J. Plant Sci 1998, 78, 527–536. [Google Scholar]
- Chaturvedula, V.S.P.; Prakash, I. Diterpene glycosides from Stevia rebaudiana. J. Med. Plants Res 2011, 5, 4838–4842. [Google Scholar]
- Chaturvedula, V.S.P.; Mani, U.; Prakash, I. Diterpene glycosides from Stevia rebaudiana. Molecules 2011, 16, 3552–3562. [Google Scholar]
- Chaturvedula, V.S.P.; Prakash, I. A new diterpenoid glycoside from Stevia rebaudiana. Molecules 2011, 16, 2937–2943. [Google Scholar]
- Chaturvedula, V.S.P.; Prakash, I. Structures of the novel diterpene glycosides from Stevia rebaudiana. Carbohydr. Res 2011, 346, 1057–1060. [Google Scholar]
- Chaturvedula, V.S.P.; Rhea, J.; Milanowski, D.; Mocek, U.; Prakash, I. Two minor diterpene glycosides from the leaves of Stevia rebaudiana. Nat. Prod. Commun 2011, 6, 175–178. [Google Scholar]
- Chaturvedula, V.S.P.; Prakash, I. Additional minor diterpene glycosides from Stevia rebaudiana. Nat. Prod. Commun 2011, 6, 1059–1062. [Google Scholar]
- Chaturvedula, V.S.P.; Clos, J.F.; Rhea, J.; Milanowski, D.; Mocek, U.; DuBois, G.E.; Prakash, I. Minor diterpenoid glycosides from the leaves of Stevia rebaudiana. Phytochem. Lett 2011, 4, 209–212. [Google Scholar]
- Chaturvedula, V.S.P.; Mani, U.; Prakash, I. Structures of the novel α-glucosyl linked diterpene glycosides from Stevia rebaudiana. Carbohydr. Res 2011, 346, 2034–2038. [Google Scholar]
- Chaturvedula, V.S.P.; Klucik, J.; Mani, U.; Prakash, I. Synthesis of ent-kaurane diterpene glycosides. Molecules 2011, 16, 8402–8409. [Google Scholar]
- Chaturvedula, V.S.P.; Clos, J.F.; Prakash, I. Stability study of steviol glycosides in mock beverages using fluorescent light exposure under ICH guidelines. Int. J. Pharm. Pharm. Sci 2011, 3, 316–323. [Google Scholar]
- Chaturvedula, V.S.P.; Clos, J.F.; Prakash, I. Stability of steviol glycosides in mock beverages under acidic conditions. Int. J. Pharm. Pharm. Sci 2011, 3, 421–425. [Google Scholar]
- Prakash, I.; Clos, J.F.; Chaturvedula, V.S.P. Stability of rebaudioside A under acidic conditions and its degradation products. Food Res. Int 2012, 48, 65–75. [Google Scholar]
- Chaturvedula, V.S.P.; Campbell, M.; Miguel, R.I.S.; Prakash, I. Synthesis and sensory evaluation of ent-kaurane diterpene glycosides. Molecules 2012, 17, 8908–8916. [Google Scholar]
- Mani, U.; DuBois, G.; Prakash, I. Synthetic study on the relationship between structure and sweet taste properties of steviol glycosides. Molecules 2012, 17, 4186–4196. [Google Scholar]
- Kasai, R.; Kaneda, N.; Tanaka, O.; Yamasaki, K.; Sakamoto, I.; Morimoto, K.; Okada, S.; Kitahata, S.; Furukawa, H. Sweet diterpene glycosides of leaves of Stevia rebaudiana Bertoni: Synthesis and structure-sweetness relation of rebaudiosides A, D, and E and their related glycosides. Nippon Kagaku Kaishi 1981, 5, 726–735. [Google Scholar]
- Nanayakkara, N.P.D.; Klocke, J.A.; Compadre, C.M.; Hussain, R.A.; Pezzuto, J.M.; Kinghorn, A.D. Characteriztaion and feeding deterrent effects on the aphid, Schizaphis graminum, of some derivatives of the sweet compounds, stevioside and rebaudioside A. J. Nat. Prod 1987, 50, 434–441. [Google Scholar]
- Pezzuto, J.M.; Compadre, C.M.; Swanson, S.M.; Nanayakkara, N.P.D.; Kinghorn, A.D. Metabolically activated steviol, the aglycone of stevioside, is mutagenic. Proc. Nat. Acad. Sci. USA 1985, 82, 2478–2482. [Google Scholar]
- Kamiya, S.; Konishi, F.; Esaki, S. Synthesis and taste of some analogs of stevioside. Agric. Biol. Chem. 1979, 43, 1863–1867, Sample Availability: Samples of the catalytically reduced steviol glycosides 4–9 are available from the authors.. [Google Scholar]





| Steviol Glycoside Type | Sensory Evaluation of Original Compound | Sensory Evaluation of Reduced Compound | 
|---|---|---|
| Rebaudioside B (1) | Slow onset of sweetness, sweet lingering aftertaste, about 5%–6% sucrose equivalence | Weak sweetness, about 1% sucrose equivalence | 
| Rebaudioside C (2) | Slow onset of sweetness, less sweet overall than sucrose, about 2%–3% sucrose equivalence | No sweetness, moderate astringency | 
| Rebaudioside D (3) | Slow onset of sweetness, very clean, sweeter overall than sucrose, less sweet lingering aftertaste compared to sucrose, about 6%–7% sucrose equivalence | Slow onset of sweetness, no sweet lingering taste, about 5%–5.5% sucrose equivalence | 
| Position | 4 | 5 | 6 | 7 | 8 | 9 | 
|---|---|---|---|---|---|---|
| 17 | 1.17 (d, 6.6, 1H) | 1.34 (d, 6.3, 1H) | 1.19 (d, 6.6, 1H) | 1.39 (d, 6.4, 1H) | 1.13 (d, 6.5, 1H) | 1.17 (d, 6.4, 1H) | 
| 18 | 1.16 (s, 3H) | 1.18 (s, 3H) | 1.24 (s, 3H) | 1.27 (s, 3H) | 1.14 (s, 3H) | 1.15 (s, 3H) | 
| 20 | 1.19 (s, 3H) | 1.32 (s, 3H) | 1.29 (s, 3H) | 1.28 (s, 3H) | 1.41 (s, 3H) | 1.42 (s, 3H) | 
| Sugar I-1′ | 5.04 (d, 6.6, 1H) | 5.03 (d, 6.4, 1H) | 6.15 (d, 6.8, 1H) | 6.16 (d, 6.5, 1H) | 6.88 (d, 6.4, 1H) | 6.84 (d, 6.5, 1H) | 
| Sugar II-1″ | 5.33 (d, 6.4, 1H) | 5.36 (d, 6.3, 1H) | 5.09 (d, 6.7, 1H) | 5.06 (d, 6.4, 1H) | 5.51 (d, 6.6, 1H) | 5.54 (d, 6.4, 1H) | 
| Sugar III-1‴ | 5.47 (d, 6.1, 1H) | 5.52 (d, 6.4, 1H) | 5.95 (d, 6.5, 1H) | 5.77 (d, 6.8, 1H) | 5.50 (d, 6.6, 1H) | 5.58 (d, 6.5, 1H) | 
| Sugar IV-1″″ | 6.53 (d, 1.8, 1H) | 6.86 (d, 1.6, 1H) | 5.38 (d, 6.4, 1H) | 5.42 (d, 6.6, 1H) | ||
| Sugar V-1‴″ | 6.33 (d, 6.4, 1H) | 6.31 (d, 6.2, 1H) | ||||
| Sugar III-6‴ | 1.65 (d, 6.1, 3H) | 1.74 (d, 6.4, 3H) | 
| Position | 4 | 5 | 6 | 7 | 8 | 9 | 
|---|---|---|---|---|---|---|
| 1 | 40.2 | 40.2 | 41.2 | 41.2 | 41.1 | 41.1 | 
| 2 | 20.2 | 20.4 | 20.2 | 20.1 | 20.6 | 20.4 | 
| 3 | 38.9 | 38.8 | 38.9 | 39.0 | 38.6 | 38.3 | 
| 4 | 44.3 | 43.2 | 44.4 | 43.4 | 44.6 | 42.9 | 
| 5 | 57.5 | 56.0 | 58.1 | 57.9 | 58.0 | 57.9 | 
| 6 | 23.3 | 23.6 | 22.7 | 23.0 | 23.1 | 22.9 | 
| 7 | 41.5 | 40.3 | 41.7 | 40.1 | 41.2 | 40.1 | 
| 8 | 44.1 | 43.1 | 44.3 | 43.0 | 43.7 | 42.4 | 
| 9 | 56.0 | 50.8 | 56.6 | 54.7 | 55.6 | 54.9 | 
| 10 | 40.2 | 40.3 | 40.3 | 40.3 | 40.1 | 40.3 | 
| 11 | 20.5 | 20.7 | 20.3 | 20.6 | 20.6 | 20.7 | 
| 12 | 35.4 | 44.0 | 35.3 | 44.2 | 35.9 | 44.0 | 
| 13 | 88.6 | 88.3 | 86.2 | 86.2 | 88.2 | 88.1 | 
| 14 | 47.8 | 50.8 | 47.3 | 50.2 | 47.7 | 50.9 | 
| 15 | 47.8 | 44.3 | 47.2 | 44.9 | 47.6 | 44.8 | 
| 16 | 41.5 | 38.7 | 41.2 | 39.0 | 41.1 | 38.9 | 
| 17 | 16.3 | 16.5 | 14.2 | 19.7 | 14.4 | 17.2 | 
| 18 | 29.7 | 29.8 | 28.6 | 28.6 | 29.4 | 29.8 | 
| 19 | 180.6 | 180.5 | 177.8 | 177.7 | 176.5 | 176.4 | 
| 20 | 15.9 | 16.1 | 15.8 | 16.0 | 15.7 | 15.9 | 
| 1′ | 98.6 | 98.8 | 96.2 | 95.7 | 96.2 | 96.2 | 
| 2′ | 78.8 | 78.7 | 75.5 | 75.4 | 81.4 | 81.0 | 
| 3′ | 85.7 | 86.6 | 79.0 | 79.2 | 78.8 | 78.7 | 
| 4′ | 72.1 | 72.2 | 71.4 | 71.4 | 71.5 | 71.4 | 
| 5′ | 77.0 | 77.0 | 78.5 | 78.6 | 78.5 | 78.6 | 
| 6′ | 62.9 | 62.8 | 62.5 | 62.5 | 63.1 | 63.3 | 
| 1″ | 105.4 | 105.0 | 98.3 | 96.8 | 94.2 | 94.3 | 
| 2″ | 74.6 | 74.6 | 78.4 | 78.6 | 79.1 | 79.2 | 
| 3″ | 77.8 | 77.8 | 87.1 | 86.1 | 86.0 | 86.7 | 
| 4″ | 72.1 | 72.3 | 70.6 | 70.5 | 71.2 | 71.1 | 
| 5″ | 79.0 | 79.2 | 75.6 | 75.4 | 77.2 | 77.0 | 
| 6″ | 62.9 | 62.8 | 62.7 | 62.8 | 62.8 | 62.9 | 
| 1‴ | 105.5 | 105.3 | 103.1 | 102.1 | 105.1 | 104.8 | 
| 2‴ | 75.6 | 75.7 | 71.7 | 71.6 | 75.7 | 75.9 | 
| 3‴ | 81.9 | 81.3 | 72.9 | 72.8 | 78.7 | 78.6 | 
| 4‴ | 72.1 | 72.1 | 73.1 | 73.2 | 72.3 | 72.1 | 
| 5‴ | 79.1 | 79.0 | 70.3 | 70.0 | 79.0 | 79.1 | 
| 6‴ | 63.1 | 63.3 | 19.4 | 19.3 | 62.5 | 62.8 | 
| 1″″ | 105.0 | 104.9 | 105.3 | 105.9 | ||
| 2″″ | 74.9 | 74.7 | 74.3 | 74.4 | ||
| 3″″ | 79.8 | 79.7 | 79.8 | 79.9 | ||
| 4″″ | 72.2 | 72.1 | 72.2 | 72.1 | ||
| 5″″ | 79.0 | 78.9 | 79.6 | 79.7 | ||
| 6″″ | 63.6 | 63.1 | 63.2 | 63.1 | ||
| 1‴″ | 106.1 | 105.4 | ||||
| 2‴″ | 76.8 | 76.7 | ||||
| 3‴″ | 78.9 | 78.8 | ||||
| 4‴″ | 72.3 | 72.1 | ||||
| 5‴″ | 81.8 | 81.4 | ||||
| 6‴″ | 63.5 | 63.5 | 
© 2012 by the authors; licensee Molecular Diversity Preservation International, Basel, Switzerland. This article is an open-access article distributed under the terms and conditions of the Creative Commons Attribution license (http://creativecommons.org/licenses/by/3.0/).
Share and Cite
Prakash, I.; Campbell, M.; Chaturvedula, V.S.P. Catalytic Hydrogenation of the Sweet Principles of Stevia rebaudiana, Rebaudioside B, Rebaudioside C, and Rebaudioside D and Sensory Evaluation of Their Reduced Derivatives. Int. J. Mol. Sci. 2012, 13, 15126-15136. https://doi.org/10.3390/ijms131115126
Prakash I, Campbell M, Chaturvedula VSP. Catalytic Hydrogenation of the Sweet Principles of Stevia rebaudiana, Rebaudioside B, Rebaudioside C, and Rebaudioside D and Sensory Evaluation of Their Reduced Derivatives. International Journal of Molecular Sciences. 2012; 13(11):15126-15136. https://doi.org/10.3390/ijms131115126
Chicago/Turabian StylePrakash, Indra, Mary Campbell, and Venkata Sai Prakash Chaturvedula. 2012. "Catalytic Hydrogenation of the Sweet Principles of Stevia rebaudiana, Rebaudioside B, Rebaudioside C, and Rebaudioside D and Sensory Evaluation of Their Reduced Derivatives" International Journal of Molecular Sciences 13, no. 11: 15126-15136. https://doi.org/10.3390/ijms131115126
APA StylePrakash, I., Campbell, M., & Chaturvedula, V. S. P. (2012). Catalytic Hydrogenation of the Sweet Principles of Stevia rebaudiana, Rebaudioside B, Rebaudioside C, and Rebaudioside D and Sensory Evaluation of Their Reduced Derivatives. International Journal of Molecular Sciences, 13(11), 15126-15136. https://doi.org/10.3390/ijms131115126
 
        
 
       